A Variable Horizon Model Predictive Control for Magnetorheological Semi-Active Suspension with Air Springs
Abstract
1. Introduction
- (1)
- The utilization of an adaptive fuzzy neural network in establishing the inverse model of magnetorheological damper, enhances the accuracy of the mathematical representation for its mechanical properties.
- (2)
- Investigation into the relationship between suspension performance and MPC parameters enables optimization of the control effect by selecting optimal horizon parameters for MPC.
- (3)
- Considering different input frequencies from road surfaces, a VHMPC algorithm is proposed to improve suspension performance under complex working conditions.
- (4)
- The proposed VHMPC algorithm enhances ride comfort in semi-active suspension systems operating under complex road conditions.
2. Modeling of Magnetorheological Damper
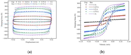
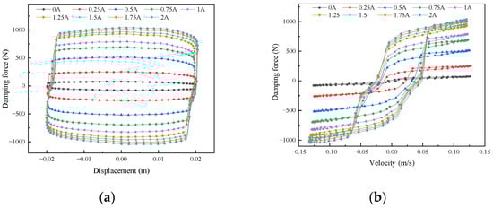
2.1. Output Damping Force Versus Current Test
2.2. Dynamic Performance Test
2.3. The Forward Modeling of Magnetorheological Dampers
2.4. Inverse Model of Magnetorheological Damper
3. Modeling of Semi-Active Air Suspension
3.1. Modeling of Air Spring
3.2. Modeling of Magnetorheological Semi-Active Air Suspension
4. Design of Variable Horizon Model Predictive Controller
4.1. Design of Model Predictive Controller
4.2. Effect of Prediction Horizon on Suspension Performance
4.3. Optimization of Prediction Horizon Under Different Pavement Conditions
5. Simulation Analysis
5.1. Mixed Condition
5.2. Variable Speed Conditions
6. Conclusions
- (1)
- The dynamics of the magnetorheological damper are tested and analyzed by establishing a dynamics performance test system for the magnetorheological damper, and the forward and inverse models of the magnetorheological damper are established based on the experimental data. The improved hyperbolic tangent model is chosen as the forward model of the magnetorheological damper. The particle swarm algorithm is used to identify the parameters to be identified in the model, and a comparative analysis is made between the experimental data and the identified model; at the same time, the ANFIS inverse model of the magnetorheological damper is proposed to be used for the solution of the required current of the magnetorheological damper. The simulation results show that the inverse model has a small inference error and can be used in the magnetorheological semi-active suspension with air springs.
- (2)
- By analyzing the relationship between the model prediction control effect and road excitation frequency under different prediction horizon parameters, it is found that the prediction horizon which makes the suspension damping effect the best is negatively correlated with the road excitation frequency, indicating that different prediction horizons should be set for different road excitation frequencies.
- (3)
- Under the mixed continuous speed bump condition, the VHMPC suspension improves the sprung mass acceleration by 2.614% relative to the conventional MPC suspension, and the positive and negative peaks of the sprung mass acceleration decrease by 11.849% and 6.938%, respectively. The VHMPC suspension has the same dynamic tire deformation as the conventional MPC suspension, but the positive and negative peaks of the dynamic tire deformation decrease by 11.428% and 12.765%. Under changing speed pavement conditions, the MPC suspension and VHMPC suspension improve the sprung mass acceleration by 19.058% and 24.878%, respectively, compared to the passive suspension, and the VHMPC suspension improves by 7.191% relative to the MPC suspension. VHMPC suspension improves the dynamic tire deformation by 7.936% and the suspension deflection by 22.222% compared to the MPC suspension.
Author Contributions
Funding
Institutional Review Board Statement
Informed Consent Statement
Data Availability Statement
Conflicts of Interest
References
- Hakan, B.; András, M.; Péter, G.; Olivier, S. Adaptive semi-active suspension and cruise control through LPV technique. Appl. Sci. 2020, 11, 290. [Google Scholar] [CrossRef]
- Essam, A.; Hesham, F.E.; Magdy, A.H.; Shawki, A.S. Vibration control of active vehicle suspension system using fuzzy logic algorithm. Fuzzy Inf. Eng. 2010, 2, 361–387. [Google Scholar]
- Tseng, H.E.; Davor, H. State of the art survey: Active and semi-active suspension control. Vehicle Syst. Dyn. 2015, 53, 1034–1062. [Google Scholar] [CrossRef]
- Soliman, A.M.A.; Kaldas, M.M.S. Semi-active suspension systems from research to mass-market–A review. J. Low Freq. Noise Vib. Act. Control. 2021, 40, 1005–1023. [Google Scholar] [CrossRef]
- Ben, L.Z.; Hasbullah, F.; Faris, F.W. A comparative ride performance of passive, semi-active and active suspension systems for off-road vehicles using half car model. Int. J. Heavy Veh. Syst. 2014, 21, 26–41. [Google Scholar] [CrossRef]
- Gad, S.A.; Zoghby, E.M.H.; Oraby, H.E.A.W.; Demerdash, E.M.S. Performance and Behaviour of a Magneto-Rheological Damper in a Semi-Active Vehicle Suspension and Power Evaluation. Am. J. Mech. Eng. Autom. 2018, 5, 72–89. [Google Scholar]
- Lenggana, B.W.; Ubaidillah, U.; Imaduddin, F.; Choi, S.B.; Purwana, Y.M.; Harjana, H. Review of magnetorheological damping systems on a seismic building. Appl. Sci. 2021, 11, 9339. [Google Scholar] [CrossRef]
- Hu, G.; Zhou, F.; Yang, X.; Wang, N.; Yu, L.; Li, G. Analysis of pressure drop and response characteristics of an enhanced radial magnetorheological valve based on magneto-fluidic coupling. J. Magn. Magn. Mater. 2024, 589, 171589. [Google Scholar] [CrossRef]
- Khan, L.; Qamar, S.; Khan, M.U. Comparative analysis of adaptive NeuroFuzzy control techniques for full car active suspension system. Arab. J. Sci. Eng. 2014, 39, 2045–2069. [Google Scholar] [CrossRef]
- Rao, K.D. Modeling, simulation and control of semi active suspension system for automobiles under MATLAB Simulink using PID controller. IFAC Proc. Vol. 2014, 47, 827–831. [Google Scholar] [CrossRef]
- Aboud, W.S.; Haris, S.M.; Yaacob, Y. Advances in the control of mechatronic suspension systems. J. Zhejiang Univ. Sci. C 2014, 15, 848–860. [Google Scholar] [CrossRef]
- Yamin, A.H.M.; Darus, I.Z.M.; Nor, N.M.; Talib, M.H.A. Intelligent cuckoo search algorithm of PID and skyhook controller for semi-active suspension system using magneto-rheological damper. Malays. J. Fundam. Appl. 2021, 17, 402–415. [Google Scholar] [CrossRef]
- Li, G.; Huang, Q.; Hu, G.; Ding, R.; Zhu, W.; Zeng, L. Semi-active fuzzy cooperative control of vehicle suspension with a magnetorheological damper. J. Intel. Mat. Syst. Str. 2023, 34, 2106–2123. [Google Scholar] [CrossRef]
- Schwenzer, M.; Ay, M.; Bergs, T.; Abel, D. Review on model predictive control: An engineering perspective. Int. J. Adv. Manuf. Technol. 2021, 117, 1327–1349. [Google Scholar] [CrossRef]
- Mai, V.N.; Yoon, D.S.; Choi, S.B.; Kim, G.W. Explicit model predictive control of semi-active suspension systems with magneto-rheological dampers subject to input constraints. J. Intel. Mat. Syst. Str. 2020, 31, 1157–1170. [Google Scholar] [CrossRef]
- Theunissen, J.; Sorniotti, A.; Gruber, P.; Fallah, S.; Dhaens, M.; Reybrouck, K.; Lauwerys, C.; Vandermissen, B.; Sakka, M.A.; Motte, K. Explicit model predictive control of an active suspension system. In Proceedings of the 9th International Munich Chassis Symposium 2018, Munich, Germany, 12–13 June 2018 ; Springer Fachmedien: Wiesbaden, Germany, 2018. [Google Scholar]
- Bououden, S.; Chadli, M.; Karimi, H.R. A robust predictive control design for nonlinear active suspension systems. Asian J. Control 2016, 18, 122–132. [Google Scholar] [CrossRef]
- Garcia, I.M.; Laborda, N.G.N.; Mallabiabarrena, A.P.; Berg, M. A survey on the modelling of air springs–secondary suspension in railway vehicles. Vehicle Syst. Dyn. 2022, 60, 835–864. [Google Scholar] [CrossRef]
- Chen, Y.; Peterson, A.W.; Ahmadian, M. Achieving anti-roll bar effect through air management in commercial vehicle pneumatic suspensions. Vehicle Syst. Dyn. 2019, 57, 1775–1794. [Google Scholar] [CrossRef]
- Zhu, H.; Yang, J.; Zhang, Y. Dual-chamber pneumatically interconnected suspension: Modeling and theoretical analysis. Mech. Syst. Signal Process. 2021, 147, 107125. [Google Scholar] [CrossRef]
- Zhang, Z.; Wang, J.; Wu, W.; Huang, C. Semi-active control of air suspension with auxiliary chamber subject to parameter uncertainties and time-delay. Int. J. Robust. Nonlin 2020, 30, 7130–7149. [Google Scholar] [CrossRef]
- Nieto, A.J.; Morales, A.L.; Chicharro, J.M.; Pintado, P. An adaptive pneumatic suspension system for improving ride comfort and handling. J. Vib. Control 2016, 22, 1492–1503. [Google Scholar] [CrossRef]
- Ovalle, L.; Ríos, H.; Ahmed, H. Robust control for an active suspension system via continuous sliding-mode controllers. Eng. Sci. Technol. 2022, 28, 101026. [Google Scholar] [CrossRef]
- Wong, P.K.; Deng, M.; Zhao, J.; Ghadikolaei, M.A.; Wang, H. Model reference backstepping control for semi-active air suspension systems with parameter uncertainty. Proc. Inst. Mech. Eng. Part D J. Automob. Eng. 2023, 238, 2650–2659. [Google Scholar] [CrossRef]
- Wang, Z.; Ma, C. Interference compensation discrete control based on memory data for a class of nonlinear systems. Optim. Contr Appl. Met. 2023, 44, 1148–1158. [Google Scholar] [CrossRef]




















| Parameter | |||||
|---|---|---|---|---|---|
| Current | |||||
| 0 A | 33.42 | 59.65 | 0.8000 | 314.05 | −3.2 |
| 0.25 A | 155.25 | 75.74 | 0.7278 | 804.51 | −6.28 |
| 0.5 A | 371.87 | 41.50 | 1.1298 | 1130.89 | −8.84 |
| 0.75 A | 496.86 | 40.65 | 1.3871 | 1503.23 | −9.79 |
| 1 A | 581.21 | 34.34 | 1.4984 | 1801.39 | −9.17 |
| Air Pressure (MPa) | Outer Diameter (mm) | Load (KN) |
|---|---|---|
| 0.1 | 150 | 1.1 |
| 0.3 | 160 | 3.5 |
| 0.5 | 164 | 6.1 |
| 1 | 164 | 13.5 |
| Suspension Systems | Sprung Mass Acceleration/(m·s−2) | Dynamic Tire Deformation/m | Suspension Deflection/m | |||
|---|---|---|---|---|---|---|
| RMS | Peak Range | RMS | Peak Range | RMS | Peak Range | |
| Passive | 1.0593 | [−7.2511, 6.9473] | 0.0046 | [−0.0491, 0.0283] | 0.0082 | [−0.0339, 0.0398] |
| MPC | 0.8109 | [−4.2173, 4.2130] | 0.0057 | [−0.0636, 0.0390] | 0.0091 | [−0.0415, 0.0436] |
| VHMPC | 0.7897 | [−3.9247, 3.7138] | 0.0057 | [−0.0564, 0.0350] | 0.0091 | [−0.0415, 0.0412] |
| Suspension Systems | RMS | ||
|---|---|---|---|
| Sprung Mass Acceleration/(m·s−2) | Dynamic Tire Deformation/m | Suspension Deflection/m | |
| Passive | 1.1717 | 0.0039 | 0.0092 |
| MPC | 0.9484 | 0.0063 | 0.0135 |
| VHMPC | 0.8802 | 0.0058 | 0.0105 |
Disclaimer/Publisher’s Note: The statements, opinions and data contained in all publications are solely those of the individual author(s) and contributor(s) and not of MDPI and/or the editor(s). MDPI and/or the editor(s) disclaim responsibility for any injury to people or property resulting from any ideas, methods, instructions or products referred to in the content. |
© 2024 by the authors. Licensee MDPI, Basel, Switzerland. This article is an open access article distributed under the terms and conditions of the Creative Commons Attribution (CC BY) license (https://creativecommons.org/licenses/by/4.0/).
Share and Cite
Li, G.; Zhong, L.; Sun, W.; Zhang, S.; Liu, Q.; Huang, Q.; Hu, G. A Variable Horizon Model Predictive Control for Magnetorheological Semi-Active Suspension with Air Springs. Sensors 2024, 24, 6926. https://doi.org/10.3390/s24216926
Li G, Zhong L, Sun W, Zhang S, Liu Q, Huang Q, Hu G. A Variable Horizon Model Predictive Control for Magnetorheological Semi-Active Suspension with Air Springs. Sensors. 2024; 24(21):6926. https://doi.org/10.3390/s24216926
Chicago/Turabian StyleLi, Gang, Lin Zhong, Wenjun Sun, Shaohua Zhang, Qianjie Liu, Qingsheng Huang, and Guoliang Hu. 2024. "A Variable Horizon Model Predictive Control for Magnetorheological Semi-Active Suspension with Air Springs" Sensors 24, no. 21: 6926. https://doi.org/10.3390/s24216926
APA StyleLi, G., Zhong, L., Sun, W., Zhang, S., Liu, Q., Huang, Q., & Hu, G. (2024). A Variable Horizon Model Predictive Control for Magnetorheological Semi-Active Suspension with Air Springs. Sensors, 24(21), 6926. https://doi.org/10.3390/s24216926

