Ship-Fire Net: An Improved YOLOv8 Algorithm for Ship Fire Detection
Abstract
1. Introduction
- We created a dataset for ship fire detection that contained images of fires in both rooms and boards. After excluding similar images, we created labels manually to ensure the quality of fire and smoke.
- We broadened the backbone network of YOLOv8n by adding a GhostnetV2-C2F module for long-range attention with an inexpensive operation.
- We used spatial and channel reconstruction convolution (SCConv) to reduce redundant features with significantly lower complexity and computational costs for real-time ship fire detection.
- We used omni-dimensional dynamic convolution is the multi-dimensional attention mechanism; on the one hand, this lowers the parameters, and on the other, it improves the models’ capacity to comprehend contextual information and then improve precision.
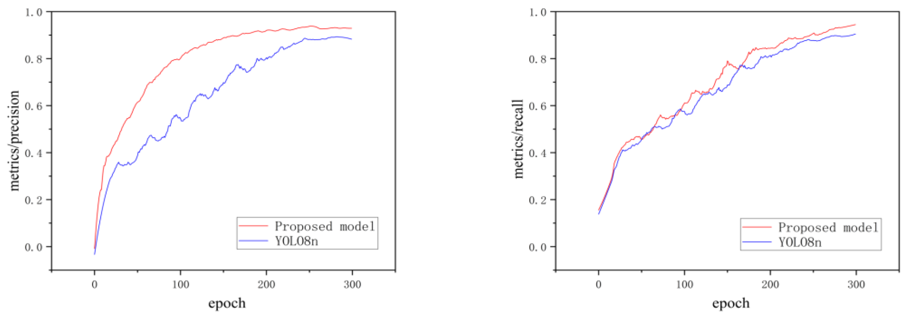
- We proposed a lighter and more accurate YOLOv8n algorithm, and named it “Ship-Fire net”. Compared to the original YOLOv8n, it has fewer parameters, fewer FLOPs, and higher FPS when its accuracy is increased.
- Ship fire nets can also detect smoke, which other ship fire-detection algorithms ignore.
2. Literature Review
2.1. Machine Learning
2.2. Deep Learning
3. Materials and Methods
3.1. Model Structure of the YOLOv8n Network
3.2. Using GhostNetv2 for Cheap Operation with Long-Range Attention
3.3. Using SCConv for Feature Redundancy Reduction
3.4. Omin-Dimensional Dynamic Convolution for Multi-Dimensional Attention Mechanism
3.5. Structure of the Ship-Fire Net
4. Data Collection and Experimental Setting
4.1. Ship Fire Data Set Collection
4.2. Experimental Environment
4.3. Hyperparameter Setting
4.4. Model Evaluation Metrics
5. Results and Discussion
5.1. Based Algorithms Selection
5.2. Ablation Tests Results
6. Discussions and Limitations
7. Conclusions
Author Contributions
Funding
Institutional Review Board Statement
Informed Consent Statement
Data Availability Statement
Conflicts of Interest
References
- Luo, M.; Shin, S.-H. Half-century research developments in maritime accidents: Future directions. Accid. Anal. Prev. 2019, 123, 448–460. [Google Scholar] [CrossRef] [PubMed]
- Allianz Global Corporate & Specialty. Safety and Shipping Review 2023; Allianz Global Corporate & Specialty SE: Hong Kong, China, 2023. [Google Scholar]
- Truong, C.T.; Nguyen, T.H.; Vu, V.Q.; Do, V.H.; Nguyen, D.T. Enhancing Fire Detection Technology: A UV-Based System Utilizing Fourier Spectrum Analysis for Reliable and Accurate Fire Detection. Appl. Sci. 2023, 13, 7845. [Google Scholar] [CrossRef]
- Marbach, G.; Loepfe, M.; Brupbacher, T. An image processing technique for fire detection in video images. Fire Saf. J. 2006, 41, 285–289. [Google Scholar] [CrossRef]
- Çelik, T.; Demirel, H. Fire detection in video sequences using a generic color model. Fire Saf. J. 2009, 44, 147–158. [Google Scholar] [CrossRef]
- Chenebert, A.; Breckon, T.P.; Gaszczak, A. A non-temporal texture driven approach to real-time fire detection. In Proceedings of the 2011 18th IEEE International Conference on Image Processing, Brussels, Belgium, 11–14 September 2011; IEEE: New York, NY, USA, 2011. [Google Scholar]
- Foggia, P.; Saggese, A.; Vento, M. Real-time fire detection for video-surveillance applications using a combination of experts based on color, shape, and motion. IEEE Trans. Circuits Syst. Video Technol. 2015, 25, 1545–1556. [Google Scholar] [CrossRef]
- Mueller, M.; Karasev, P.; Kolesov, I.; Tannenbaum, A. Optical Flow Estimation for Flame Detection in Videos. IEEE Trans. Image Process. 2013, 22, 2786–2797. [Google Scholar] [CrossRef]
- Wang, S.; He, Y.; Yang, H.; Wang, K.; Wang, J. Video smoke detection using shape, color and dynamic features. J. Intell. Fuzzy Syst. 2017, 33, 305–313. [Google Scholar] [CrossRef]
- Zhao, J.; Zhang, Z.; Han, S.; Qu, C.; Yuan, Z.; Zhang, D. SVM based forest fire detection using static and dynamic features. Comput. Sci. Inf. Syst. 2011, 8, 821–841. [Google Scholar] [CrossRef]
- Ko, B.; Kwak, J.-Y.; Nam, J.-Y. Wildfire smoke detection using temporospatial features and random forest classifiers. Opt. Eng. 2012, 51, 017208-1–017208-10. [Google Scholar] [CrossRef]
- Khatami, A.; Mirghasemi, S.; Khosravi, A.; Lim, C.P.; Nahavandi, S. A new PSO-based approach to fire flame detection using K-Medoids clustering. Expert Syst. Appl. 2017, 68, 69–80. [Google Scholar] [CrossRef]
- Dunnings, A.J.; Breckon, T.P. Experimentally defined convolutional neural network architecture variants for non-temporal real-time fire detection. In Proceedings of the 2018 25th IEEE International Conference on Image Processing (ICIP), Athens, Greece, 7–10 October 2018; IEEE: New York, NY, USA, 2018. [Google Scholar]
- Shen, D.; Chen, X.; Nguyen, M.; Yan, W.Q. Flame Detection Using Deep Learning. In Proceedings of the 2018 4th International Conference on Control, Automation and Robotics (ICCAR), Auckland, New Zealand, 20–23 April 2018; IEEE: New York, NY, USA, 2018. [Google Scholar]
- Zhao, L.; Zhi, L.; Zhao, C.; Zheng, W. Fire-YOLO: A Small Target Object Detection Method for Fire Inspection. Sustainability 2022, 14, 4930. [Google Scholar] [CrossRef]
- Xu, R.; Lin, H.; Lu, K.; Cao, L.; Liu, Y. A Forest Fire Detection System Based on Ensemble Learning. Forests 2021, 12, 217. [Google Scholar] [CrossRef]
- Talaat, F.M.; ZainEldin, H. An improved fire detection approach based on YOLO-v8 for smart cities. Neural Comput. Appl. 2023, 35, 20939–20954. [Google Scholar] [CrossRef]
- Xiao, Z.; Wan, F.; Lei, G.; Xiong, Y.; Xu, L.; Ye, Z.; Liu, W.; Zhou, W.; Xu, C. FL-YOLOv7: A Lightweight Small Object Detection Algorithm in Forest Fire Detection. Forests 2023, 14, 1812. [Google Scholar] [CrossRef]
- Park, K.-M.; Bae, C.-O. A Study on Fire Detection in Ship Engine Rooms Using Convolutional Neural Network. J. Korean Soc. Mar. Environ. Saf. 2019, 25, 476–481. [Google Scholar] [CrossRef]
- Xu, H.; Yuan, W.; Yu, M. Real-time Classification of Ship Cabins Fire Hazard Levels Based on CNN. In Proceedings of the 2019 Chinese Automation Congress (CAC), Hangzhou, China, 22–24 November 2019; IEEE: New York, NY, USA, 2019. [Google Scholar]
- Wu, H.; Hu, Y.; Wang, W.; Mei, X.; Xian, J. Ship Fire Detection Based on an Improved YOLO Algorithm with a Lightweight Convolutional Neural Network Model. Sensors 2022, 22, 7420. [Google Scholar] [CrossRef] [PubMed]
- Avazov, K.; Jamil, M.K.; Muminov, B.; Abdusalomov, A.B.; Cho, Y.-I. Fire Detection and Notification Method in Ship Areas Using Deep Learning and Computer Vision Approaches. Sensors 2023, 23, 7078. [Google Scholar] [CrossRef] [PubMed]
- Khalil, A.; Rahman, S.U.; Alam, F.; Ahmad, I.; Khalil, I. Fire Detection Using Multi Color Space and Background Modeling. Fire Technol. 2020, 57, 1221–1239. [Google Scholar] [CrossRef]
- Poobalan, K.; Liew, S.-C. Fire detection based on color filters and Bag-of-Features classification. In Proceedings of the 2015 IEEE Student Conference on Research and Development (SCOReD), Kuala Lumpur, Malaysia, 13–14 December 2015; IEEE: New York, NY, USA, 2015. [Google Scholar]
- Vipin, V. Image processing based forest fire detection. Int. J. Emerg. Technol. Adv. Eng. 2012, 2, 87–95. [Google Scholar]
- Chunyu, Y.; Jun, F.; Jinjun, W.; Yongming, Z. Video Fire Smoke Detection Using Motion and Color Features. Fire Technol. 2010, 46, 651–663. [Google Scholar] [CrossRef]
- Cui, Y.; Dong, H.; Zhou, E. An early fire detection method based on smoke texture analysis and discrimination. In Proceedings of the 2008 Congress on Image and Signal Processing, Sanya, China, 27–30 May 2008; IEEE: New York, NY, USA, 2008. [Google Scholar]
- Chunyu, Y.; Yongming, Z.; Jun, F.; Jinjun, W. Texture analysis of smoke for real-time fire detection. In Proceedings of the 2009 Second International Workshop on Computer Science and Engineering, Qingdao, China, 28–30 October 2009; IEEE: New York, NY, USA, 2009. [Google Scholar]
- Chino, D.Y.T.; Avalhais, L.P.S.; Rodrigues, J.F.; Traina, A.J.M. Bowfire: Detection of fire in still images by integrating pixel color and texture analysis. In Proceedings of the 2015 28th SIBGRAPI conference on Graphics, Patterns and Images, Salvador, Brazil, 26–29 August 2015; IEEE: New York, NY, USA, 2015. [Google Scholar]
- Ye, W.; Zhao, J.; Wang, S.; Wang, Y.; Zhang, D.; Yuan, Z. Dynamic texture based smoke detection using Surfacelet transform and HMT model. Fire Saf. J. 2015, 73, 91–101. [Google Scholar] [CrossRef]
- Chi, R.; Lu, Z.M.; Ji, Q.G. Real-time multi-feature based fire flame detection in video. IET Image Process. 2017, 11, 31–37. [Google Scholar] [CrossRef]
- Liu, W.; Anguelov, D.; Erhan, D.; Szegedy, C.; Reed, S.; Fu, C.Y.; Berg, A.C. Ssd: Single shot multibox detector. In Proceedings of the Computer Vision–ECCV 2016: 14th European Conference, Amsterdam, The Netherlands, 11–14 October 2016; Proceedings, Part I 14. Springer: Berlin/Heidelberg, Germany, 2016. [Google Scholar]
- Redmon, J.; Divvala, S.; Girshick, R.; Farhadi, A. You only look once: Unified, real-time object detection. In Proceedings of the IEEE Conference on Computer Vision and Pattern Recognition, Las Vegas, NV, USA, 27–30 June 2016. [Google Scholar]
- Lin, T.-Y.; Goyal, P.; Girshick, R.; He, K.; Dollár, P. Focal loss for dense object detection. In Proceedings of the IEEE International Conference on Computer Vision, Venice, Italy, 22–29 October 2017. [Google Scholar]
- Girshick, R.; Donahue, J.; Darrell, T.; Malik, J. Rich Feature Hierarchies for Accurate Object Detection and Semantic Segmentation. In Proceedings of the IEEE Conference on Computer Vision and Pattern Recognition, Columbus, OH, USA, 23–28 June 2014. [Google Scholar]
- Girshick, R. Fast r-cnn. In Proceedings of the IEEE International Conference on Computer Vision, Santiago, Chile, 7–13 December 2015. [Google Scholar]
- Ren, S.; He, K.; Girshick, R.; Sun, J. Faster R-CNN: Towards real-time object detection with region proposal networks. In Proceedings of the Advances in Neural Information Processing Systems 28 (NIPS 2015), Montreal, QC, Canada, 7–12 December 2015; Volume 28. [Google Scholar]
- He, K.; Gkioxari, G.; Dollár, P.; Girshick, R. Mask r-cnn. In Proceedings of the IEEE International Conference on Computer Vision, Venice, Italy, 22–29 October 2017. [Google Scholar]
- Zhang, Q.-X.; Lin, G.-H.; Zhang, Y.-M.; Xu, G.; Wang, J.-J. Wildland Forest Fire Smoke Detection Based on Faster R-CNN using Synthetic Smoke Images. Procedia Eng. 2018, 211, 441–446. [Google Scholar] [CrossRef]
- Chaoxia, C.; Shang, W.; Zhang, F. Information-Guided Flame Detection Based on Faster R-CNN. IEEE Access 2020, 8, 58923–58932. [Google Scholar] [CrossRef]
- Barmpoutis, P.; Dimitropoulos, K.; Kaza, K.; Grammalidis, N. Fire detection from images using faster R-CNN and multidimensional texture analysis. In Proceedings of the ICASSP 2019—2019 IEEE International Conference on Acoustics, Speech and Signal Processing (ICASSP), Brighton, UK, 12–17 May 2019; IEEE: New York, NY, USA, 2019. [Google Scholar]
- Li, P.; Zhao, W. Image fire detection algorithms based on convolutional neural networks. Case Stud. Therm. Eng. 2020, 19, 100625. [Google Scholar] [CrossRef]
- Dou, Z.; Zhou, H.; Liu, Z.; Hu, Y.; Wang, P.; Zhang, J.; Wang, Q.; Chen, L.; Diao, X.; Li, J. An Improved YOLOv5s Fire Detection Model. Fire Technol. 2023, 1–32. [Google Scholar] [CrossRef]
- Kim, D.; Ruy, W. CNN-based fire detection method on autonomous ships using composite channels composed of RGB and IR data. Int. J. Nav. Arch. Ocean Eng. 2022, 14, 100489. [Google Scholar] [CrossRef]
- Zhu, J.; Zhang, J.; Wang, Y.; Ge, Y.; Zhang, Z.; Zhang, S. Fire Detection in Ship Engine Rooms Based on Deep Learning. Sensors 2023, 23, 6552. [Google Scholar] [CrossRef]
- Tang, Y.; Han, K.; Guo, J.; Xu, C.; Xu, C.; Wang, Y. GhostNetv2: Enhance cheap operation with long-range attention. Adv. Neural Inf. Process. Syst. 2022, 35, 9969–9982. [Google Scholar]
- Liu, Z.; Lin, Y.; Cao, Y.; Hu, H.; Wei, Y.; Zhang, Z.; Lin, S.; Guo, B. Swin transformer: Hierarchical vision transformer using shifted windows. In Proceedings of the IEEE/CVF International Conference on Computer Vision, Montreal, BC, Canada, 11–17 October 2021. [Google Scholar]
- Huang, G.; Liu, Z.; Van Der Maaten, L.; Weinberger, K.Q. Densely connected convolutional networks. In Proceedings of the IEEE Conference on Computer Vision and Pattern Recognition, Honolulu, HI, USA, 21–26 July 2017. [Google Scholar]
- ultralytics, YOLOv5. Available online: https://github.com/ultralytics/yolov5 (accessed on 11 November 2023).
- Wang, C.-Y.; Bochkovskiy, A.; Liao, H.-Y.M. YOLOv7: Trainable bag-of-freebies sets new state-of-the-art for real-time object detectors. In Proceedings of the IEEE/CVF Conference on Computer Vision and Pattern Recognition, Vancouver, BC, Canada, 18–22 June 2023. [Google Scholar]
- ultralytics, YOLOv8. Available online: https://github.com/ultralytics/ultralytics (accessed on 11 November 2023).















| Name | Based Algorithm | Datasets | Advantages | Disadvantages | FPS |
|---|---|---|---|---|---|
| Park et al. [19] | YOLOv2-tiny | 5259 images | High accuracy | Only detects fire; smoke is ignored; it focuses on the fire in the engine room. | 117 |
| Wu et al. [21] | YOLOv4-tiny | 2160 images | Use land dataset to train the model and transfer the weights | Small datasets for ship fire; data augmentation is used to enlarge datasets. | 138 |
| Avazov et al. [22] | YOLOv7 | 4622 images | Both fire inside and outside vessels are used | Data augmentation is used to enlarge datasets; some data are video frames and may possess high similarity. | 175 |
| Zhu et al. [45] | YOLOv7-tiny | 12,986 images | Large datasets | The fire is simulated; the algorithm ignores the fire in other rooms and the deck. | 189 |
| Ours | YOLOv8n | 4227 images | Both fire and smoke are detected. All images are checked for similarity. Fast detection speed. | Inside and outside fire images for ships show quantity variance | 286 |
| Dataset | Training Images | Testing Images | Validation Images | Total |
|---|---|---|---|---|
| Fire in ship room | 2556 | 730 | 365 | 3651 |
| Fire on board | 403 | 115 | 58 | 576 |
| Training Parameters | Details |
|---|---|
| Epochs | 300 |
| batch-size | 16 |
| image-size (pixels) | 640 × 640 |
| Initial learning rate | 0.01 |
| Optimization algorithm | SGD |
| Pre-training weights | None |
| Models | Precision | Recall | F1 | mAP@50 | Parameters (m) | FLOPS (G) | FPS |
|---|---|---|---|---|---|---|---|
| ResNet50 | 0.524 | 0.531 | 0.53 | 0.494 | 42.25 | 430.9 | 30 |
| MbileNet_V1 | 0.675 | 0.542 | 0.60 | 0.581 | 5.53 | 13.2 | 72 |
| Inception_V2 | 0.689 | 0.701 | 0.69 | 0.644 | 13.32 | 7.6 | 53 |
| swin transformer | 0.741 | 0.681 | 0.71 | 0.623 | 28 | 47.1 | 45 |
| densenet | 0.671 | 0.612 | 0.64 | 0.563 | 66.76 | 32.7 | 35 |
| YOLOv3-Tiny | 0.797 | 0.821 | 0.81 | 0.745 | 8.7 | 12.9 | 140 |
| YOLOv5s | 0.901 | 0.855 | 0.88 | 0.814 | 7.02 | 16 | 114 |
| YOLOv7-tiny | 0.857 | 0.7921 | 0.82 | 0.758 | 6.02 | 13.2 | 143 |
| YOLOv8n | 0.897 | 0.907 | 0.90 | 0.856 | 3.01 | 8.2 | 192 |
| Models | Precision | Recall | F1 | mAP@0.5 | Parameters (m) | FLOPS (G) | FPS |
|---|---|---|---|---|---|---|---|
| YOLOv8n | 0.897 | 0.907 | 0.902 | 0.856 | 3.01 | 8.2 | 192 |
| YOLOv8n + ODConv | 0.913 | 0.912 | 0.912 | 0.867 | 3 | 8.1 | 213 |
| YOLOv8n + GhostNetV2 | 0.908 | 0.916 | 0.912 | 0.859 | 2.72 | 7.85 | 222 |
| YOLOv8n + SCConv | 0.915 | 0.914 | 0.914 | 0.876 | 3 | 8.1 | 217 |
| YOLOv8n + GhostNetV2 + ODConv | 0.926 | 0.929 | 0.927 | 0.862 | 2.71 | 7.75 | 263 |
| YOLOv8n + GhostNetV2 + SCConv | 0.924 | 0.932 | 0.928 | 0.887 | 2.71 | 7.75 | 278 |
| YOLOv8n + ODCONV + SCConv | 0.928 | 0.933 | 0.930 | 0.841 | 2.99 | 8 | 270 |
| YOLOv8n + GhostNetV2 + ODConc + SCConv (Ship-Fire Net) | 0.931 | 0.938 | 0.934 | 0.897 | 2.69 | 7.65 | 286 |
| Name | Based Algorithm | FPS | Precision | Recall | F1 | mAP@0.5 |
|---|---|---|---|---|---|---|
| Park et al. [19] | Tiny-YOLOv2 | 117 | 0.813 | 0.799 | 0.806 | 0.789 |
| Wu et al. [21] | YOLOv4-tiny | 138 | 0.863 | 0.836 | 0.849 | 0.804 |
| Avazov et al. [22] | YOLOv7 | 175 | 0.868 | 0.852 | 0.860 | 0.813 |
| Zhu et al. [45] | YOLOv7-tiny | 189 | 0.872 | 0.869 | 0.870 | 0.845 |
| Ship-Fire Net | YOLOv8n | 286 | 0.931 | 0.938 | 0.934 | 0.897 (fire at 0.911 while smoke at 0.884) |
Disclaimer/Publisher’s Note: The statements, opinions and data contained in all publications are solely those of the individual author(s) and contributor(s) and not of MDPI and/or the editor(s). MDPI and/or the editor(s) disclaim responsibility for any injury to people or property resulting from any ideas, methods, instructions or products referred to in the content. |
© 2024 by the authors. Licensee MDPI, Basel, Switzerland. This article is an open access article distributed under the terms and conditions of the Creative Commons Attribution (CC BY) license (https://creativecommons.org/licenses/by/4.0/).
Share and Cite
Zhang, Z.; Tan, L.; Tiong, R.L.K. Ship-Fire Net: An Improved YOLOv8 Algorithm for Ship Fire Detection. Sensors 2024, 24, 727. https://doi.org/10.3390/s24030727
Zhang Z, Tan L, Tiong RLK. Ship-Fire Net: An Improved YOLOv8 Algorithm for Ship Fire Detection. Sensors. 2024; 24(3):727. https://doi.org/10.3390/s24030727
Chicago/Turabian StyleZhang, Ziyang, Lingye Tan, and Robert Lee Kong Tiong. 2024. "Ship-Fire Net: An Improved YOLOv8 Algorithm for Ship Fire Detection" Sensors 24, no. 3: 727. https://doi.org/10.3390/s24030727
APA StyleZhang, Z., Tan, L., & Tiong, R. L. K. (2024). Ship-Fire Net: An Improved YOLOv8 Algorithm for Ship Fire Detection. Sensors, 24(3), 727. https://doi.org/10.3390/s24030727
