780 nm Narrow Linewidth External Cavity Diode Laser for Quantum Sensing
Abstract
1. Introduction
2. Theoretical Analysis
2.1. Linewidth Analysis of External Cavity Laser
2.1.1. Natural Linewidth
2.1.2. Reduce the Outer Cavity Linewidth
2.2. Frequency Selection Principle
3. Experiment and Result Analysis
3.1. Design and Manufacturing Process of IF–ECDL
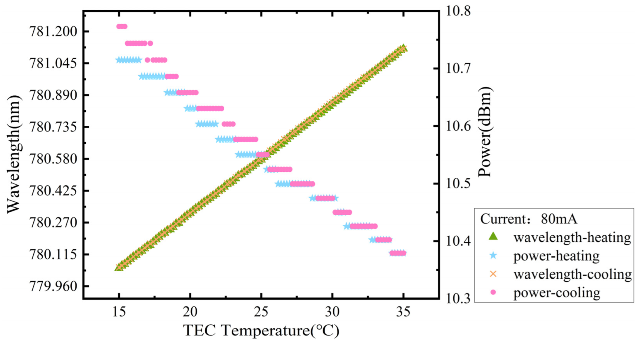
3.2. Experimental Results and Analysis
4. Conclusions
Author Contributions
Funding
Institutional Review Board Statement
Informed Consent Statement
Data Availability Statement
Conflicts of Interest
References
- Wu, W.; Chen, M.; Zhang, Z.; Liu, X.; Dong, Y. Overview of deep space laser communication. Sci. China Inf. Sci. 2018, 61, 040301. [Google Scholar] [CrossRef]
- Chen, F.; Cui, B.; Feng, J.; Progress, O. Research and progress of high power semiconductor lasers with high beam quality. Laser Optoelectron. Prog. 2023, 60, 2100002. [Google Scholar]
- Luo, Q.; Zhang, H.; Zhang, K.; Duan, X.-C.; Hu, Z.-K.; Chen, L.-L.; Zhou, M.-K. A compact laser system for a portable atom interferometry gravimeter. Rev. Sci. Instrum 2019, 90, 043104. [Google Scholar] [CrossRef]
- Zhang, C.; Ooi, T.; Higgins, J.S.; Doyle, J.F.; von der Wense, L.; Beeks, K.; Leitner, A.; Kazakov, G.A.; Li, P.; Thirolf, P. Frequency ratio of the 229mTh nuclear isomeric transition and the 87Sr atomic clock. Nature 2024, 633, 63–70. [Google Scholar] [CrossRef]
- Zhang, D.; Zhang, H.; Zhao, Y.; Chen, Y.; Ke, C.; Xu, T.; He, Y. A brief review of new data analysis methods of laser-induced breakdown spectroscopy: Machine learning. Appl. Spectrosc. Rev. 2022, 57, 89–111. [Google Scholar] [CrossRef]
- Harilal, S.; Phillips, M.; Froula, D.; Anoop, K.; Issac, R.; Beg, F. Optical diagnostics of laser-produced plasmas. Rev. Mod. Phys. 2022, 94, 035002. [Google Scholar] [CrossRef]
- Shin, D.K.; Henson, B.M.; Khakimov, R.I.; Ross, J.A.; Dedman, C.J.; Hodgman, S.S.; Baldwin, K.G.; Truscott, A.G. Widely tunable, narrow linewidth external-cavity gain chip laser for spectroscopy between 1.0–1.1 µm. Opt. Express 2016, 24, 27403–27414. [Google Scholar] [CrossRef]
- Schawlow, A.L.; Townes, C.H. Infrared and optical masers. Phys. Rev. 1958, 112, 1940. [Google Scholar] [CrossRef]
- Lang, R.; Kobayashi, K. External optical feedback effects on semiconductor injection laser properties. IEEE J. Quantum Electron. 1980, 16, 347–355. [Google Scholar] [CrossRef]
- Laurent, P.; Clairon, A.; Breant, C. Frequency noise analysis of optically self-locked diode lasers. IEEE J. Quantum Electron. 1989, 25, 1131–1142. [Google Scholar] [CrossRef]
- Zhao, Y.; Li, Y.; Wang, Q.; Meng, F.; Lin, Y.; Wang, S.; Lin, B.; Cao, S.; Cao, J.; Fang, Z. 100-Hz linewidth diode laser with external optical feedback. IEEE Photonics Technol. Lett. 2012, 24, 1795–1798. [Google Scholar] [CrossRef]
- Huang, X.; Zhao, Q.; Lin, W.; Li, C.; Yang, C.; Mo, S.; Feng, Z.; Deng, H.; Yang, Z.; Xu, S. Linewidth suppression mechanism of self-injection locked single-frequency fiber laser. Opt. Express 2016, 24, 18907–18916. [Google Scholar] [CrossRef]
- Fleming, M.; Mooradian, A. Spectral characteristics of external-cavity controlled semiconductor lasers. IEEE J. Quantum Electron. 1981, 17, 44–59. [Google Scholar] [CrossRef]
- Zorabedian, P.; Trutna, W., Jr. Interference-filter-tuned, alignment-stabilized, semiconductor external-cavity laser. Opt. Lett. 1988, 13, 826–828. [Google Scholar] [CrossRef]
- Baillard, X.; Gauguet, A.; Bize, S.; Lemonde, P.; Laurent, P.; Clairon, A.; Rosenbusch, P. Interference-filter-stabilized external-cavity diode lasers. Opt. Commun. 2006, 266, 609–613. [Google Scholar] [CrossRef]
- Iwata, Y.; Cheon, D.; Miyabe, M.; Hasegawa, S. Development of an interference-filter-type external-cavity diode laser for resonance ionization spectroscopy of strontium. Rev. Sci. Instrum. 2019, 90, 123002. [Google Scholar] [CrossRef] [PubMed]
- Ruan, J.; Liu, J.; Ma, J.; Du, Z.; Wu, C.; Zhang, S. Robust external cavity diode laser system with high frequency stability for Cs atomic clock. Chin. Opt. Lett. 2010, 8, 300–302. [Google Scholar] [CrossRef]
- Thompson, D.J.; Scholten, R.E. Narrow linewidth tunable external cavity diode laser using wide bandwidth filter. Rev. Sci. Instrum. 2012, 83, 023107. [Google Scholar] [CrossRef] [PubMed]
- Pan, G.-Z.; Guan, B.-L.; Xu, C.; Li, P.-T.; Yang, J.-W.; Liu, Z.-Y. Broad bandwidth interference filter-stabilized external cavity diode laser with narrow linewidth below 100 kHz. Chin. Phys. B 2018, 27, 014204. [Google Scholar] [CrossRef]
- Wei, C.-h.; Zuo, C.-l.; Liang, L.; Yan, S.-h. Compact external cavity diode laser for quantum experiments. Optoelectron. Lett. 2020, 16, 433–436. [Google Scholar] [CrossRef]
- Wu, F.; Sun, H.; Wang, C.; Qi, Z. Development of a 780 nm Narrow Line Width Semiconductor Laser Device. In Semiconductor Lasers and Applications IX; SPIE: Bellingham, WA, USA, 2019; pp. 58–63. [Google Scholar]
- Martin, A.; Baus, P.; Birkl, G. External cavity diode laser setup with two interference filters. Appl. Phys. B 2016, 122, 298. [Google Scholar] [CrossRef]
- Chang, R.; He, J.; Wang, J. Interference filter based external-cavity diode laser with combined dual interference filters and largely adjustable feedback range. Phys. Scr. 2023, 98, 125111. [Google Scholar] [CrossRef]
- Wang, N.; Feng, M.; Feng, Z.; Lam, M.Y.; Gao, L.; Chen, B.; Liu, A.; Tsang, Y.H.; Zhang, X.J. Narrow-linewidth tunable lasers with retro-reflective external cavity. IEEE Photonics Technol. Lett. 2012, 24, 1591–1593. [Google Scholar] [CrossRef]
- Hu, S.; Lv, P.; Guan, C.; Li, S.; Qin, H.; Li, X.; Chen, X.; Zhan, L.; Wang, W.; Xiao, Y. Study on Linewidth and Phase Noise Characteristics of a Narrow Linewidth External Cavity Diode Laser. Sensors 2024, 24, 1103. [Google Scholar] [CrossRef]
- Matthews, M.; Cameron, K.; Wyatt, R.; Devlin, W. Packaged frequency-stable tunable 20 kHz linewidth 1.5 μm InGaAsP external cavity laser. Electron. Lett. 1985, 3, 113–115. [Google Scholar] [CrossRef]
- Chai, Y.; Zhang, H. Study on Linewidth Characteristics of strong feedback external cavity semiconductor laser. J. Semicond. 1990, 12, 885–889. [Google Scholar]
- Sato, H.; Ohya, J. Theory of spectral linewidth of external cavity semiconductor lasers. IEEE J. Quantum Electron. 1986, 22, 1060–1063. [Google Scholar] [CrossRef]
- Huynh, T.N.; Nguyen, L.; Barry, L.P. Phase noise characterization of SGDBR lasers using phase modulation detection method with delayed self-heterodyne measurements. J. Light. Technol. 2013, 31, 1300–1308. [Google Scholar] [CrossRef]









Disclaimer/Publisher’s Note: The statements, opinions and data contained in all publications are solely those of the individual author(s) and contributor(s) and not of MDPI and/or the editor(s). MDPI and/or the editor(s) disclaim responsibility for any injury to people or property resulting from any ideas, methods, instructions or products referred to in the content. |
© 2024 by the authors. Licensee MDPI, Basel, Switzerland. This article is an open access article distributed under the terms and conditions of the Creative Commons Attribution (CC BY) license (https://creativecommons.org/licenses/by/4.0/).
Share and Cite
Ye, J.; Guan, C.; Lv, P.; Wang, W.; Chen, X.; Wang, Z.; Xiao, Y.; Zhan, L.; Gong, J.; Yao, Y. 780 nm Narrow Linewidth External Cavity Diode Laser for Quantum Sensing. Sensors 2024, 24, 7237. https://doi.org/10.3390/s24227237
Ye J, Guan C, Lv P, Wang W, Chen X, Wang Z, Xiao Y, Zhan L, Gong J, Yao Y. 780 nm Narrow Linewidth External Cavity Diode Laser for Quantum Sensing. Sensors. 2024; 24(22):7237. https://doi.org/10.3390/s24227237
Chicago/Turabian StyleYe, Junzhu, Chenggang Guan, Puchu Lv, Weiqi Wang, Xuan Chen, Ziyi Wang, Yifan Xiao, Linfeng Zhan, Jiaoli Gong, and Yucheng Yao. 2024. "780 nm Narrow Linewidth External Cavity Diode Laser for Quantum Sensing" Sensors 24, no. 22: 7237. https://doi.org/10.3390/s24227237
APA StyleYe, J., Guan, C., Lv, P., Wang, W., Chen, X., Wang, Z., Xiao, Y., Zhan, L., Gong, J., & Yao, Y. (2024). 780 nm Narrow Linewidth External Cavity Diode Laser for Quantum Sensing. Sensors, 24(22), 7237. https://doi.org/10.3390/s24227237
