Spatial Galloping Behavior of Iced Conductors under Multimodal Coupling
Abstract
1. Introduction
2. Establishment of Dynamical Equations
3. Numerical Analysis
3.1. Critical Conditions of Galloping
- (1)
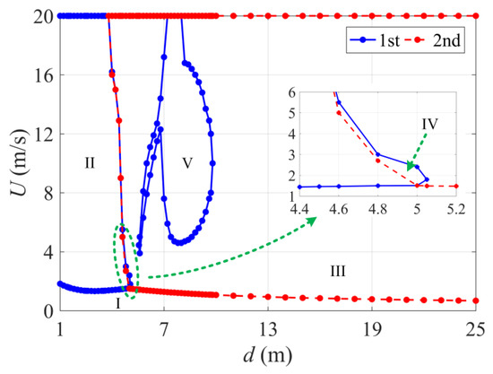
- For the first-order modal galloping, as the sag increases, the vibration area first increases and then gradually decreases. When d > 3.8 m, the vibration area begins to decrease rapidly until the vibration disappears. However, when d > 5.6 m, the first-order modal vibration is again excited because of the nonlinear coupling between the first- and second-order modes in the in-plane direction [24]. Within the range of 5.6 m < d < 6.8 m, as the sag increases, the critical wind speeds for the upper and lower limits of the vibration increase rapidly, and the vibration area is narrow but slowly increasing. When d > 6.8 m, as the sag continues to increase, the vibration area first gradually increases, reaching a maximum around d = 8 m, and then begins to gradually decrease. When d > 10 m, the first-order modal vibration is no longer excited.
- (2)
- When the sag is low, the second-order modal galloping is not excited if the wind speed is within 20 m/s. When d > 3.8 m, the first-order modal galloping area begins to decrease, and the second-order modal galloping starts to be excited. The galloping area rapidly expands with the increase in sag. When d > 5 m, the galloping area enters a slow expansion stage. It can also be observed that the area of second-order modal galloping is significantly larger than that of first-order modal galloping, indicating that the second-order modal galloping is more likely to occur.
3.2. Galloping Behavior
4. Conclusions
- (1)
- As the wind speed and span increased, the galloping process of the system underwent the following sequential stages: first-order mode, coupling of first- and second-order modes, second-order mode, coupling of first- and second-order modes, and second-order mode. Further, first-order mode galloping was excited twice. Moreover, the area of the second-order mode galloping was significantly larger than that of the first-order mode galloping, making it easier to occur in practical situations.
- (2)
- When the system was in a single-modal galloping state in all the directions, it exhibited a stable periodic motion. Under the coupled effect of in-plane and out-of-plane motion, except at the nodes, all the points on the iced conductor moved along a continuous, overlapping, and inclined elliptical orbit. When the system was in a single first-order mode galloping state, the spatial trajectory of the galloping motion was an approximately inclined elliptical sphere. When the system was in a single second-order mode galloping state, the spatial trajectory of galloping was approximately two inclined elliptical spheres with an immobile node in the center.
- (3)
- When the system was in a coupled-mode galloping state in certain directions, the spatial trajectory of galloping was basically anti-symmetric but had no fixed profile. During the first excitation stage of the first-order mode, the iced conductor moved along a continuous, inclined, elliptical orbit at the 1/2 span position, while at the other points, there was a mixed motion pattern of inclined elliptical and “8” profiles. During the second excitation stage of the first-order mode, all the points on the iced conductor vibrated along a continuous, approximately horizontal “8” profile.
Author Contributions
Funding
Institutional Review Board Statement
Informed Consent Statement
Data Availability Statement
Acknowledgments
Conflicts of Interest
References
- EPRI. Conductor Reference Book: Wind-Induced Conductor Motion; Electric Power Research Institute: Palo Alto, CA, USA, 1979; pp. 4–5. [Google Scholar]
- Hartog, J.P.D. Conductor vibration due to sleet. Trans. Am. Inst. Electr. Eng. 1932, 51, 1074–1076. [Google Scholar] [CrossRef]
- Nigol, O.; Buchan, P.G. Conductor galloping part II—Torsional mechanism. IEEE Trans. Power Appar. Syst. 1981, 100, 708–720. [Google Scholar] [CrossRef]
- Yu, P.; Shah, A.H.; Popplewell, N. Inertially coupled galloping of iced conductors. J. Appl. Mech. 1992, 59, 140–145. [Google Scholar] [CrossRef]
- You, C. Stability mechanism of conductor galloping and its application on transmission line. Electr. Equip. 2004, 5, 13–17. [Google Scholar]
- Zhu, K.; You, C.; Zhao, Y. Study and control on galloping of transmission lines. Electr. Power Constr. 2004, 25, 18–21. [Google Scholar]
- Jones, K. Coupled vertical and horizontal galloping. J. Eng. Mech. 1992, 118, 92–107. [Google Scholar] [CrossRef]
- Blevins, R.; Iwan, W. The galloping response of a two-degree-of-freedom system. J. Appl. Mech. 1974, 41, 1113–1118. [Google Scholar] [CrossRef]
- Liu, B.; Zhu, K.; Sun, X.; Huo, B.; Liu, X. A contrast on conductor galloping amplitude calculated by three mathematical models with different DOFs. Shock Vib. 2014, 2014, 781304. [Google Scholar] [CrossRef]
- Chen, X.; Wu, Y. Explicit closed-form solutions of the initiation conditions for 3DOF galloping or flutter. J. Wind Eng. Ind. Aerodyn. 2021, 219, 104787. [Google Scholar] [CrossRef]
- Matsumiya, H.; Yagi, T.; Macdonald, J.H.G. Effects of aerodynamic coupling and nonlinear behaviour on galloping of ice-accreted conductors. J. Fluids Struct. 2021, 106, 103366. [Google Scholar] [CrossRef]
- Diana, G.; Manenti, A.; Melzi, S. Energy method to compute the maximum amplitudes of oscillation due to galloping of iced bundled conductors. IEEE Trans. Power Deliv. 2021, 36, 2804–2813. [Google Scholar] [CrossRef]
- Zhou, L.; Yan, B.; Zhang, L.; Zhou, S. Study on galloping behavior of iced eight bundle conductor transmission lines. J. Sound Vib. 2016, 362, 85–110. [Google Scholar] [CrossRef]
- Shunli, D.; Mengqi, C.; Bowen, T.; Junhao, L.; Linshu, Z.; Chuan, W.; Hanjie, H.; Jun, L. Numerical simulation of galloping characteristics of multi-span iced eight-bundle conductors. Front. Energy Res. 2022, 9, 888327. [Google Scholar] [CrossRef]
- Tian, B.; Cai, M.; Zhou, L.; Huang, H.; Ding, S.; Liang, J.; Hu, M. Numerical simulation of galloping characteristics of multi-span iced eight-bundle conductors tower line system. Buildings 2022, 12, 1893. [Google Scholar] [CrossRef]
- Chen, J.; Sun, G.; Guo, X.; Peng, Y. Galloping behaviors of ice-coated conductors under steady, unsteady and stochastic wind fields. Cold Reg. Sci. Technol. 2022, 200, 103583. [Google Scholar] [CrossRef]
- Liu, X.; Huo, B. Nonlinear vibration and multimodal interaction analysis of conductor with thin ice accretions. Int. J. Appl. Mech. 2015, 07, 1540007. [Google Scholar] [CrossRef]
- Huo, B.; Li, X.; Yang, S. Galloping of Iced Conductors Considering Multi-Torsional Modes and Experimental Validation on a Continuous Model. IEEE Trans. Power Deliv. 2022, 37, 3016–3026. [Google Scholar] [CrossRef]
- Luongo, A.; Zulli, D.; Piccardo, G. Analytical and numerical approaches to nonlinear galloping of internally resonant suspended cables. J. Sound Vib. 2008, 315, 375–393. [Google Scholar] [CrossRef]
- Nayfeh, A.; Arafat, H.; Chin, C.; Lacarbonara, W. Multimode interactions in suspended cables. J. Vib. Control 2002, 8, 337–387. [Google Scholar] [CrossRef]
- Irvine, H.; Caughey, T. The Linear theory of free vibrations of a suspended cable. Proc. R. Soc. A Math. Phys. Eng. Sci. 1974, 341, 299–315. [Google Scholar]
- Luongo, A.; Piccardo, G. Linear instability mechanisms for coupled translational galloping. J. Sound Vib. 2005, 288, 1027–1047. [Google Scholar] [CrossRef]
- Barbieri, R.; Barbieri, N.; Junior, O. Dynamical analysis of transmission line cables. Part 3—Nonlinear theory. Mech. Syst. Signal Process. 2008, 22, 992–1007. [Google Scholar] [CrossRef]
- Cui, F.; Zhang, S.; Huo, B.; Liu, X.; Zhou, A. Analysis of stability and modal interaction for multi-modal coupling galloping of iced conductors. Commun. Nonlinear Sci. Numer. Simul. 2021, 2021, 105910. [Google Scholar] [CrossRef]
- Lou, W.; Yang, L.; Huang, M.F.; Yang, X. Two-parameter bifurcation and stability analysis for nonlinear galloping of iced conductors. J. Eng. Mech. 2014, 140, 04014081. [Google Scholar] [CrossRef]
- Chen, Z.; Cai, W.; Su, J.; Nan, B.; Zeng, C.; Su, N. Aerodynamic force and aeroelastic response characteristics analyses for the galloping of ice-covered four-split transmission lines in oblique flows. Sustainability 2022, 14, 16650. [Google Scholar] [CrossRef]

















| Parameter | Value |
|---|---|
| Span l | 244 m |
| Mass per unit length m | 6.92 kg/m |
| Bare conductor diameter D | 28.6 mm |
| Tensile stiffness EA | 1.105 × 108 N |
| Torsional stiffness GJ | 23,746 N·m2/rad |
| Moment of inertia I | 0.70065 kg·m |
| Inflow density ρa | 1.29 kg/m3 |
| Eccentricity er | 1.39 × 10−4 m |
| Initial wind attack angle θ0 | 24° |
| In-plane damping ratio ξv | 0.005 |
| Out-of-plane damping ratio ξw | 0.005 |
| Torsional damping ratio ξɵ | 0.02 |
| Direction | Natural Frequency | |||||
|---|---|---|---|---|---|---|
| d = 4.3 m | d = 4.6 m | d = 6.8 m | ||||
| 1st | 2nd | 1st | 2nd | 1st | 2nd | |
| In-plane | 0.421 | 0.534 | 0.433 | 0.516 | 0.516 | 0.424 |
| Out-of-plane | 0.267 | 0.534 | 0.258 | 0.516 | 0.212 | 0.424 |
| Torsional | 0.377 | 0.744 | 0.377 | 0.744 | 0.377 | 0.744 |
Disclaimer/Publisher’s Note: The statements, opinions and data contained in all publications are solely those of the individual author(s) and contributor(s) and not of MDPI and/or the editor(s). MDPI and/or the editor(s) disclaim responsibility for any injury to people or property resulting from any ideas, methods, instructions or products referred to in the content. |
© 2024 by the authors. Licensee MDPI, Basel, Switzerland. This article is an open access article distributed under the terms and conditions of the Creative Commons Attribution (CC BY) license (https://creativecommons.org/licenses/by/4.0/).
Share and Cite
Cui, F.; Zheng, K.; Liu, P.; Wang, H. Spatial Galloping Behavior of Iced Conductors under Multimodal Coupling. Sensors 2024, 24, 784. https://doi.org/10.3390/s24030784
Cui F, Zheng K, Liu P, Wang H. Spatial Galloping Behavior of Iced Conductors under Multimodal Coupling. Sensors. 2024; 24(3):784. https://doi.org/10.3390/s24030784
Chicago/Turabian StyleCui, Fujiang, Kaihong Zheng, Peng Liu, and Han Wang. 2024. "Spatial Galloping Behavior of Iced Conductors under Multimodal Coupling" Sensors 24, no. 3: 784. https://doi.org/10.3390/s24030784
APA StyleCui, F., Zheng, K., Liu, P., & Wang, H. (2024). Spatial Galloping Behavior of Iced Conductors under Multimodal Coupling. Sensors, 24(3), 784. https://doi.org/10.3390/s24030784

