Abstract
Water color is an essential indicator of water quality assessment, and thus water color remote sensing has become a common method in large-scale water quality monitoring. The satellite-derived Forel–Ule index (FUI) can actually reflect the comprehensive water color characterization on a large scale; however, the spatial distribution and temporal trends in water color and their drivers remain prevalently elusive. Using the Google Earth Engine platform, this study conducts the Landsat-derived FUI to track the complicated water color dynamics in a large reservoir, i.e., the Three Gorges Reservoir (TGR), in China over the past decade. The results show that the distinct patterns of latitudinal FUI distribution are found in the four typical TGR tributaries on the yearly and monthly scales, and the causal relationship between heterogeneous FUI trends and natural/anthropogenic drivers on different temporal scales is highlighted. In addition, the coexistence of phytoplankton bloom and summer flood in the TGR tributaries has been revealed through the hybrid representation of greenish and yellowish schemes. This study is an important step forward in understanding the water quality change in a river–reservoir ecosystem affected by complex coupling drivers on a large spatiotemporal scale.
1. Introduction
Water quality deterioration has emerged as one of the most serious environmental problems in inland waters worldwide, posing severe threat to both public health and aquatic ecosystems [1,2,3]. Considering the complex impact of the natural and anthropogenic interaction processes in a watershed, water color can serve as a reliable indicator that intuitively reflects water quality deterioration [4,5,6]. Typically, the water color range is wide due to the apparent integration of chlorophyll, chromophoric dissolved organic matter, and suspended particulate matter, which are closely related to primary productivity, ecological health, and water contamination, respectively [7,8,9]. Specifically, higher chlorophyll concentration causes greener water, increased chromophoric dissolved organic matter leads to browning or blacking water, and more suspended particulate matter results in browner or yellower water [10,11,12]. Accordingly, water color can be preliminarily determined through the three optically active substances mentioned above [13,14,15]. However, as a result of the coupled complexity of three optically active substances and other factors (such as water depth), the unexplained and uncontrollable dynamics in water color can generally be difficult to quantify.
Conventional water color measurement relies on in situ chromaticity analysis, which cannot achieve the large-scale and high-frequency data acquisition [16,17,18]. Based on the early observation equipment (e.g., Forel–Ule colorimeter), the Forel–Ule coordinate which divides water color into 21 levels is constructed to achieve the conversion between remote sensing reflectance (Rrs) spectrum and the Commission Internationale deléclairage (CIE) chromaticity system [19]. In recent years, the Forel–Ule index (FUI) with an interpolation/RGB model has been proposed using a Landsat 8 operational land imager (OLI) and Terra/Aqua moderate resolution imaging spectroradiometer, continuously proving that satellite multispectral imagery has provided a new alternative measurement for water color [20,21,22]. Meanwhile, FUI is widely utilized in satellite observation of water transparency, nutritional status, and phytoplankton bloom, demonstrating its broad application prospects in large lakes and vast oceans [23,24,25]. However, the distribution, trends, and drivers of the FUI shift in the complex scenarios remain prevalently elusive.
Due to the intermittent occurrence of phytoplankton bloom and summer flood in the Three Gorges Reservoir (TGR) in China, water color dynamics exhibits significant spatiotemporal heterogeneity, especially in the TGR tributaries with unique natural and anthropogenic interaction processes, such as abundant precipitation, strong sunshine, and dammed rivers [26,27,28]. Therefore, the TGR tributaries with the characteristics of a mixed river–reservoir system can serve as excellent field experimental sites to reveal the general laws of FUI shift [29].
By combining satellite and in situ observations, this study attempts to (1) characterize the spatial distribution and temporal trend of FUIs in the TGR tributaries using Landsat 8 OLI imagery batch processed on the Google Earth Engine (GEE) platform and (2) elucidate the natural and anthropogenic interaction processes that drive the identified FUI shift, particularly focusing on the quantitative analysis of temporal trends in the FUI, in order to confirm whether natural or anthropogenic drivers dominate the FUI trends in the TGR tributaries, alleviating the water quality deterioration.
2. Materials and Methods
2.1. Study Area
Since October 2010, the TGR has implemented a water level regulation strategy of storage (up to 175 m) in winter and discharge (down to 145 m) in summer [30], forming 38 primary tributaries with the drainage area exceeding 100 km2 and the tributary backwaters accompanied by different hydrodynamic conditions, e.g., deep–shallow lake, mainstream bay, lake–river transition, and river types in the Xiaojiang, Caotang, Daning, and Xiangxi Rivers, respectively (Figure 1) [31]. Differentiated hydrodynamic types may have led to strong heterogenous water color across different sections and seasons in the four typical TGR tributaries [32,33,34]. Moreover, the TGR, located in southwestern China, belongs to a subtropical monsoon climate with distinct four seasons, abundant cloud/mist, and low wind speed [35]. Under the influence of global warming, the TGR climatic characteristics shaped by year-round precipitation, abundant sunshine, and summer heatwave have become pronounced [36,37,38]. These have created a complex interaction between natural and anthropogenic processes in the four TGR tributaries.
Figure 1.
Locations of the four typical TGR tributaries, i.e., the (a) Xiaojiang, (b) Caotang, (c) Daning, and (d) Xiangxi Rivers.
2.2. Data Collection
The data utilized in this study consist of satellite and in situ observations. Landsat 8 OLI imagery, with nine high signal-to-noise ratio spectral wavebands and revisit cycle of 16 d [39], is selected as the satellite data to extract FUIs in the four TGR tributaries during the years of 2013–2023 (Figure 2). The surface reflectance (SR) derived from Landsat 8 OLI imagery has been extensively applied in the water color remote sensing [40]. The GEE platform provides free access to these data products, which have undergone radiometric correction and cloud masking using the Landsat SR code and c function of mask algorithm, respectively [41,42,43]. Additionally, the normalized difference vegetation index (NDVI) which reflects the intensity of natural processes (such as, mud–rock flow, summer heatwave, and lingering drought) and human activities (e.g., returning farmland to forest, urban expansion, and water level fluctuation) is derived from the daily products provided by the National Oceanic and Atmospheric Administration of the United States [44,45].
Figure 2.
Sampling frequency of Landsat 8 OLI imagery covering the (a) Xiaojiang, (b) Caotang, (c) Daning, and (d) Xiangxi Rivers. The numbers 1 and 2 on the light and dark blue backgrounds respectively represent the number of satellite imagery available in the corresponding month. Blank indicates missing data.
The in situ data encompass natural (including precipitation, sunshine duration, and air temperature) and anthropogenic (i.e., water level) drivers. Precipitation, sunshine duration, and air temperature are obtained from the National Meteorological Science Data Center. Water levels in the Xiaojiang, Caotang, Daning, and Xiangxi Rivers, controlled by the storage and discharge of the TGR, are sourced from the hydrological stations operated by the Hydrological Bureau of the Yangtze River Commission.
2.3. FUI Retrieval Method
The Landsat 8 OLI multispectral sensor utilized in this study captures only a portion of the electromagnetic radiation within a discrete spectral range; thus, the missing spectra must be reconstructed through linear interpolation. Consequently, the conversion equations for the triple stimulus values in the CIE-XYZ chromaticity system, which can substitute the three primary colors, are derived from the linearly weighted interpolation of a visible waveband of Landsat 8 OLI imagery, which is hereafter referred to as the interpolation model (Equation (1)) [46].
To characterize the 21 levels of FUI ranges in the visible waveband, the CIE formulates a two-dimensional chromaticity system, i.e., CIE-xy, where the horizontal and vertical coordinates are derived from the normalization of triple stimulus values [47]. The corresponding hue angle α is defined by rotating counterclockwise from the y-axis (Figure 3) and then estimated using Equation (2).
Figure 3.
The 21 levels of FUIs and their hue angles αt in CIE-xy chromaticity system.
The bias between multispectral and hyperspectral images in estimating the hue angle is addressed using the one-dimensional fifth-order equation (Equation (3)), which facilitates the FUI extraction in the TGR [48].
where b represents 1% of hue angle. The corrected hue angle is αt = α + Δα. Subsequently, the FUI can be categorized through the lookup table, according to Figure 3 [49].
2.4. Statistical Analysis for Driving Mechanism of FUI Trend
To evaluate the causal correlation between natural/anthropogenic drivers and te FUI, the Pearson correlation coefficient r and significance level p value are employed [21]. When setting the r and p thresholds, it is necessary to refer to similar TGR studies in order to select a moderate threshold, according to the multi-factor coupling of the FUI driving mechanism [22,23]. In this study, |r| ≥ 0.6 and |r| < 0.6 indicate that the responses of the FUI trend to precipitation, sunshine duration, air temperature, NDVI, and water level changes are significant and limited, respectively. The change rate of the FUI trend is quantified by the slope of the fitting line. The statistical significance of these relationships is determined by the p-level < 0.05. Furthermore, to quantify the relative contribution of natural and anthropogenic drivers to the FUI trend, a multiple general linear model is constructed [50]. In consideration of the huge gap between a complex real-world and simple theoretical scene, a single driver cannot play a particularly significant role in environmental change, and thus the relative contribution threshold should be lowered to evaluate the driver’s importance [33]. Therefore, if the relative contribution of a single driver is greater than 35%, then it is concluded to strongly regulate the FUI trend; if 10% ≤ contribution < 35% and both |r| ≥ 0.6 and p < 0.05 are satisfied, then this driver is also considered the dominant factor.
In order to achieve a clear attribution analysis for the spatial distribution and temporal trend of FUI, it can be classified into different color schemes to represent water color dynamics. According to the commonly used methods for large-scale water color remote sensing [51,52,53], a four-color scheme classification method, featuring blueish (1 ≤ FUI < 6), cyanish (6 ≤ FUI < 9), greenish (9 ≤ FUI < 13), and yellowish (FUI ≥ 13) schemes (Table 1), is relatively suitable for characterizing water color in the TGR tributaries and thus has been utilized.
Table 1.
FUI range and corresponding water quality characterization.
3. Results
3.1. Spatial Distribution and Temporal Trend of FUI
Through the framework shown in Figure 4, latitudinal FUI distribution in the TGR tributaries can be extracted from the Landsat 8 OLI SR data batch processed on the GEE platform. Specifically, moderate latitudinal blocking, installed on the Xiaojiang, Daning, and Xiangxi Rivers with 30 pixels and Caotang River with 5 pixels, is applied for computational efficiency and result validity. Thus, the time series of latitudinal FUI distribution in the four typical TGR tributaries have been constructed by mean computation and chromaticity mapping (Figure 5).
Figure 4.
Framework of latitudinal FUI distributions in the (a) Xiaojiang, (b) Caotang (c) Daning, and (d) Xiangxi Rivers.
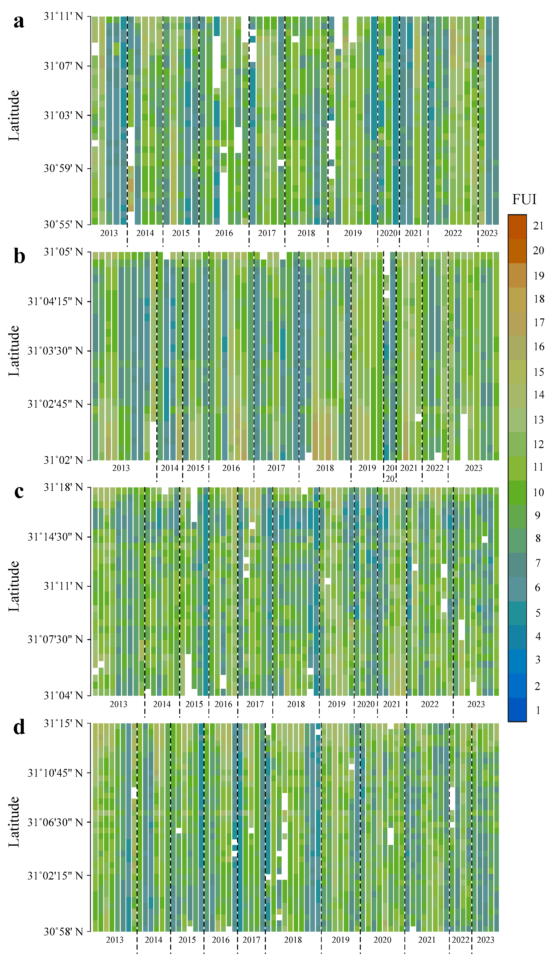
Figure 5.
Time series of latitudinal FUI distributions in the (a) Xiaojiang, (b) Caotang, (c) Daning, and (d) Xiangxi Rivers. Blank indicates missing data due to cloud removal processing.
Spatially, the FUIs in the four TGR tributaries exhibit significant instability, particularly along different latitudes, usually appearing at a low FUI upstream and high FUI downstream (Figure 5). Specifically, almost the whole inundation areas of the Xiaojiang and Xiangxi Rivers are in the greenish and cyanish schemes (moderate FUI), while the yellowish scheme mainly occurs near the estuary of the Caotang River (high FUI), and the blueish scheme (low FUI) primarily exists in the upstream of the Daning River. Overall, the time series of latitudinal FUI distributions in the Xiaojiang, Daning, and Xiangxi Rivers are relatively consistent, mostly belonging to the green and blue schemes (Figure 5a,c,d). In contrast, the Caotang River had a slightly higher FUI, with a greater proportion of yellow scheme, especially near the estuary (Figure 5b).
The yearly mean FUIs in the four TGR tributaries from 2013 to 2023 show high temporal heterogeneity (Figure 6). Specifically, the trend lines of yearly mean FUIs in the Xiaojiang, Daning, and Xiangxi Rivers point to 9–10, with the difference being that the change rates are 0.0015, 0.0466, and −0.0242, indicating that the three TGR tributaries are currently in the process of stabilizing, accelerating, and decelerating greening, respectively (Figure 6a,c,d); as a comparison, a trend line of yearly mean FUI in the Caotang River converges to 11 with a change rate of 0.1392, suggesting that the color scheme in this tributary is dramatically changing from greenish to yellowish (Figure 6b). It is worth noting that in 2020, the Xiaojiang, Caotang, and Daning Rivers present extremely low FUI values, while the Xiangxi River appears to have an extremely high FUI value; this negative asymmetry proves that the interannual FUI shifts in the four TGR tributaries are inconsistent. Moreover, the imagery lack caused by cloud cover may potentially bias the yearly mean FUI. Through sensitivity analysis, the slope of the fitting line slightly increases, and the outlier outside the confidence interval indistinctively decreases after excluding limited imagery years. The results indicate that cloud cover does not have a significant impact on the overall change rate of the FUI trend.
Figure 6.
Latitudinal distribution of yearly mean FUIs in the (a) Xiaojiang, (b) Caotang, (c) Daning, and (d) Xiangxi Rivers. The blue line is connecting the yearly mean FUIs, and the red dashed line denotes the yearly FUI trend.
The monthly mean FUIs in the four typical TGR tributaries show a distinct seasonal pattern (Figure 7). From April to May, the FUIs increase is accompanied by an expansion in the greenish scheme and a decrease in the blueish scheme; the FUI peaks of 11.5–12.8 around June–July display an intermediate color between yellow and green; from August to October, the FUIs gradually decline and return to an alternating blueish–greenish state; from November to the following March, the FUI valleys of 6.9–9.8 occur with a blueish scheme dilation. Specifically, the Xiaojiang and Xiangxi Rivers show a single FUI peak in June; while the Caotang and Daning Rivers exhibit double FUI peaks in March and July/June, respectively. In addition, the Xiaojiang, Caotang and Daning Rivers display a double FUI valley feature, occurring in February/April and October/November, respectively; conversely, the Xiangxi River shows a single FUI valley in February. As shown in Figure 7a,b, the highest FUI peak and lowest FUI valley appear in the Caotang and Xiaojiang Rivers in July and February, respectively. Consequently, the seasonal FUI trends in the two tributaries upstream are more dramatic compared with the two tributaries downstream.
Figure 7.
Latitudinal distribution of monthly mean FUIs in the (a) Xiaojiang, (b) Caotang, (c) Daning, and (d) Xiangxi Rivers. The blue line is connecting the monthly mean FUIs, and the red dashed line denotes the monthly FUI trend.
3.2. Natural and Anthropogenic Drivers of FUI Trend
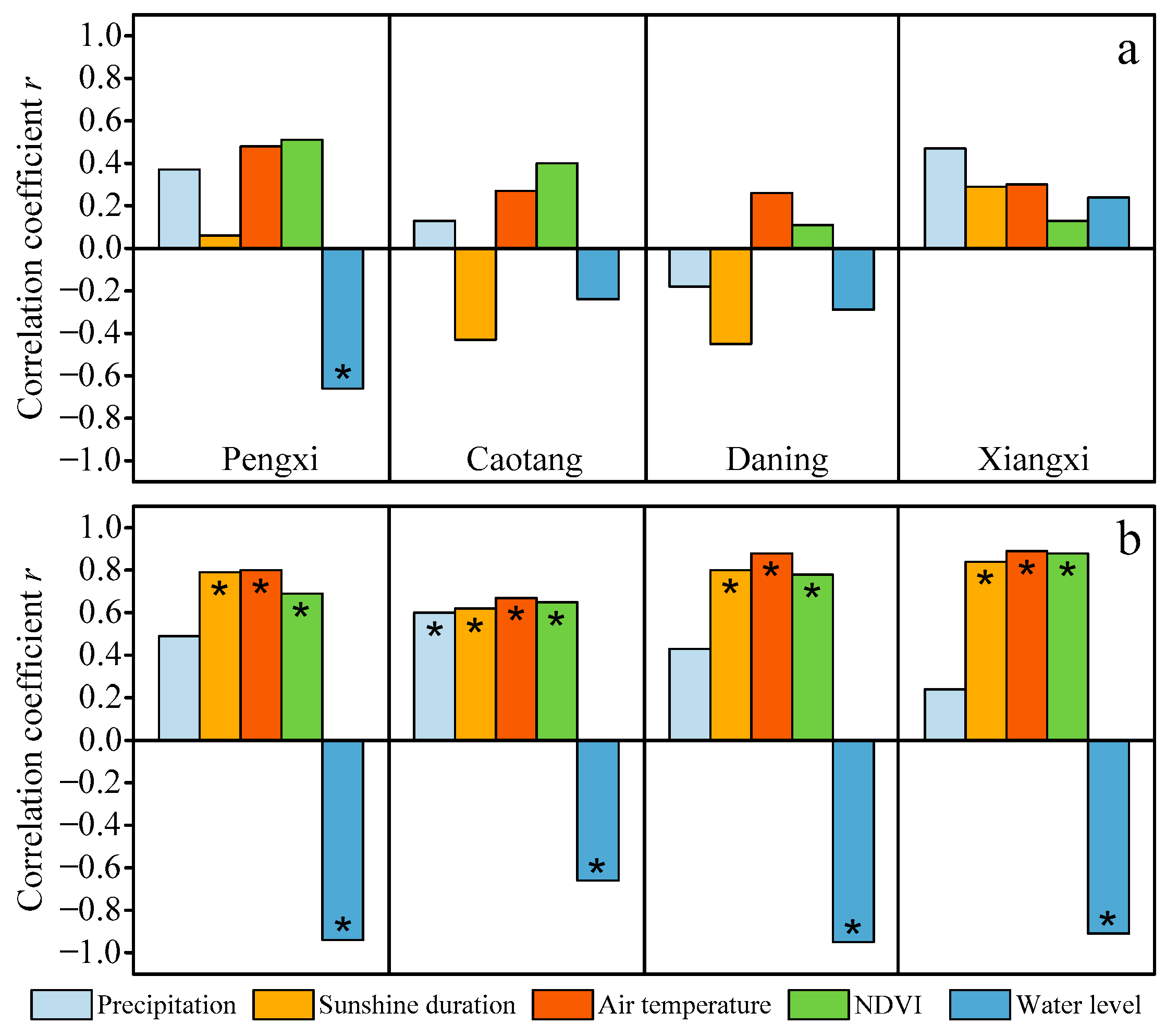
The causal correlation between yearly mean FUI values and natural/anthropogenic drivers is presented in Figure 8a. The results indicate that the FUI is only related to water level, with p = 0.026 and r = −0.66, in the Xiaojiang River. Moreover, increases in precipitation, air temperature, or NDVI could potentially transform the FUI into an accelerated greening or even yellowing color on the yearly scale, due to positive r for all scenes, apart from precipitation in the Daning River. Overall, the yearly FUI trends in the four typical TGR tributaries display statistically diverse correlations with the natural and anthropogenic drivers.
Figure 8.
Causal correlations between natural/anthropogenic drivers and FUIs on the (a) yearly and (b) monthly scales in the four TGR tributaries. Asterisks denote the p-level < 0.05.
Figure 8b exhibits the causal correlation between monthly mean FUIs and natural/anthropogenic drivers. Hence, advances in sunshine duration, air temperature, or NDVI could potentially transform the monthly FUI trends into an accelerated greening in the Xiaojiang, Daning, and Xiangxi Rivers or even yellowing in the Caotang River due to the strong positive relationship (r ≥ 0.6) and statistical significance (p < 0.05). It is worth noting that the water level appears to have the closest correlation with the FUI (p < 0.05 and |r| ≥ 0.6), indicating that the responses of monthly FUI trends in the four tributaries to the storage and discharge of the TGR are statistically significant.
Furthermore, a quantitative analysis of the relative contributions of natural and anthropogenic drivers to the synergistic effect on the temporal characteristics of FUI shift must be considered. Overall, the total contribution of precipitation, sunshine duration, air temperature, NDVI, and water level on the FUI trend ranges between 21.8% and 48.8% as well as between 68.8% and 97%, with a mean value of 36.2% and 88.8%, on the yearly and monthly scales, respectively (Figure 9), indicating the strong temporal heterogeneity in the driver contribution of FUI trend across the TGR.
Figure 9.
Contribution of natural and anthropogenic drivers to the FUI shifts on the (a) yearly and (b) monthly scales in the four typical TGR tributaries. Blank represents the residuals caused by drivers not considered in this study.
Due to the high residual, lacking statistical significance, and weak correlation, no driver is found to play a dominant role in the FUI shifts in the four typical TGR tributaries on the yearly scale (Figure 9a). This result may be attributable to other drivers not included in this study controlling the yearly FUI trend.
On the monthly scale, air temperature plays an important role (contribution = 39.2%, 28.4%, 58.2%, 17.5%, r = 0.8, 0.62, 0.88, 0.89, and p = 0.0018, 0.016, 0.00018, 0.00011) in regulating the FUIs in the four TGR tributaries (Figure 9b). In contrast, water level had a slightly weaker performance (contribution = 33.3%, 13.5%, 52.2%, r = −0.94, −0.95, −0.91, and p = 0.0000045, 0.0000014, 0.00004), significantly impacting the FUI shifts in the Xiaojiang, Daning, and Xiangxi tributaries. Similarly, NDVI (contribution = 16.9%, 22.4%, 22.4%, r = 0.69, 0.65, 0.78, and p = 0.013, 0.023, 0.0028) greatly dominates the monthly FUI trend except for the Xiangxi River. Thus, we conclude that these natural and anthropogenic drivers have altered almost all the seasonal dynamics of water colors in the four TGR tributaries studied herein.
4. Discussion
4.1. Advantages and Limitations of Landsat-Derived FUI
Both RGB and interpolation models derived from the CIE-xy chromaticity system are commonly used approaches to retrieve FUI [54]. The RGB model achieves an objective representation of human color perception by superimposing the three primary colors. Due to computational issues arising from the negative values of the RGB model, the alternative interpolation model is defined to substitute the primary colors with the hypothetical colors. By integrating the visible Rrs spectra and color-matching functions, it is possible to estimate the triple stimulus values that serve as three primary colors for the human eye [55].
The RGB model that performed well within the FUI range of 1–7 relies solely on the red, green, and blue wavebands, limiting its ability to capture the water optical properties [56]. However, for the full range FUI calculation, the mean absolute error, root mean square error, and bias between the RGB and interpolation models are 3.46, 3.5, and −3, which are based on the random 1308 FUI measured samples; accordingly, there is a systematic underestimation in estimating the FUI with the RGB model. In contrast, the interpolation model compensates for missing wavebands, such as near infrared and shortwave infrared wavebands, more accurately reflecting the spectral complexity of eutrophic inland waters, e.g., the TGR tributaries.
In addition, the results of comparative analysis with 82 pairs of simultaneous field photography and true color imagery (sampling interval is less than 7 d and weather conditions are consistent) indicate that the RGB model tends to underestimate the FUI in favor of the blueish scheme, especially in river sections with high levels of eutrophication and algal density (Figure 10). Therefore, in studies examining the FUI shift across the TGR, the interpolation model can offer a reliable and accurate representation of water color dynamics.
Figure 10.
Comparative examples of (a) field photograph, (b) Landsat-derived true color imagery, Landsat-derived FUIs based on (c) RGB and (d) interpolation models for the water colors in the Xiaojiang (upper) and Caotang (below) Rivers on 18 May 2023.
4.2. Coexistence of Phytoplankton Bloom and Summer Flood
As shown in Figure 5, Figure 6 and Figure 7, the results indicate that latitudinal FUI distribution is not equal in the four typical TGR tributaries during 2013–2023. Specifically, blueish, cyanish, greenish, and yellowish schemes account for 5.7%, 37%, 44.8%, and 12.5% of the total inundation area, respectively. It is found that greenish (32.5%) and yellowish (16.4%) schemes concentrate in May–August and June–July, respectively, while the blueish (17.4%) and cyanish (43.7%) schemes tend to be in the months of winter and autumn, respectively. Furthermore, in terms of phytoplankton bloom and summer flood, the FUIs in the Xiaojiang and Caotang Rivers have the highest proportion of greenish (34.8%) and yellowish (18.3%) schemes, respectively.
During the summer of the past decade, the water colors in the four TGR tributaries have shown clear greening trends (for example, in the summers of 2013, 2016, 2018, and 2021, the FUIs are squeezed between 9 and 10, as shown in Figure 5), indicating the phytoplankton bloom occurrence in summer (consistent with the previous findings [33]), according to the corresponding color scheme of water quality characterization described in Table 1. Meanwhile, the water colors near the estuary of the Xiaojiang and Caotang Rivers tend to be yellowish (the FUIs are concentrated around 12–13), suggesting the emergence of summer flood containing a large amount of suspended sediment (coinciding with our previous findings [57]). Accordingly, the coexistence of phytoplankton bloom and summer flood is recorded by Landsat-derived FUI in the two TGR tributaries mentioned above, as shown in Figure 11.
Figure 11.
Examples of unique water color phenomenon, i.e., coexistence of phytoplankton bloom and summer flood, in the Xiaojiang (upper) and Caotang (below) Rivers based on (a) field photograph, (b) Landsat-derived true color imagery, and (c) Landsat-derived FUI on 4 June 2021.
The adaptation of phytoplankton bloom to summer flood caused by heavy rainfall could be attributed to the extreme summer heatwave, increasing terrestrial nutrient, and low flow velocity during the low water level running period [58,59]. Thus, further research on the anthropogenic controllable flow velocity can provide a scientific solution in the TGR ecological operation.
4.3. Implications for Further Studies
Our results show considerable impacts of phytoplankton bloom and summer flood on the FUI trend as indicated by the high probability of increased chlorophyll and suspended particulate matter concentrations. Chlorophyll concentration can commonly also indicate nutrient status. Because eutrophication can lead to a cascade of ecosystem crises, the increased chlorophyll concentration implies the high eutrophication risk in the TGR, which requires more future attention to the water quality deterioration caused by water storage. In addition, the high suspended particulate matter concentration induced by summer flood may affect the water quality by reducing the light penetration depth, increasing the pollutant solubility, and providing the toxic disinfection by-products. Thus, more future studies are needed to understand the underlying mechanisms about how the reservoir operation and local climate will affect the water quality.
As machine learning techniques play an important role in the automated feature extraction and nonlinear identification, the complex FUI trends in this study should represent an example of how natural/anthropogenic drivers alter water color dynamics. However, due to the limited study period of 2013–2023 and small amount of yearly and monthly mean FUIs, these parameters are not suitable for machine learning methods. Consequently, in the future, by increasing multi-source data and using machine learning techniques, our understanding of the driving mechanisms of water color dynamics could be deepened, and the accuracy and universality of FUI extraction could be improved.
This study mainly relies on multispectral imagery to extract a large-scale FUI shift, while hyperspectral data are applied as specific-site validation data. With the rapid development of satellite remote sensing, future studies can use sensors with high spatial, temporal, and spectral resolutions to distinguish the spectral responses of different water compositions [60], improving the precision and universality of the FUI model as well as the retrieval accuracy of water quality parameters under complex backgrounds, especially in the TGR tributaries.
5. Conclusions
The Landsat-derived FUI is applied to investigate the spatial distribution and temporal trend of FUIs in the four typical TGR tributaries from 2013 to 2023. Although there are large differences in the geomorphology, climate, hydrology, and other environmental conditions across the TGR, a general greening trend in latitudinal FUI distribution on the yearly scale is detected, except for the Caotang River, which is located close to the Yangtze River; the statistical analysis suggests that precipitation, sunshine duration, air temperature, NDVI, and water level are insufficient to explain the interannual FUI trend. In contrast, heterogeneity in the monthly FUI trend is related to natural and anthropogenic interaction processes, indicating that different drivers play various roles in terms of controlling the seasonal FUI shift. This study provides crucial insights to understand the water quality deterioration for geographers, limnologists, and reservoir managers.
Author Contributions
Y.W. and L.F. were responsible for data collection, processing analysis, model training and writing the original manuscript; J.S. and B.Z. were responsible for the research design and manuscript revision; M.G. and L.W. contributed to the imagery adjustment and platform construction; M.L. contributed to the image processing and formal analysis. All authors have read and agreed to the published version of the manuscript.
Funding
This study was conducted with the support of the National Natural Science Foundation of China (U22A20561 and 42371326).
Data Availability Statement
The data are available from the corresponding author on reasonable request.
Acknowledgments
The authors would like to thank Li Feng, Jianrong Ma, Zhaofei Wen, and Jie Wu for their help in the field sample collection and experimental analysis.
Conflicts of Interest
The authors declare no conflicts of interest.
References
- Brooks, B.W.; Lazorchak, J.M.; Howard, M.D.A.; Johnson, M.V.V.; Morton, S.L.; Perkins, D.A.K.; Reavie, E.D.; Scott, G.I.; Smith, S.A.; Steevens, J.A. Are harmful algal blooms becoming the greatest inland water quality threat to public health and aquatic ecosystems? Environ. Toxicol. Chem. 2016, 35, 6–13. [Google Scholar] [CrossRef] [PubMed]
- Kuhn, C.; Butman, D. Declining greenness in Arctic-boreal lakes. Proc. Natl. Acad. Sci. USA 2021, 118, e2021219118. [Google Scholar] [CrossRef] [PubMed]
- Wang, M.R.; Bodirsky, B.L.; Rijneveld, R.; Beier, F.; Bak, M.P.; Batool, M.; Droppers, B.; Popp, A.; Van Vliet Michelle, T.H.; Strokal, M. A triple increase in global river basins with water scarcity due to future pollution. Nat. Commun. 2024, 15, 880. [Google Scholar] [CrossRef] [PubMed]
- Wernand, M.R.; Van der Woerd, H.J. Spectral analysis of the Forel-Ule ocean colour comparator scale. J. Eur. Opt. Soc. Rapid Publ. 2010, 5, 10014s. [Google Scholar] [CrossRef]
- Hou, X.J.; Feng, L.; Dai, Y.H.; Hu, C.M.; Gibson, L.; Tang, J.; Lee, Z.P.; Wang, Y.; Cai, X.B.; Liu, J.G.; et al. Global mapping reveals increase in lacustrine algal blooms over the past decade. Nat. Geosci. 2022, 15, 130–134. [Google Scholar] [CrossRef]
- Dai, Y.H.; Yang, S.B.; Zhao, D.; Hu, C.M.; Xu, W.; Anderson, D.M.; Li, Y.; Song, X.P.; Boyce, D.G.; Gibson, L.; et al. Coastal phytoplankton blooms expand and intensify in the 21st century. Nature 2023, 615, 280. [Google Scholar] [CrossRef] [PubMed]
- Gitelson, A.A.; Dall’Olmo, G.; Moses, W.; Rundquist, D.C.; Barrow, T.; Fisher, T.R.; Gurlin, D.; Holz, J. A simple semi-analytical model for remote estimation of chlorophyll-a in turbid waters: Validation. Remote Sens. Environ. 2008, 112, 3582–3593. [Google Scholar] [CrossRef]
- Zhao, Z.L.; Shi, K.; Peng, Y.Y.; Wang, W.J.; Lai, L.; Zhang, Y.B.; Zhou, Y.Q.; Zhang, Y.L.; Qin, B.Q. Widespread decrease in chromophoric dissolved organic matter in Chinese lakes derived from satellite observations. Remote Sens. Environ. 2023, 298, 113848. [Google Scholar] [CrossRef]
- Hou, X.J.; Xie, D.H.; Feng, L.; Shen, F.; Nienhuis, J.H. Sustained increase in suspended sediments near global river deltas over the past two decades. Nat. Commun. 2024, 15, 3319. [Google Scholar] [CrossRef]
- Stedmon, C.A.; Markager, S.; Kaas, H. Optical properties and signatures of chromophoric dissolved organic matter (CDOM) in Danish coastal waters. Estuar. Coast. Shelf Sci. 2000, 51, 267–278. [Google Scholar] [CrossRef]
- Hu, C.M.; Lee, Z.P.; Franz, B. Chlorophyll a algorithms for oligotrophic oceans: A novel approach based on three-band reflectance difference. J Geophys. Res-Oceans 2012, 117, C01011. [Google Scholar] [CrossRef]
- Gernez, P.; Lafon, V.; Lerouxel, A.; Curti, C.; Lubac, B.; Cerisier, S.; Barillé, L. Toward Sentinel-2 high resolution remote sensing of suspended particulate matter in very turbid waters: SPOT4 (take5) experiment in the Loire and Gironde estuaries. Remote Sens. 2015, 7, 9507–9528. [Google Scholar] [CrossRef]
- Gallie, E.A.; Murtha, P.A. A modification of chromaticity analysis to separate the effects of water quality variables. Remote Sens. Environ. 1993, 44, 47–65. [Google Scholar] [CrossRef]
- Coble, P.G.; Del Castillo, C.E.; Avril, B. Distribution and optical properties of CDOM in the Arabian Sea during the 1995 Southwest Monsoon. Deep-Sea Res. Pt. II 1998, 45, 2195–2223. [Google Scholar] [CrossRef]
- Morel, A.Y.; Gentili, B.; Claustre, H.; Babin, M.; Bricaud, A.; Ras, J.; Tièche, F. Optical properties of the ‘clearest’ natural waters. Limnol. Oceanogr. 2007, 52, 217–229. [Google Scholar] [CrossRef]
- Smith, T.; Guild, J. The C.I.E. colorimetric standards and their use. Trans. Opt. Soc. 1931, 33, 73. [Google Scholar] [CrossRef]
- Bukata, R.P.; Bruton, J.E.; Jerome, J.H. Use of chromaticity in remote measurements of water quality. Remote Sens. Environ. 1983, 13, 161–177. [Google Scholar] [CrossRef]
- Yoshimi, H. Simultaneous construction of single-parameter and multiparameter trophic state indices. Water Res. 1987, 21, 1505–1511. [Google Scholar] [CrossRef]
- Novoa, S.; Wernand, M.R.; Van der Woerd, H.J. The Forel-Ule scale revisited spectrally: Preparation protocol, transmission measurements and chromaticity. J. Eur. Opt. Soc. Rapid 2013, 8, 13057. [Google Scholar] [CrossRef]
- Van der Woerd, H.J.; Wernand, M.R. True colour classification of natural waters with medium-spectral resolution satellites: SeaWiFS, MODIS, MERIS and OLCI. Sensors 2015, 15, 25663–25680. [Google Scholar] [CrossRef]
- Xu, Y.; Feng, L.; Hou, X.J.; Wang, J.J.; Tang, J. Four-decade dynamics of the water color in 61 large lakes on the Yangtze Plain and the impacts of reclaimed aquaculture zones. Sci. Total Environ. 2021, 781, 146688. [Google Scholar] [CrossRef] [PubMed]
- Cao, Z.G.; Melack, J.M.; Liu, M.; Kutser, T.; Duan, H.T.; Ma, R.H. Shifts, trends, and drivers of lake Color across China since the 1980s. Geophys. Res. Lett. 2023, 50, e2023GL103225. [Google Scholar] [CrossRef]
- Chen, Q.; Huang, M.T.; Tang, X.D. Eutrophication assessment of seasonal urban lakes in China Yangtze River basin using Landsat 8-derived Forel-Ule index: A six-year (2013–2018) observation. Sci. Total Environ. 2020, 745, 135392. [Google Scholar] [CrossRef]
- Wang, S.L.; Li, J.S.; Zhang, B.; Lee, Z.P.; Spyrakos, E.; Feng, L.; Liu, C.; Zhao, H.L.; Wu, Y.H.; Zhu, L.P.; et al. Changes of water clarity in large lakes and reservoirs across China observed from long-term MODIS. Remote Sens. Environ. 2020, 247, 111949. [Google Scholar] [CrossRef]
- Wang, Y.; Feng, L.; Hou, X.J. Algal blooms in lakes in China over the past two decades: Patterns, trends, and drivers. Water Resour. Res. 2023, 59, e2022WR033340. [Google Scholar] [CrossRef]
- Xiang, R.; Wang, L.J.; Li, H.; Tian, Z.B.; Zheng, B.H. Water quality variation in tributaries of the Three Gorges Reservoir from 2000 to 2015. Water Res. 2021, 195, 116993. [Google Scholar] [CrossRef]
- Xiong, L.H.; Jiang, C.; Guo, S.L.; Li, S.; Li, R.R.; Li, W.B. Multivariate dam-site flood frequency analysis of the Three Gorges Reservoir considering future reservoir regulation and precipitation. Water 2022, 14, 138. [Google Scholar] [CrossRef]
- Yang, Z.J.; Wei, C.Y.; Liu, D.F.; Lin, Q.C.; Huang, Y.L.; Wang, C.F.; Ji, D.B.; Ma, J.; Yang, H. The influence of hydraulic characteristics on algal bloom in three gorges reservoir, China: A combination of cultural experiments and field monitoring. Water Res. 2022, 211, 118030. [Google Scholar] [CrossRef] [PubMed]
- Lai, Y.Q.; Zhang, J.; Li, W.W.; Song, Y.Y. Water quality monitoring of large reservoirs in China based on water color change from 1999 to 2021. J. Hydrol. 2024, 633, 130988. [Google Scholar] [CrossRef]
- Xiao, Y.; Li, Z.; Guo, J.S.; Fang, F.; Smith, V.H. Succession of phytoplankton assemblages in response to large-scale reservoir operation: A case study in a tributary of the Three Gorges Reservoir, China. Environ. Monit. Assess. 2016, 188, 153. [Google Scholar] [CrossRef]
- Huang, Z.L.; Li, Y.L. Water quality prediction and environmental capacity calculation in the Three Gorges Reservoir. China Water Resour. Hydropower Press 2006, 14, 1307. [Google Scholar]
- Gao, M.Y.; Zhu, K.X.; Bi, Y.H.; Hu, Z.Y. Spatiotemporal patterns of surface-suspended particulate matter in the Three Gorges Reservoir. Environ. Sci. Pollut. Res. 2016, 23, 3569–3577. [Google Scholar] [CrossRef] [PubMed]
- Zhou, B.T.; Shi, K.; Wang, W.J.; Zhang, D.; Qin, B.Q.; Zhang, Y.L.; Dong, B.L.; Shang, M.S. Phytoplankton succession phenology trends in the backwaters of the three gorges reservoir in China and their drivers: Results from satellite observations. Ecol. Indic. 2022, 143, 109435. [Google Scholar] [CrossRef]
- Zhi, X.S.; Chen, L.; Chen, S.B.; Yu, J.Q.; Jiang, J.; Xu, Y.Z.; Li, L.F.; Meng, X.Y.; Shen, Z.Y. Heterogeneity and influencing factors of algal blooms in the reservoir-impacted tributary: Evidence from remote sensing and physical-based model. J. Hydrol. 2024, 634, 131058. [Google Scholar] [CrossRef]
- Li, Z.; Wang, S.; Guo, J.S.; Fang, F.; Gao, X.; Long, M. Responses of phytoplankton diversity to physical disturbance under manual operation in a large reservoir, China. Hydrobiologia 2012, 684, 45–56. [Google Scholar] [CrossRef]
- Li, Z.; Ma, J.R.; Guo, J.S.; Paerl, H.W.; Brookes, J.D.; Xiao, Y.; Fang, F.; Ouyang, W.J.; Lu, L.H. Water quality trends in the Three Gorges Reservoir region before and after impoundment (1992–2016). Ecohydrol. Hydrobiol. 2019, 19, 317–327. [Google Scholar] [CrossRef]
- Su, Y.M.; Hu, M.M.; Wang, Y.C.; Zhang, H.R.; He, C.; Wang, Y.W.; Wang, D.C.; Wu, X.H.; Zhuang, Y.H.; Hong, S.; et al. Identifying key drivers of harmful algal blooms in a tributary of the Three Gorges Reservoir between different seasons: Causality based on data-driven methods. Environ. Pollut. 2022, 297, 118759. [Google Scholar] [CrossRef]
- Ye, L.; Tan, L.; Wu, X.H.; Cai, Q.H.; Li, B.L. Nonlinear causal analysis reveals an effective water level regulation approach for phytoplankton blooms controlling in reservoirs. Sci. Total Environ. 2022, 806, 150948. [Google Scholar] [CrossRef]
- Chen, X.D.; Liu, L.Y.; Zhang, X.; Li, J.S.; Wang, S.L.; Liu, D.; Duan, H.T.; Song, K.S. An assessment of water color for inland water in China using a Landsat 8-derived Forel-Ule index and the google earth engine platform. IEEE J. Sel. Top. Appl. Earth Obs. Remote Sens. 2021, 14, 5773–5785. [Google Scholar] [CrossRef]
- Shi, K.; Zhang, Y.L.; Qin, B.Q.; Zhou, B.T. Remote sensing of cyanobacterial blooms in inland waters: Present knowledge and future challenges. Sci. Bull. 2019, 64, 1540–1556. [Google Scholar] [CrossRef]
- Zhu, Z.; Wang, S.X.; Woodcock, C.E. Improvement and expansion of the fmask algorithm: Cloud, cloud Shadow, and snow detection for Landsats 4–7, 8, and Sentinel 2 images. Remote Sens. Environ. 2015, 159, 269–277. [Google Scholar] [CrossRef]
- Vermote, E.; Justice, C.; Claverie, M.; Franch, B. Preliminary analysis of the performance of the Landsat 8/OLI land surface reflectance product. Remote Sens. Environ. 2016, 185, 46–56. [Google Scholar] [CrossRef] [PubMed]
- Gorelick, N.; Hancher, M.; Dixon, M.; Ilyushchenko, S.; Thau, D.; Moore, R. Google earth engine: Planetary-scale geospatial analysis for everyone. Remote Sens. Environ. 2017, 202, 18–27. [Google Scholar] [CrossRef]
- Li, H.X.; Liu, G.H.; Fu, B.J. Study on the response of vegetation growth to climate change and human activities based on NDVI in the Sanjiangyuan region. Acta Ecol. Sin. 2011, 31, 5495–5504. [Google Scholar]
- Feng, L.; Hou, X.J.; Zheng, Y. Monitoring and understanding the water transparency changes of fifty large lakes on the Yangtze Plain based on long-term MODIS observations. Remote Sens. Environ. 2019, 221, 675–686. [Google Scholar] [CrossRef]
- Van der Woerd, H.; Wernand, M. Hue-angle product for low to medium spatial resolution optical satellite sensors. Remote Sens. 2018, 10, 180. [Google Scholar] [CrossRef]
- Wang, S.L.; Li, J.S.; Shen, Q.; Zhang, B.; Zhang, F.F.; Lu, Z.Y. MODIS-based radiometric color extraction and classification of inland water with the Forel-Ule scale: A case study of Lake Taihu. IEEE J. Sel. Top. Appl. Earth Obs. Remote Sens. 2015, 8, 907–918. [Google Scholar] [CrossRef]
- Li, J.S.; Wang, S.L.; Wu, Y.H.; Zhang, B.; Chen, X.L.; Zhang, F.F.; Shen, Q.; Peng, D.L.; Tian, L.Q. MODIS observations of water color of the largest 10 lakes in China between 2000 and 2012. Int. J. Digit. Earth 2016, 9, 788–805. [Google Scholar] [CrossRef]
- Wang, S.L.; Li, J.S.; Zhang, B.; Spyrakos, E.; Tyler, A.N.; Shen, Q.; Zhang, F.F.; Kuster, T.; Lehmann, M.K.; Wu, Y.H.; et al. Trophic state assessment of global inland waters using a MODIS-derived Forel-Ule index. Remote Sens. Environ. 2018, 217, 444–460. [Google Scholar] [CrossRef]
- Tao, S.L.; Fang, J.Y.; Ma, S.H.; Cai, Q.; Xiong, X.Y.; Tian, D.; Zhao, X.; Fang, L.Q.; Zhang, H.; Zhu, J.L.; et al. Changes in China’s lakes: Climate and human impacts. Nati. Sci. Rev. 2020, 7, 132–140. [Google Scholar] [CrossRef]
- Wang, Q.; Song, K.S.; Xiao, X.M.; Jacinthe, P.A.; Wen, Z.D.; Zhao, F.R.; Tao, H.; Li, S.J.; Shang, Y.X.; Wang, Y.; et al. Mapping water clarity in North American lakes and reservoirs using Landsat images on the GEE platform with the RGB model. ISPRS J. Photogramm. 2022, 194, 39–57. [Google Scholar] [CrossRef]
- Cao, Z.G.; Duan, H.T.; Ma, R.H.; Shen, M.; Yang, H. Remarkable effects of greening watershed on reducing suspended sediment flux in China’s major rivers. Sci. Bull. 2023, 68, 2285–2288. [Google Scholar] [CrossRef]
- Xia, K.; Wu, T.X.; Li, X.T.; Wang, S.D.; Shen, Q. A new method for accurate inversion of Forel-Ule index using MODIS images-Revealing the water color evolution in China’s large lakes and reservoirs over the past two decades. Water Res. 2024, 255, 121560. [Google Scholar] [CrossRef]
- Stockman, A. CIE physiologically based color matching functions and chromaticity diagrams. In Encyclopedia of Color Science and Technology; Springer: Berlin/Heidelberg, Germany, 2023; pp. 209–217. [Google Scholar]
- Burket, M.O.; Olmanson, L.G.; Brezonik, P.L. Comparison of two water color algorithms: Implications for the remote sensing of water bodies with moderate to high CDOM or chlorophyll levels. Sensors 2023, 23, 1071. [Google Scholar] [CrossRef]
- Ye, M.; Sun, Y.H. Review of the Forel-Ule index based on in situ and remote sensing methods and application in water quality assessment. Environ. Sci. Pollut. Res. 2022, 29, 13024–13041. [Google Scholar] [CrossRef] [PubMed]
- Zhou, B.T.; Shang, M.S.; Feng, L.; Shan, K.; Feng, L.; Ma, J.R.; Liu, X.N.; Wu, L. Long-term remote tracking the dynamics of surface water turbidity using a density peaks-based classification: A case study in the Three Gorges Reservoir. China. Ecol. Indic. 2020, 116, 106539. [Google Scholar] [CrossRef]
- Feng, L.; Wang, Y.; Hou, X.J.; Qin, B.Q.; Kuster, T.; Qu, F.; Chen, N.W.; Paerl, H.W.; Zheng, C.M. Harmful algal blooms in inland waters. Nat. Rev. Earth Environ. 2024, 5, 631–644. [Google Scholar] [CrossRef]
- He, S.W.; Zhang, Y.L.; Li, N.; Shi, K.; Zhang, Y.B.; Qin, B.Q.; Zhu, G.W.; Liu, M.L.; Shao, K.Q. Summer heatwaves promote harmful algal blooms in the Fuchunjiang Reservoir, an Important drinking water source. J. Environ. Manag. 2024, 359, 121056. [Google Scholar] [CrossRef]
- Cao, Z.; Jing, Y.; Zhang, Y.; Lai, L.; Liu, Z.; Yang, Q. Innovative remote sensing identification of cyanobacterial blooms inspired from pseudo water color. Remote Sens. 2023, 15, 215. [Google Scholar] [CrossRef]
Disclaimer/Publisher’s Note: The statements, opinions and data contained in all publications are solely those of the individual author(s) and contributor(s) and not of MDPI and/or the editor(s). MDPI and/or the editor(s) disclaim responsibility for any injury to people or property resulting from any ideas, methods, instructions or products referred to in the content. |
© 2024 by the authors. Licensee MDPI, Basel, Switzerland. This article is an open access article distributed under the terms and conditions of the Creative Commons Attribution (CC BY) license (https://creativecommons.org/licenses/by/4.0/).










