Capacitance-Based Untethered Fatigue Driving Recognition Under Various Light Conditions
Abstract
1. Introduction
- This paper designs a reading circuit for parasitic capacitance that can implement the reading of parasitic capacitance with the person’s eyes open and closed, and measure the blink time.
- This paper proposes a capacitance-based fatigue driving recognition approach that is non-contact, light-insensitive, and applicable in complex environments. This method classifies individuals’ fatigue scale and constructs a neural network to assess individuals’ fatigue levels.
- This paper performs accuracy analysis across various subject statuses and various light conditions to demonstrate that the proposed method is not affected by complex environments, further validating the robustness of the method.
2. Details of the Fatigue Driving Detection Algorithms
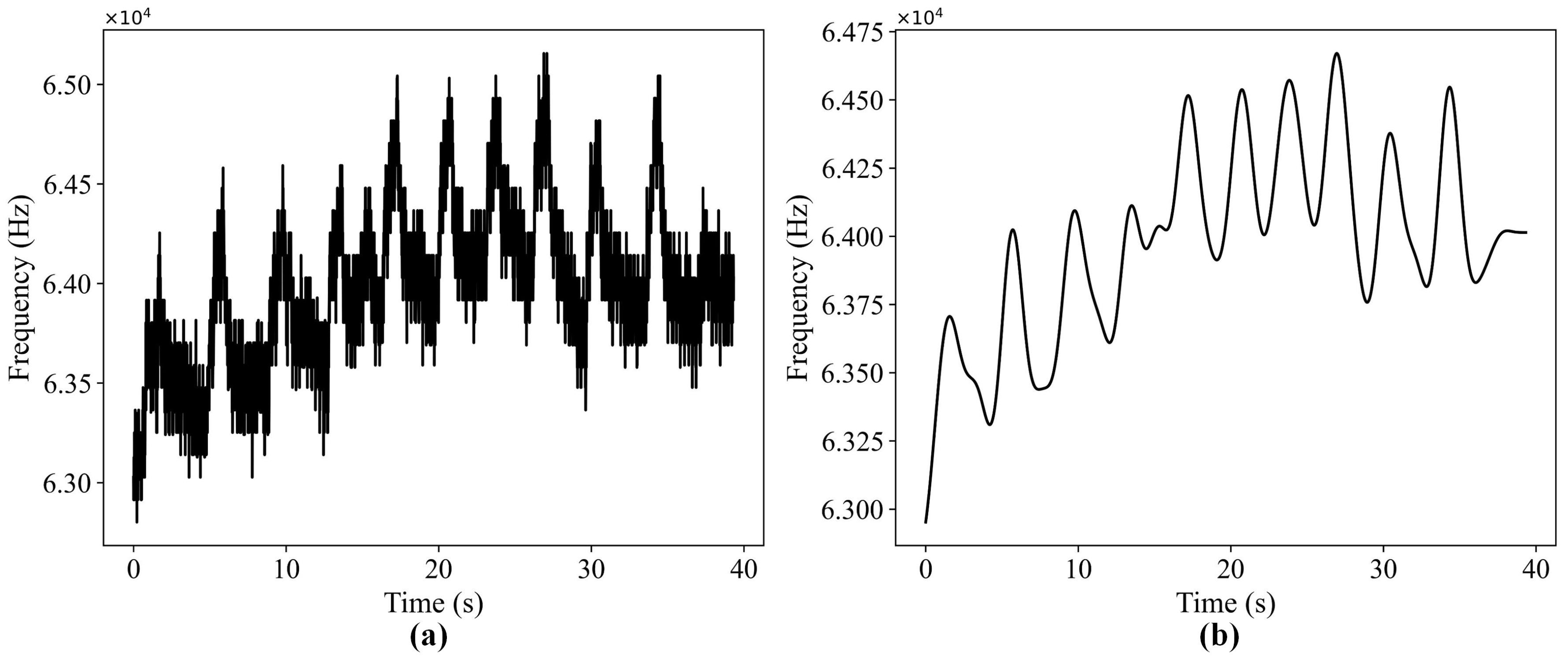
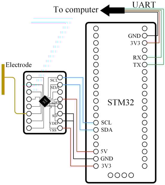
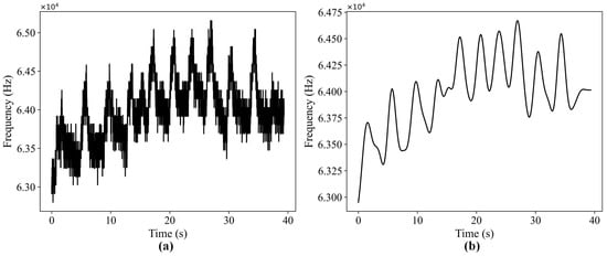
3. Signal Acquisition and Analysis
4. Data Pre-Processing
4.1. Gaussian Weight Interpolation
4.2. Band-Pass Filtering
5. Blink Detection Algorithm
| Algorithm 1: Blink detection |
![]() |
6. Fatigue Recognition Algorithm
6.1. Fatigue Self-Assessment Scale
6.2. Fatigue Level Computing Neural Networks
7. Experimental Results and Analysis
- Sitting: the subjects sit still at a table;
- Walking: the subjects walk smoothly;
- Reading: the subjects sit still at a table reading a book;
- Talking: the subjects sit still at a desk and speak to the computer;
- Driving: the subjects drive on safe roads at speeds below 60 km/h.
7.1. Analysis of Blink Detection Accuracy Under Various Electrode Lengths
7.2. Analysis of Measurement Accuracy Under Various Subject Statuses
7.3. Analysis of Fatigue Driving Recognition Accuracy Under Various Light Conditions
8. Conclusions and Future Work
8.1. Conclusions
8.2. Future Work
Author Contributions
Funding
Institutional Review Board Statement
Informed Consent Statement
Data Availability Statement
Conflicts of Interest
References
- Al-Mekhlafi, A.B.A.; Isha, A.S.N.; Naji, G.M.A. The Relationship between Fatigue and Driving Performance: A Review and Directions for Future Research. J. Crit. Rev. 2020, 7, 134–141. [Google Scholar]
- Li, G.; Chung, W.Y. Electroencephalogram-Based Approaches for Driver Drowsiness Detection and Management: A Review. Sensors 2022, 22, 1100. [Google Scholar] [CrossRef]
- Zhang, Z.; Ning, H.; Zhou, F. A Systematic Survey of Driving Fatigue Monitoring. IEEE Trans. Intell. Transp. Syst. 2022, 23, 19999–20020. [Google Scholar] [CrossRef]
- Agarwal, M.; Sivakumar, R. Blink: A Fully Automated Unsupervised Algorithm for Eye-Blink Detection in Eeg Signals. In Proceedings of the 2019 57th Annual Allerton Conference on Communication, Control, and Computing (Allerton), Monticello, IL, USA, 24–27 September 2019; IEEE: Piscataway, NJ, USA, 2019; pp. 1113–1121. [Google Scholar]
- Cao, J.; Chen, L.; Hu, D.; Dong, F.; Jiang, T.; Gao, W.; Gao, F. Unsupervised Eye Blink Artifact Detection from EEG with Gaussian Mixture Model. IEEE Biomed. Health Inform. 2021, 25, 2895–2905. [Google Scholar] [CrossRef] [PubMed]
- Sheykhivand, S.; Rezaii, T.Y.; Meshgini, S.; Makoui, S.; Farzamnia, A. Developing a Deep Neural Network for Driver Fatigue Detection Using EEG Signals Based on Compressed Sensing. Sustainability 2022, 14, 2941. [Google Scholar] [CrossRef]
- Halomoan, J.; Ramli, K.; Sudiana, D.; Gunawan, T.S.; Salman, M. ECG-Based Driving Fatigue Detection Using Heart Rate Variability Analysis with Mutual Information. Information 2023, 14, 539. [Google Scholar] [CrossRef]
- Pan, T.; Wang, H.; Si, H.; Li, Y.; Shang, L. Identification of Pilots’ Fatigue Status Based on Electrocardiogram Signals. Sensors 2021, 21, 3003. [Google Scholar] [CrossRef]
- Awais, M.; Badruddin, N.; Drieberg, M. A Hybrid Approach to Detect Driver Drowsiness Utilizing Physiological Signals to Improve System Performance and Wearability. Sensors 2017, 17, 1991. [Google Scholar] [CrossRef] [PubMed]
- Hu, J.; Jiang, H.; Liu, D.; Xiao, Z.; Zhang, Q.; Min, G.; Liu, J. Real-Time Contactless Eye Blink Detection Using UWB Radar. IEEE Trans. Mob. Comput. 2024, 23, 6606–6619. [Google Scholar] [CrossRef]
- Hu, J.; Jiang, H.; Liu, D.; Xiao, Z.; Dustdar, S.; Liu, J.; Min, G. BlinkRadar: Non-Intrusive Driver Eye-Blink Detection with UWB Radar. In Proceedings of the 2022 IEEE 42nd International Conference on Distributed Computing Systems (ICDCS 2022), Bologna, Italy, 10–13 July 2022; pp. 1040–1050. [Google Scholar]
- Maleki, A.; Uchida, M. Non-Contact Measurement of Eyeblink by Using Doppler Sensor. Artif. Life Robot. 2018, 23, 279–285. [Google Scholar] [CrossRef]
- Cardillo, E.; Sapienza, G.; Li, C.; Caddemi, A. Head Motion and Eyes Blinking Detection: A Mm-Wave Radar for Assisting People with Neurodegenerative Disorders. In Proceedings of the 2020 50th European Microwave Conference (EUMC), Utrecht, The Netherlands, 12–14 January 2021. [Google Scholar]
- Cardillo, E.; Ferro, L.; Sapienza, G.; Li, C. Reliable Eye-Blinking Detection With Millimeter-Wave Radar Glasses. IEEE Trans. Microw. Theory Tech. 2024, 72, 771–779. [Google Scholar] [CrossRef]
- Dong, Z.; Zhang, M.; Sun, J.; Cao, T.; Liu, R.; Wang, Q.; Ma, D. A Fatigue Driving Detection Method Based on Frequency Modulated Continuous Wave Radar. In Proceedings of the 2021 IEEE International Conference on Consumer Electronics and Computer Engineering (ICCECE), Guangzhou, China, 15–17 January 2021; pp. 670–675. [Google Scholar]
- Fan, Y.; Gu, F.; Wang, J.; Wang, J.; Lu, K.; Niu, J. SafeDriving: An Effective Abnormal Driving Behavior Detection System Based on EMG Signals. IEEE Internet Things J. 2021, 9, 12338–12350. [Google Scholar] [CrossRef]
- Li, X.; Zhang, H.; Wu, C.; Zhang, Q.; Sun, Y. Driver Fatigue Detection Model Based on BPW Feature Fusion. China J. Highw. Transp. 2020, 33, 168–181. [Google Scholar]
- Shahbakhti, M.; Beiramvand, M.; Nasiri, E.; Far, S.M.; Chen, W.; Sole-Casals, J.; Wierzchon, M.; Broniec-Wojcik, A.; Augustyniak, P.; Marozas, V. Fusion of EEG and Eye Blink Analysis for Detection of Driver Fatigue. IEEE Trans. Neural Syst. Rehabil. Eng. 2023, 31, 2037–2046. [Google Scholar] [CrossRef] [PubMed]
- Kuwahara, A.; Nishikawa, K.; Hirakawa, R.; Kawano, H.; Nakatoh, Y. Eye Fatigue Estimation Using Blink Detection Based on Eye Aspect Ratio Mapping (EARM). Cogn. Robot. 2022, 2, 50–59. [Google Scholar] [CrossRef]
- Wang, K. Research on Fatigue Driving Detection Technology Based on EOG Signals. Master’s Thesis, Northeast Electric Power University, Jilin, China, 2023. [Google Scholar]
- Safarov, F.; Akhmedov, F.; Abdusalomov, A.B.; Nasimov, R.; Cho, Y.I. Real-Time Deep Learning-Based Drowsiness Detection: Leveraging Computer-Vision and Eye-Blink Analyses for Enhanced Road Safety. Sensors 2023, 23, 6459. [Google Scholar] [CrossRef] [PubMed]
- Quiles-Cucarella, E.; Cano-Bernet, J.; Santos-Fernández, L.; Roldán-Blay, C.; Roldán-Porta, C. Multi-Index Driver Drowsiness Detection Method Based on Driver’s Facial Recognition Using Haar Features and Histograms of Oriented Gradients. Sensors 2024, 24, 5683. [Google Scholar] [CrossRef] [PubMed]
- Knapik, M.; Cyganek, B. Driver’s Fatigue Recognition Based on Yawn Detection in Thermal Images. Neurocomputing 2019, 338, 274–292. [Google Scholar] [CrossRef]
- Kiashari, S.E.H.; Nahvi, A.; Bakhoda, H.; Homayounfard, A.; Tashakori, M. Evaluation of Driver Drowsiness Using Respiration Analysis by Thermal Imaging on a Driving Simulator. Multimed. Tools Appl. 2020, 79, 17793–17815. [Google Scholar] [CrossRef]
- de Lima Medeiros, P.A.; Souza da Silva, G.V.; dos Santos Fernandes, F.R.; Sanchez-Gendriz, I.; Castro Lins, H.W.; da Silva Barros, D.M.; Pinto Nagem, D.A.; de Medeiros Valentim, R.A. Efficient Machine Learning Approach for Volunteer Eye-Blink Detection in Real-Time Using Webcam. Expert Syst. Appl. 2022, 188, 116073. [Google Scholar] [CrossRef]
- Jordan, A.A.; Pegatoquet, A.; Castagnetti, A.; Raybaut, J.; Le Coz, P. Deep Learning for Eye Blink Detection Implemented at the Edge. IEEE Embed. Syst. Lett. 2021, 13, 130–133. [Google Scholar] [CrossRef]
- Ryan, C.; O’Sullivan, B.; Elrasad, A.; Cahill, A.; Lemley, J.; Kielty, P.; Posch, C.; Perot, E. Real-Time Face & Eye Tracking and Blink Detection Using Event Cameras. Neural Netw. 2021, 141, 87–97. [Google Scholar] [PubMed]
- Matthies, D.J.C.; Woodall, A.; Urban, B. Prototyping Smart Eyewear with Capacitive Sensing for Facial and Head Gesture Detection. In Proceedings of the 2021 ACM International Joint Conference on Pervasive and Ubiquitous Computing and Proceedings of the 2021 ACM International Symposium on Wearable Computers, New York, NY, USA, 24 September 2021; pp. 476–480. [Google Scholar]
- Matthies, D.J.; Weerasinghe, C.; Urban, B.; Nanayakkara, S. CapGlasses: Untethered Capacitive Sensing with Smart Glasses. In Proceedings of the Augmented Humans Conference 2021, Rovaniemi, Finland, 11 July 2021; pp. 121–130. [Google Scholar]
- Liu, M.; Bian, S.; Lukowicz, P. Non-Contact, Real-Time Eye Blink Detection with Capacitive Sensing. In Proceedings of the 2022 ACM International Symposium on Wearable Computers, Cambridge, UK, 11–15 September 2022; pp. 49–53. [Google Scholar]
- Lu, Y. Real-Time Eye Blink Detection Using General Cameras: A Facial Landmarks Approach. Int. Sci. J. Eng. Agric. 2023, 2, 1–8. [Google Scholar]
- Xu, Y.; Jian, Q.; Zhu, K.; Wang, M.; Hou, W.; Gong, Z.; Xu, M.; Cui, K. Identifying Fatigue of Climbing Workers Using Physiological Data Based on the XGBoost Algorithm. Front. Public Health 2024, 12, 1462675. [Google Scholar] [CrossRef]
- Zhang, Z. Study on the Influence of Driving Fatigue on Drivers’ Effective Reaction Time. In Proceedings of the 2022 10th International Conference on Traffic and Logistic Engineering (ICTLE), Virtual, 12–14 August 2022; pp. 89–94. [Google Scholar]













| Fatigue Statement | Never | Sometimes | Regularly | Often | Always |
|---|---|---|---|---|---|
| 1. I am bothered by fatigue | 1 | 2 | 3 | 4 | 5 |
| 2. I get tired very quickly | 1 | 2 | 3 | 4 | 5 |
| 3. I don’t do much during the day | 1 | 2 | 3 | 4 | 5 |
| 4. I have enough energy for everyday life | 1 | 2 | 3 | 4 | 5 |
| 5. Physically, I feel exhausted | 1 | 2 | 3 | 4 | 5 |
| 6. I have problems starting things | 1 | 2 | 3 | 4 | 5 |
| 7. I have problems thinking clearly | 1 | 2 | 3 | 4 | 5 |
| 8. I feel no desire to do anything | 1 | 2 | 3 | 4 | 5 |
| 9. Mentally, I feel exhausted | 1 | 2 | 3 | 4 | 5 |
| 10. When I am doing something, I can concentrate quite well | 1 | 2 | 3 | 4 | 5 |
Disclaimer/Publisher’s Note: The statements, opinions and data contained in all publications are solely those of the individual author(s) and contributor(s) and not of MDPI and/or the editor(s). MDPI and/or the editor(s) disclaim responsibility for any injury to people or property resulting from any ideas, methods, instructions or products referred to in the content. |
© 2024 by the authors. Licensee MDPI, Basel, Switzerland. This article is an open access article distributed under the terms and conditions of the Creative Commons Attribution (CC BY) license (https://creativecommons.org/licenses/by/4.0/).
Share and Cite
Zeng, C.; Wang, H. Capacitance-Based Untethered Fatigue Driving Recognition Under Various Light Conditions. Sensors 2024, 24, 7633. https://doi.org/10.3390/s24237633
Zeng C, Wang H. Capacitance-Based Untethered Fatigue Driving Recognition Under Various Light Conditions. Sensors. 2024; 24(23):7633. https://doi.org/10.3390/s24237633
Chicago/Turabian StyleZeng, Cheng, and Haipeng Wang. 2024. "Capacitance-Based Untethered Fatigue Driving Recognition Under Various Light Conditions" Sensors 24, no. 23: 7633. https://doi.org/10.3390/s24237633
APA StyleZeng, C., & Wang, H. (2024). Capacitance-Based Untethered Fatigue Driving Recognition Under Various Light Conditions. Sensors, 24(23), 7633. https://doi.org/10.3390/s24237633


