Acidic Gas Determination Using Indium Tin Oxide-Based Gas Sensors
Abstract
1. Introduction
2. Methods
3. Results and Discussion
3.1. Effect of Sn Doping on the Morphology of ITO Films
3.2. Effect of SnO2 Ratio on Gas-Sensitive Properties
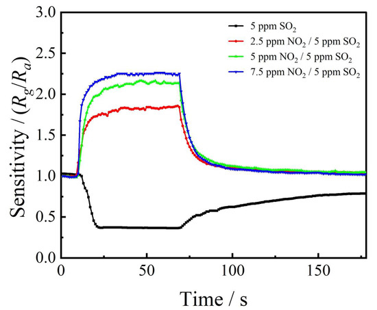
3.3. Gas-Sensitive Response Characteristics for NO2 and SO2
3.4. Effect of Sn Doping on Oxygen Vacancy Concentration
3.5. Analysis of Gas-Sensing Mechanism
3.6. Gas Selectivity and Temperature Dependence for ITO-Based Sensors
3.7. Effect of Humidity on Sensor Performance
4. Conclusions
Author Contributions
Funding
Data Availability Statement
Acknowledgments
Conflicts of Interest
References
- Grennfelt, P.; Engleryd, A.; Forsius, M.; Hov, Y.; Rodhe, H.; Cowling, E. Acid rain and air pollution: 50 years of progress in environmental science and policy. Ambio 2020, 49, 849–864. [Google Scholar] [CrossRef] [PubMed]
- Hsueh, T.J.; Lee, S.H. A La2O3 Nanoparticle SO2 Gas Sensor that Uses a ZnO Thin Film and Au Adsorption. J. Electrochem. Soc. 2021, 168, 077507. [Google Scholar] [CrossRef]
- Yang, A.; Wang, D.; Lan, T.; Chu, J.; Rong, M. Single ultrathin WO3 nanowire as a superior gas sensor for SO2 and H2S: Selective adsorption and distinct I-V response. Mater. Chem. Phys. 2019, 240, 122165. [Google Scholar] [CrossRef]
- Thangamani, G.J.; Pasha, S.K.K. Titanium dioxide (TiO2) nanoparticles reinforced polyvinyl formal (PVF) nanocomposites as chemiresistive gas sensor for sulfur dioxide (SO2) monitoring. Chemosphere 2021, 275, 129960. [Google Scholar] [CrossRef] [PubMed]
- Liu, H. High-sensitivity SO2 Gas Sensor Based on Noble Metal Doped WO3 Nanomaterials. ESG 2021, 16, 211240. [Google Scholar] [CrossRef]
- Choi, S.W.; Katoch, A.; Sun, G.J.; Kim, S.S. Bimetallic Pd/Pt nanoparticle-functionalized SnO2 nanowires for fast response and recovery to NO2. Sens. Actuators B Chem. 2013, 181, 446–453. [Google Scholar] [CrossRef]
- Madhi, I.; Bouzid, B.; Saadoun, M.; Bessaïs, B. Synthesis and characterization of ITO–ZnO nanocomposite and its application as NO2 gas sensor. Ceram. Int. 2015, 41, 6552–6559. [Google Scholar] [CrossRef]
- Tyagi, P.; Sharma, A.; Tomar, M.; Gupta, V. Metal Oxide Catalyst assisted SnO2 thin film based SO2 gas sensor. Sens. Actuators B Chem. 2016, 224, 282–289. [Google Scholar] [CrossRef]
- Mokrushin, A.S.; Fisenko, N.A.; Gorobtsov, P.Y.; Simonenko, T.L.; Glumov, O.V.; Melnikova, N.A.; Simonenko, N.P.; Bukunov, K.A.; Simonenko, E.P.; Sevastyanov, V.G.; et al. Pen plotter printing of ITO thin film as a highly CO sensitive component of a resistive gas sensor. Talanta 2021, 221, 121455. [Google Scholar] [CrossRef]
- Patel, N.G.; Patel, P.D.; Vaishnav, V.S. Indium tin oxide (ITO) thin film gas sensor for detection of methanol at room temperature. Sens. Actuators B 2003, 96, 180–189. [Google Scholar] [CrossRef]
- Jeong, C.W.; Shin, C.H.; Kim, D.I.; Chae, J.H.; Kim, Y.S. An ITO/Au/ITO Thin Film Gas Sensor for Methanol Detection at Room Temperature. Trans. Electr. Electron. Mater. 2010, 11, 77–80. [Google Scholar] [CrossRef]
- Lin, C.W.; Chen, H.I.; Chen, T.Y.; Huang, C.C.; Hsu, C.S.; Liu, R.C.; Liu, W.C. On an indium–tin-oxide thin film based ammonia gas sensor. Sens. Actuators B Chem. 2011, 160, 1481–1484. [Google Scholar] [CrossRef]
- Vaishnav, V.S.; Patel, S.G.; Panchal, J.N. Development of ITO thin film sensor for detection of benzene. Sens. Actuators B Chem. 2015, 206, 381–388. [Google Scholar] [CrossRef]
- Vasanthi Pillay, V.; Goyal, S. Influence of Sputtering Power, Annealing on the Structural Properties of ITO Films, for Application in Ethanol Gas Sensor. Mater. Today Proc. 2015, 2, 4609–4619. [Google Scholar] [CrossRef]
- Arun, M.; Yong, S.H. Plasma-assisted chemical vapor synthesis of indium tin oxide (ITO) nanopowder and hydrogen-sensing property of ITO thin film. Mater. Res. Express 2018, 5, 065045. [Google Scholar]
- Li, Q.; Zhang, Y.; Wang, Z.; Li, Y.; Ding, W.; Wang, T.; Yun, F. Heavily tin-doped indium oxide nano-pyramids as high-performance gas sensor. AIP Adv. 2018, 8, 115316. [Google Scholar] [CrossRef]
- Hasan, B.A. SnO2 doped In2O3 thin films as reducing gas sensors. In IOP Conference Series: Materials Science and Engineering; IOP Publishing: Bristol, UK, 2020; p. 072011. [Google Scholar]
- Li, Q.; Zhang, Y.; Feng, L.; Wang, Z.; Wang, T.; Yun, F. Investigation of the influence of growth parameters on self0catalyzed ITO nanowires by high RF-power sputtering. Nanotechnology 2018, 29, 165708. [Google Scholar] [CrossRef] [PubMed]
- Zhang, Y.; Li, Q.; Tian, Z.; Hu, P.; Qin, X.; Yun, F. Gas-sensing properties of ITO materials with different morphologies prepared by sputtering. SN Appl. Sci. 2020, 2, 264. [Google Scholar] [CrossRef]
- Sneha, N.; Selvisusmithasri, K.; Kiruthika, S. Sub-500 nm patterned synthesis of corrosion resistant SnO2 and Pt@ SnO2 using metal-organic precursor. Mater. Chem. Phys. 2023, 306, 128044. [Google Scholar] [CrossRef]
- Leite, E.R.; Weber, I.T.; Longo, E.; Varela, J.A. A new method to control particle size and particle size distribution of SnO2 nanoparticles for gas sensor applications. Adv. Mater. 2000, 12, 965–968. [Google Scholar] [CrossRef]
- Han, M.A.; Kim, H.-J.; Lee, H.C.; Park, J.-S.; Lee, H.-N. Effects of porosity and particle size on the gas sensing properties of SnO2 films. Appl. Surf. Sci. 2019, 481, 133–137. [Google Scholar] [CrossRef]
- Choi, M.S.; Kim, M.Y.; Mirzaei, A.; Kim, H.-S.; Kim, S.-i.; Baek, S.-H.; Chun, D.W.; Jin, C.; Lee, K.H. Selective, sensitive, and stable NO2 gas sensor based on porous ZnO nanosheets. Appl. Surf. Sci. 2021, 568, 150910. [Google Scholar] [CrossRef]
- Li, G.; Shen, Y.; Zhou, P.; Hao, F.; Fang, P.; Wei, D.; Meng, D.; San, X. Design and application of highly responsive and selective rGO-SnO2 nanocomposites for NO2 monitoring. Mater. Charact. 2020, 163, 110284. [Google Scholar] [CrossRef]
- Ramgir, N.S.; Goyal, C.P.; Goyal, D.; Patil, S.J.; Debnath, A.K. NO2 sensor based on Al modified ZnO nanowires. Mater. Sci. Semicond. Process. 2021, 134, 106027. [Google Scholar] [CrossRef]
- Liu, W.; Gu, D.; Li, X. Detection of Ppb-Level NO2 Using Mesoporous ZnSe/SnO2 Core-Shell Microspheres Based Chemical Sensors. Sens. Actuators B Chem. 2020, 320, 128365. [Google Scholar] [CrossRef]
- Simon, I.; Savitsky, A.; Mülhaupt, R.; Pankov, V.; Janiak, C. Nickel nanoparticle-decorated reduced graphene oxide/WO3 nanocomposite–a promising candidate for gas sensing. Beilstein Arch. 2020, 2020, 145. [Google Scholar] [CrossRef] [PubMed]
- Zheng, X.; Qiao, X.; Luo, F.; Wan, B.; Zhang, C. Low-cost high-performance NO2 sensor based on nanoporous indium tin oxide (ITO) film. Sens. Actuators B Chem. 2021, 346, 130440. [Google Scholar] [CrossRef]
- Lee, D.-J.; Park, J.; Kim, H.S.; Lee, D.H.; Park, M.; Chang, H.; Jin, J.-H.; Sohn, J.-R.; Heo, K.; Lee, B.Y. Highly selective ppb-level detection of NH3 and NO2 gas using patterned porous channels of ITO nanoparticles. Sens. Actuators B Chem. 2015, 216, 482–487. [Google Scholar] [CrossRef]
- Tyagi, P.; Sharma, A.; Tomar, M.; Gupta, V. SnO2 thin film sensor having NiO catalyst for detection of SO2 gas with improved response characteristics. Sens. Actuators B Chem. 2017, 248, 998–1005. [Google Scholar] [CrossRef]
- Tyagi, P.; Sharma, A.; Tomar, M.; Gupta, V. Efficient Detection of SO2 Gas Using SnO2 Based Sensor Loaded with Metal Oxide Catalysts. Procedia Eng. 2014, 87, 1075–1078. [Google Scholar] [CrossRef]
- Tyagi, P.; Sharma, A.; Tomar, M.; Gupta, V. Effect of MgO and V2O5 catalyst on the sensing behaviour of tin oxide thin film for SO2 gas. Conf. Pap. Sci. 2014, 2014, 812627. [Google Scholar] [CrossRef]
- Zhao, C.; Gong, H.; Niu, G.; Wang, F. Ultrasensitive SO2 sensor for sub-ppm detection using Cu-doped SnO2 nanosheet arrays directly grown on chip. Sens. Actuators B Chem. 2020, 324, 128745. [Google Scholar] [CrossRef]
- Liu, L.; Liu, S. Oxygen vacancies as an efficient strategy for promotion of low concentration SO2 gas sensing: The case of Au-modified SnO2. ACS Sustain. Chem. Eng. 2018, 6, 13427–13434. [Google Scholar] [CrossRef]
- Fu, Y.; Li, J.; Xu, H. SnO2 recycled from tin slime for enhanced SO2 sensing properties by NiO surface decoration. Mater. Sci. Semicond. Process. 2020, 114, 105073. [Google Scholar] [CrossRef]
- Liu, Y.; Xu, X.; Chen, Y.; Zhang, Y.; Gao, X.; Xu, P.; Li, X.; Fang, J.; Wen, W. An integrated micro-chip with Ru/Al2O3/ZnO as sensing material for SO2 detection. Sens. Actuators B Chem. 2018, 262, 26–34. [Google Scholar] [CrossRef]
- Luo, N.; Wang, C.; Zhang, D.; Guo, M.; Wang, X.; Cheng, Z.; Xu, J. Ultralow detection limit MEMS hydrogen sensor based on SnO2 with oxygen vacancies. Sens. Actuators B Chem. 2022, 354, 130982. [Google Scholar] [CrossRef]
- Dey, A. Semiconductor metal oxide gas sensors: A review. Mater. Sci. Eng. B 2018, 229, 206–217. [Google Scholar] [CrossRef]
- Wang, C.N.; Li, Y.L.; Gong, F.L.; Zhang, Y.H.; Fang, S.M.; Zhang, H.L. Advances in doped ZnO nanostructures for gas sensor. Chem. Rec. 2020, 20, 1553–1567. [Google Scholar] [CrossRef]
- Kumar, A.; Kumar, M.; Kumar, R.; Singh, R.; Prasad, B.; Kumar, D. Numerical model for the chemical adsorption of oxygen and reducing gas molecules in presence of humidity on the surface of semiconductor metal oxide for gas sensors applications. Mater. Sci. Semicond. Process. 2019, 90, 236–244. [Google Scholar] [CrossRef]
- Battistoni, C.; Gastaldi, L.; Lapiccirella, A.; Mattogno, G.; Viticoli, S. Octahedral vs tetrahedral coordination of the co (II) ion in layer compounds: CoxZn1−xIn2S4(O≤x≤0.46) solid solution. J. Phys. Chem. Solids 1986, 47, 899–903. [Google Scholar] [CrossRef]
- Yu, X.-R.; Liu, F.; Wang, Z.-Y.; Chen, Y. Auger parameters for sulfur-containing compounds using a mixed aluminum-silver excitation source. J. Electron Spectrosc. Relat. Phenom. 1990, 50, 159–166. [Google Scholar] [CrossRef]










| Sensing Material | Working Temperature/°C | Concentration/ppm | Sensitivity/(Rg/Ra) | Response/Recovery Time/s | Ref. |
|---|---|---|---|---|---|
| ZnO | 200 | 6 | 18.4 | 300/200 | [23] |
| rGO/SnO2 | 125 | 3 | 53.6 | 16/63 | [24] |
| ZnO | 230 | 4 | 6.2 | 18/65 | [25] |
| ZnSe/SnO2 | 160 | 2.4 | 6.94 | 64/52 | [26] |
| Ni/WO3/rGO | 240 | 10 | 2.95 | ~420/- | [27] |
| ITO(In2O3-SnO2) | 100 | 50 | 100 | 30/40 | [28] |
| ITO(In2O3-SnO2) | 150 | 10 | ~5 | ~480/~7920 | [29] |
| ZnO-ITO(In2O3-SnO2) | 160 | 70 | ~270 | ~82/~26 | [7] |
| ITO(In2O3-SnO2) | 240 | 5 | 2.5 | 8/74 | This work |
| Sensing Material | Working Temperature/°C | Concentration/ppm | Sensitivity/(Ra/Rg) | Response/Recovery Time/s | Ref. |
|---|---|---|---|---|---|
| NiO/SnO2 | 180 | 500 | ~56 | 80/70 | [30] |
| V2O5/SnO2 | 240 | 500 | 1.5 | 106/115 | [31] |
| MgO/SnO2 | 280 | 500 | 3.17 | 59/52 | [32] |
| Cu/SnO2 | 250 | 6 | 91.51 | 270/901 | [33] |
| Au/La2O3/ZnO | 260 | 1 | 1.41 | ~90/~60 | [34] |
| Au/SnO2 | 200 | 5 | 4.9 | ~100/~70 | [35] |
| NiO/SnO2 | 240 | 10 | 1.7 | ~30/~40 | [36] |
| Ru/Al2O3/ZnO | 350 | 5 | 1.12 | ~60/~360 | [37] |
| ITO(In2O3-SnO2) | 240 | 5 | 1.8 | 66/58 | This work |
| Indium/Tin Ratio | Adsorbed Oxygen (Oads)/C | Lattice Oxygen (Olat)/C | Ratio of Oads/Olat |
|---|---|---|---|
| 90%:10% | 224,753.7 | 239,619.1 | 0.938 |
| 85%:15% | 256,602.3 | 269,028.7 | 0.954 |
| Test No. | Concentration/ppm | Sensitivity/(Ra/Rg) | Response/Recovery Time/s |
|---|---|---|---|
| 1 | 5 | 1.24 | 198/154 |
| 2 | 50 | 1.16 | 241/177 |
| 3 | 5 | 1.06 | 120/62 |
| Test No. | Concentration/ppm | Sensitivity/(Ra/Rg) | Response/Recovery Time/s |
|---|---|---|---|
| 1 | 50 | 1.62 | 8/190 |
| 2 | 5 | 1.30 | 81/147 |
| 3 | 5 | 1.11 | 244/307 |
| Relative Humidity/ (% RH) | Sensitivity/(Rg/Ra) | Response/Recovery Time/(s) |
|---|---|---|
| 35 | 2.42 | 5/34 |
| 55 | 2.24 | 10/27 |
| 75 | 1.92 | 12/34 |
| 100 | 1.49 | 15/36 |
Disclaimer/Publisher’s Note: The statements, opinions and data contained in all publications are solely those of the individual author(s) and contributor(s) and not of MDPI and/or the editor(s). MDPI and/or the editor(s) disclaim responsibility for any injury to people or property resulting from any ideas, methods, instructions or products referred to in the content. |
© 2024 by the authors. Licensee MDPI, Basel, Switzerland. This article is an open access article distributed under the terms and conditions of the Creative Commons Attribution (CC BY) license (https://creativecommons.org/licenses/by/4.0/).
Share and Cite
Peng, K.; Li, Q.; Ma, M.; Li, N.; Sheng, H.; Li, H.; Huang, Y.; Yun, F. Acidic Gas Determination Using Indium Tin Oxide-Based Gas Sensors. Sensors 2024, 24, 1286. https://doi.org/10.3390/s24041286
Peng K, Li Q, Ma M, Li N, Sheng H, Li H, Huang Y, Yun F. Acidic Gas Determination Using Indium Tin Oxide-Based Gas Sensors. Sensors. 2024; 24(4):1286. https://doi.org/10.3390/s24041286
Chicago/Turabian StylePeng, Kaiyan, Qiang Li, Mingwei Ma, Na Li, Haoran Sheng, Haoyu Li, Yujie Huang, and Feng Yun. 2024. "Acidic Gas Determination Using Indium Tin Oxide-Based Gas Sensors" Sensors 24, no. 4: 1286. https://doi.org/10.3390/s24041286
APA StylePeng, K., Li, Q., Ma, M., Li, N., Sheng, H., Li, H., Huang, Y., & Yun, F. (2024). Acidic Gas Determination Using Indium Tin Oxide-Based Gas Sensors. Sensors, 24(4), 1286. https://doi.org/10.3390/s24041286

