Performance Evaluation of a New Sport Watch in Sleep Tracking: A Comparison against Overnight Polysomnography in Young Adults
Abstract
1. Introduction
2. Materials and Methods
2.1. Participants
2.2. Measurements and Procedures
2.3. Assessment of Physical Fitness
2.4. In-Home Polysomnography
2.5. Exercise Training Session
2.6. New Sport Watch Specifications
2.7. Statistical Analysis Process
3. Results
3.1. Participants
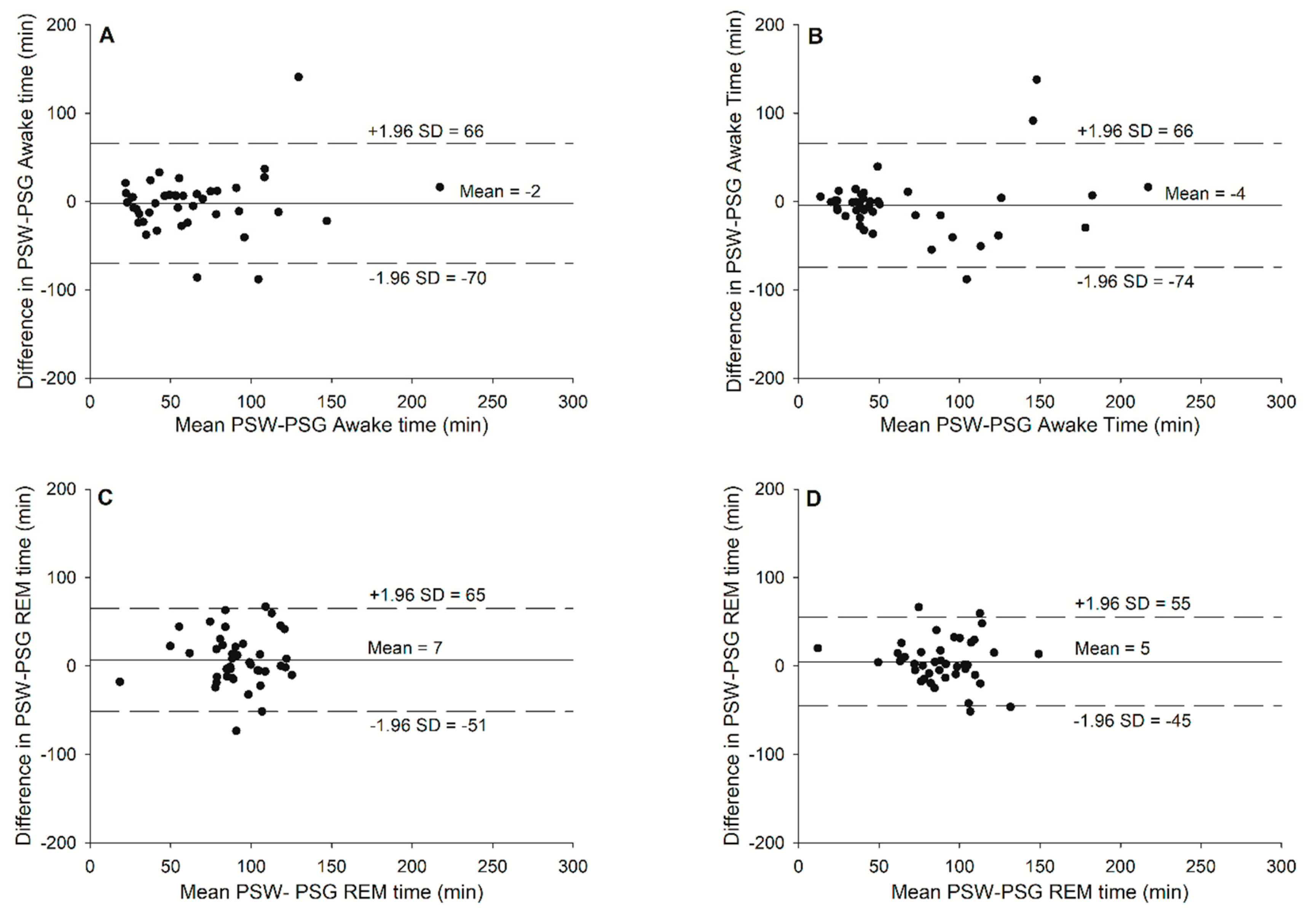
3.2. Sleep/Awake State Detection
3.3. Sleep Stage Detection
4. Discussion
4.1. Main Findings
4.2. Sleep Detection
4.3. Sleep Stages
4.4. Limitations
4.5. Recommendations and Applications
4.6. Conclusions
Author Contributions
Funding
Institutional Review Board Statement
Informed Consent Statement
Data Availability Statement
Acknowledgments
Conflicts of Interest
References
- Skaer, T.L. Sleep Deprivation and Economic Burden, Sleep Deprivation and Disease: Effects on the Body, Brain and Behavior; Springer: Berlin/Heidelberg, Germany, 2013; pp. 269–279. [Google Scholar]
- de Zambotti, M.; Cellini, N.; Goldstone, A.; Colrain, I.M.; Baker, F.C. Wearable Sleep Technology in Clinical and Research Settings. Med. Sci. Sports Exerc. 2019, 51, 1538–1557. [Google Scholar] [CrossRef]
- Budig, M.; Stoohs, R.; Keiner, M. Validity of Two Consumer Multisport Activity Tracker and One Accelerometer against Polysomnography for Measuring Sleep Parameters and Vital Data in a Laboratory Setting in Sleep Patients. Sensors 2022, 22, 9540. [Google Scholar] [CrossRef]
- Sargent, C.; Lastella, M.; Romyn, G.; Versey, N.; Miller, D.J.; Roach, G.D. How well does a commercially available wearable device measure sleep in young athletes? Chronobiol. Int. 2018, 35, 754–758. [Google Scholar] [CrossRef] [PubMed]
- Vitale, K.C.; Owens, R.; Hopkins, S.R.; Malhotra, A. Sleep Hygiene for Optimizing Recovery in Athletes: Review and Recommendations. Int. J. Sports Med. 2019, 40, 535–543. [Google Scholar] [CrossRef]
- Pilcher, J.J.; Ginter, D.R.; Sadowsky, B. Sleep quality versus sleep quantity: Relationships between sleep and measures of health, well-being and sleepiness in college students. J. Psychosom. Res. 1997, 42, 583–596. [Google Scholar] [CrossRef] [PubMed]
- Lujan, M.R.; Perez-Pozuelo, I.; Grandner, M.A. Past, Present, and Future of Multisensory Wearable Technology to Monitor Sleep and Circadian Rhythms. Front. Digit. Health 2021, 3, 721919. [Google Scholar] [CrossRef]
- Foster, G.E.; Poulin, M.J.; Hanly, P.J. Intermittent hypoxia and vascular function: Implications for obstructive sleep apnoea. Exp. Physiol. 2007, 92, 51–65. [Google Scholar] [CrossRef] [PubMed]
- Backhaus, J.; Junghanns, K.; Broocks, A.; Riemann, D.; Hohagen, F. Test-retest reliability and validity of the Pittsburgh Sleep Quality Index in primary insomnia. J. Psychosom. Res. 2002, 53, 737–740. [Google Scholar] [CrossRef]
- Miller, D.J.; Sargent, C.; Roach, G.D. A Validation of Six Wearable Devices for Estimating Sleep, Heart Rate and Heart Rate Variability in Healthy Adults. Sensors 2022, 22, 6317. [Google Scholar] [CrossRef]
- Schutte-Rodin, S.; Deak, M.C.; Khosla, S.; Goldstein, C.A.; Yurcheshen, M.; Chiang, A.; Gault, D.; Kern, J.; O’Hearn, D.; Ryals, S.; et al. Evaluating consumer and clinical sleep technologies: An American Academy of Sleep Medicine update. J. Clin. Sleep Med. 2021, 17, 2275–2282. [Google Scholar] [CrossRef]
- Sadeh, A. The role and validity of actigraphy in sleep medicine: An update. Sleep Med. Rev. 2011, 15, 259–267. [Google Scholar] [CrossRef] [PubMed]
- Fekedulegn, D.; Andrew, M.E.; Shi, M.; Violanti, J.M.; Knox, S.; Innes, K.E. Actigraphy-Based Assessment of Sleep Parameters. Ann. Work Expo. Health 2020, 64, 350–367. [Google Scholar] [CrossRef] [PubMed]
- Haghayegh, S.; Khoshnevis, S.; Smolensky, M.H.; Diller, K.R.; Castriotta, R.J. Performance comparison of different interpretative algorithms utilized to derive sleep parameters from wrist actigraphy data. Chronobiol. Int. 2019, 36, 1752–1760. [Google Scholar] [CrossRef] [PubMed]
- Shrivastava, D.; Jung, S.; Saadat, M.; Sirohi, R.; Crewson, K. How to interpret the results of a sleep study. J. Community Hosp. Intern. Med. Perspect. 2014, 4, 24983. [Google Scholar] [CrossRef] [PubMed]
- Shambroom, J.R.; Fabregas, S.E.; Johnstone, J. Validation of an automated wireless system to monitor sleep in healthy adults. J. Sleep Res. 2012, 21, 221–230. [Google Scholar] [CrossRef] [PubMed]
- Fietze, I. Sleep Applications to Assess Sleep Quality. Sleep Med. Clin. 2016, 11, 461–468. [Google Scholar] [CrossRef] [PubMed]
- Kolla, B.P.; Mansukhani, S.; Mansukhani, M.P. Consumer sleep tracking devices: A review of mechanisms, validity and utility. Expert. Rev. Med. Devices 2016, 13, 497–506. [Google Scholar] [CrossRef] [PubMed]
- Kales, A.; Rechtschaffen, A. A Manual of Standardized Terminology, Techniques, and Scoring System for Sleep Stages of Human Subjects; Brain Information Service/Brain Research Institute: Los Angeles, CA, USA, 1968. [Google Scholar]
- Younes, M.; Thompson, W.; Leslie, C.; Egan, T.; Giannouli, E. Utility of Technologist Editing of Polysomnography Scoring Performed by a Validated Automatic System. Ann. Am. Thorac. Soc. 2015, 12, 1206–1218. [Google Scholar] [CrossRef] [PubMed]
- Wheat, A.L.; Larkin, K.T. Biofeedback of heart rate variability and related physiology: A critical review. Appl. Psychophysiol. Biofeedback 2010, 35, 229–242. [Google Scholar] [CrossRef]
- Prinsloo, G.E.; Rauch, H.G.; Derman, W.E. A brief review and clinical application of heart rate variability biofeedback in sports, exercise, and rehabilitation medicine. Phys. Sportsmed. 2014, 42, 88–99. [Google Scholar] [CrossRef]
- Myllymaki, T.; Rusko, H.; Syvaoja, H.; Juuti, T.; Kinnunen, M.L.; Kyrolainen, H. Effects of exercise intensity and duration on nocturnal heart rate variability and sleep quality. Eur. J. Appl. Physiol. 2012, 112, 801–809. [Google Scholar] [CrossRef] [PubMed]
- de Zambotti, M.; Godino, J.G.; Baker, F.C.; Cheung, J.; Patrick, K.; Colrain, I.M. The Boom in Wearable Technology: Cause for Alarm or Just What is Needed to Better Understand Sleep? Sleep 2016, 39, 1761–1762. [Google Scholar] [CrossRef] [PubMed]
- de Zambotti, M.; Goldstone, A.; Claudatos, S.; Colrain, I.M.; Baker, F.C. A validation study of Fitbit Charge 2 compared with polysomnography in adults. Chronobiol. Int. 2018, 35, 465–476. [Google Scholar] [CrossRef] [PubMed]
- Canadian Society for Exercise Physiology. Professional Fitness and Lifestyle Consultant: Resource Manual; Canadian Society for Exercise Physiology: Ottaw, ON, Canada, 1993; Available online: https://yvancudem.files.wordpress.com/2021/08/pflc_manual_1993_scanedition_ocr.pdf (accessed on 27 March 2024).
- Pollock, M.L.; Hickman, T.; Kendrick, Z.; Jackson, A.; Linnerud, A.C.; Dawson, G. Prediction of body density in young and middle-aged men. J. Appl. Physiol. 1976, 40, 300–304. [Google Scholar] [CrossRef] [PubMed]
- Pollock, M.L.; Laughridge, E.E.; Coleman, B.; Linnerud, A.C.; Jackson, A. Prediction of body density in young and middle-aged women. J. Appl. Physiol. 1975, 38, 745–749. [Google Scholar] [CrossRef] [PubMed]
- Paterson, D.H.; Cunningham, D.A.; Koval, J.J.; Croix, C.M.S. Aerobic fitness in a population of independently living men and women aged 55–86 years. Med. Sci. Sports Exerc. 1999, 31, 1813–1820. [Google Scholar] [CrossRef] [PubMed]
- Iber, C.A.-I.S.; Chesson, A.L.; Quan, S.F. The AASM Manual for the Scoring of Sleep and Associated Events. In Rules, Terminology and Technical Specifications; Westchester, IL, USA, 2007.
- Canadian Society for Exercise Physiology. Canadian Society for Exercise Physiology—Physical Activity Training for Health (CSEP-PATH), 3rd ed.; Canadian Society for Exercise Physiology: Ottawa, ON, Canada, 2021. [Google Scholar]
- Imtiaz, S.A. A Systematic Review of Sensing Technologies for Wearable Sleep Staging. Sensors 2021, 21, 1562. [Google Scholar] [CrossRef]
- Bianchi, M.T. Sleep devices: Wearables and nearables, informational and interventional, consumer and clinical. Metabolism 2018, 84, 99–108. [Google Scholar] [CrossRef] [PubMed]
- Rentz, L.E.; Ulman, H.K.; Galster, S.M. Deconstructing Commercial Wearable Technology: Contributions toward Accurate and Free-Living Monitoring of Sleep. Sensors 2021, 21, 5071. [Google Scholar] [CrossRef]
- Wulterkens, B.M.; Fonseca, P.; Hermans, L.W.A.; Ross, M.; Cerny, A.; Anderer, P.; Long, X.; van Dijk, J.P.; Vandenbussche, N.; Pillen, S.; et al. It Is All in the Wrist: Wearable Sleep Staging in a Clinical Population versus Reference Polysomnography. Nat. Sci. Sleep 2021, 13, 885–897. [Google Scholar] [CrossRef]
- Roberts, D.M.; Schade, M.M.; Mathew, G.M.; Gartenberg, D.; Buxton, O.M. Detecting sleep using heart rate and motion data from multisensor consumer-grade wearables, relative to wrist actigraphy and polysomnography. Sleep 2020, 43, zsaa045. [Google Scholar] [CrossRef] [PubMed]




| Devices | Outcomes | Device’s Placement of Photoplethysmography Light Source | ||
|---|---|---|---|---|
| Sleep Data | Measurements | Wrist | Other | |
| Oura Ring | Sleep time Wake time Light sleep Deep sleep REM sleep | Heart rate Heart rate variability Respiratory rate Body temperature Night-time movement | Ring finger Infrared | |
| Fitbit Charge 2 | Sleep time Wake time Light sleep Deep sleep REM sleep | Heart rate Heart rate variability Night-time movement | Wrist Infrared Green LED Red LED | |
| Apple Watch | Sleep time Wake time Light sleep Deep sleep | Heart rate Night-time movement | Wrist Infrared Green LED Red LED | |
| Garmin Forerunner 945 | Sleep time Wake time Light sleep Deep sleep REM sleep | Heart rate Saturation? Night-time movement | Wrist Green LED | |
| WHOOP (3.0) | Sleep time Wake time Light sleep Deep sleep REM sleep | Skin temperature Heart rate Night-time movement | Wrist Green LED | |
| Sleep Night without Exercise | Sleep Night with Exercise | Both Sleep Nights | |||||||
|---|---|---|---|---|---|---|---|---|---|
| Females n = 23 | Males n = 19 | All n = 42 | Females n = 20 | Males n = 18 | All n = 38 | Females n = 20 | Males n = 16 | All n = 36 | |
| Age (years) | 26 (4) | 27 (5) | 27 (5) | 26 (4) | 27 (5) | 27 (4) | 26 (4) | 27 (5) | 27 (4) |
| BMI (kg∙m−2) | 23.4 (3.5) | 24.2 (2.7) | 23.9 (3.3) | 23.5 (3.8) | 24.1 (2.6) | 23.7 (3.2) | 23.5 (3.7) | 24.0 (2.6) | 23.6 (3.3) |
| % body fat (%) | 29.7(6.5) | 20.6 (5.6) * | 25.9 (7.7) | 29.7 (6.5) | 20.6 (5.6) * | 25.5 (7.8) | 29.8 (6.7) | 20.2 (5.9) * | 25.3 (7.9) |
| WHR | 0.80 (0.04) | 0.86 (0.04) * | 0.83 (0.06) | 0.80 (0.04) | 0.86 (0.06) * | 0.83 (0.05) | 0.80 (0.04) | 0.85 (0.05) * | 0.82 (0.05) |
| Grip Strength (kg) | 64.6 (18.6) | 105.2 (18.4) * | 81.8 (27.2) | 63.8 (19.7) | 101.9 (16.1) * | 80.7 (26.2) | 63.8 (20.0) | 102.1 (16.6) * | 80.1 (26.9) |
| VO2max (mL∙kg−1∙min−1) | 42.0 (7.2) | 52.4 (7.7) * | 46.2 (9.0) | 42.0 (7.2) | 53.0 (7.6) * | 46.9 (9.4) | 42.1 (7.7) | 52.7 (7.8) * | 46.8 (9.4) |
| VTh2 (mL∙kg−1∙min−1) | 37.3 (6.4) | 44.0 (7.2)* | 40.0 (7.5) | 37.6 (6.7) | 43.6 (7.6) * | 40.3 (7.6) | 37.6 (6.7) | 43.4 (7.8) * | 40.3 (7.7) |
| Females (n = 23) | Males (n = 19) | All (n = 42) | ||||
|---|---|---|---|---|---|---|
| Mean (SD) | Range | Mean (SD) | Range | Mean (SD) | Range | |
| Sleep without Exercise | ||||||
| Sensitivity | ||||||
| Awake | 0.64 (0.22) | 0.04–0.87 | 0.67 (0.02) | 0.24–0.97 | 0.65 (0.21) | 0.04–0.97 |
| REM | 0.57 (0.15) | 0.24–0.83 | 0.57 (0.17) | 0.28–0.83 | 0.57 (0.16) | 0.24–0.83 |
| N1 and N2 | 0.67 (0.09) | 0.54–0.82 | 0.64 (0.09) | 0.43–0.81 | 0.66 (0.09) | 0.43–0.82 |
| N3 | 0.48 (0.20) | 0.00–0.75 | 0.35 (0.21) | 0.00–0.65 | 0.42 (0.21) | 0.00–0.75 |
| Specificity | ||||||
| Awake | 0.95 (0.03) | 0.87–1.00 | 0.93 (0.07) | 0.80–0.99 | 0.94 (0.05) | 0.80–1.00 |
| REM | 0.93 (0.04) | 0.85–0.99 | 0.90 (0.06) | 0.79–1.00 | 0.91 (0.05) | 0.79–1.00 |
| N1 and N2 | 0.63 (0.08) | 0.39–0.78 | 0.63 (0.09) | 0.47–0.80 | 0.63 (0.09) | 0.39–0.81 |
| N3 | 0.88 (0.06) | 0.75–0.96 | 0.90 (0.07) | 0.71–1.00 | 0.89 (0.07) | 0.71–1.00 |
| Accuracy | ||||||
| Awake | 0.93 (0.03) | 0.85–0.98 | 0.89 (0.08) | 0.68–0.96 | 0.91 (0.06) | 0.68–0.98 |
| REM | 0.85 (0.05) | 0.73–0.92 | 0.84 (0.06) | 0.73–0.92 | 0.84 (0.05) | 0.73–0.92 |
| N1 and N2 | 0.65 (0.06) | 0.49–0.72 | 0.64 (0.07) | 0.49–0.74 | 0.64 (0.06) | 0.49–0.74 |
| N3 | 0.81 (0.05) | 0.67–0.88 | 0.81 (0.06) | 0.68–0.91 | 0.81 (0.06) | 0.67–0.91 |
| Sensitivity | ||||||
| Sleep with Exercise | ||||||
| Awake | 0.69 (0.21) | 0.19–0.95 | 0.66 (0.03) | 0.21–0.98 | 0.68 (0.22) | 0.19–0.98 |
| REM | 0.59 (0.18) | 0.18–0.85 | 0.49 (0.19) | 0.10–0.74 | 0.54 (0.19) | 0.09–0.85 |
| N1 and N2 | 0.64 (0.12) | 0.40–0.84 | 0.67 (0.09) | 0.49–0.82 | 0.66 (0.11) | 0.40–0.84 |
| N3 | 0.45 (0.21) | 0.00–0.73 | 0.36 (0.19) | 0.00–0.63 | 0.41 (0.20) | 0.00–0.73 |
| Specificity | ||||||
| Awake | 0.95 (0.04) | 0.85–1.00 | 0.94 (0.04) | 0.86–0.99 | 0.95 (0.04) | 0.85–1.00 |
| REM | 0.90 (0.05) | 0.77–0.97 | 0.91 (0.06) | 0.79–1.00 | 0.90 (0.05) | 0.77–1.00 |
| N1 and N2 | 0.64 (0.11) | 0.39–0.82 | 0.57 (0.09) | 0.41–0.75 | 0.61 (0.11) | 0.39–0.82 |
| N3 | 0.87 (0.07) | 0.68–0.96 | 0.90 (0.06) | 0.78–1.00 | 0.88 (0.07) | 0.68–1.00 |
| Accuracy | ||||||
| Awake | 0.93 (0.05) | 0.73–0.98 | 0.90 (0.06) | 0.72–0.96 | 0.92 (0.06) | 0.72–0.98 |
| REM | 0.84 (0.07) | 0.64–0.93 | 0.82 (0.07) | 0.69–0.90 | 0.83 (0.07) | 0.64–0.93 |
| N1 and N2 | 0.64 (0.09) | 0.47–0.79 | 0.62 (0.07) | 0.49–0.75 | 0.63 (0.08) | 0.47–0.79 |
| N3 | 0.81 (0.06) | 0.66–0.91 | 0.80 (0.07) | 0.66–0.91 | 0.80 (0.07) | 0.66–0.91 |
| PSG | Prototype | |
|---|---|---|
| Mean (SD) | Mean (SD) | |
| Without Exercise | ||
| SPT (min) | 450 (70) | 446 (66) |
| TST (min) | 411 (65) | 412 (63) |
| SOn (min) | 88 (42) | 94 (45) |
| SOff (min) | 522 (60) | 519 (61) |
| Awake (nb epoch) | 115 (63) | 119 (80) |
| REM (nb epoch) | 176 (52) | 189 (50) |
| N1 and N2 (nb epoch) | 483 (108) | 457 (103) |
| N3 (nb epoch) | 160 (58) | 170 (57) |
| With Exercise | ||
| SPT (min) | 454 (74) | 451 (57) |
| TST (min) | 408 (75) | 410 (73) |
| SOn (min) | 109 (92) | 109 (100) |
| SOff (min) | 519 (124) | 514 (118) |
| Awake (nb epoch) | 117 (78) | 116 (99) |
| REM (nb epoch) | 180 (49) | 188 (46) |
| N1 and N2 (nb epoch) | 498 (105) | 488 (94) |
| N3 (nb epoch) | 153 (59) | 156 (46) |
Disclaimer/Publisher’s Note: The statements, opinions and data contained in all publications are solely those of the individual author(s) and contributor(s) and not of MDPI and/or the editor(s). MDPI and/or the editor(s) disclaim responsibility for any injury to people or property resulting from any ideas, methods, instructions or products referred to in the content. |
© 2024 by the authors. Licensee MDPI, Basel, Switzerland. This article is an open access article distributed under the terms and conditions of the Creative Commons Attribution (CC BY) license (https://creativecommons.org/licenses/by/4.0/).
Share and Cite
Parent, A.-A.; Guadagni, V.; Rawling, J.M.; Poulin, M.J. Performance Evaluation of a New Sport Watch in Sleep Tracking: A Comparison against Overnight Polysomnography in Young Adults. Sensors 2024, 24, 2218. https://doi.org/10.3390/s24072218
Parent A-A, Guadagni V, Rawling JM, Poulin MJ. Performance Evaluation of a New Sport Watch in Sleep Tracking: A Comparison against Overnight Polysomnography in Young Adults. Sensors. 2024; 24(7):2218. https://doi.org/10.3390/s24072218
Chicago/Turabian StyleParent, Andrée-Anne, Veronica Guadagni, Jean M. Rawling, and Marc J. Poulin. 2024. "Performance Evaluation of a New Sport Watch in Sleep Tracking: A Comparison against Overnight Polysomnography in Young Adults" Sensors 24, no. 7: 2218. https://doi.org/10.3390/s24072218
APA StyleParent, A.-A., Guadagni, V., Rawling, J. M., & Poulin, M. J. (2024). Performance Evaluation of a New Sport Watch in Sleep Tracking: A Comparison against Overnight Polysomnography in Young Adults. Sensors, 24(7), 2218. https://doi.org/10.3390/s24072218

