An Efficient Ship Detection Method Based on YOLO and Ship Wakes Using High-Resolution Optical Jilin1 Satellite Imagery
Abstract
1. Introduction
- We propose an effective and practical ship detection method for visible remote sensing images, which takes full advantage of deep learning and feature-based image processing.
- We propose a useful assessment method to analyze the quality of visible remote sensing images, which can calculate the confidence of the detection results.
- The proposed method can achieve detection even when the targets are invisible in a certain image, which is difficult to realize with the current methods.
2. Problem Statement
3. Proposed Ship Detection Method
3.1. Sea Region Analysis
3.2. Detection of Ship Body
3.3. Detection of Ship Wakes
3.4. Detection Assessment
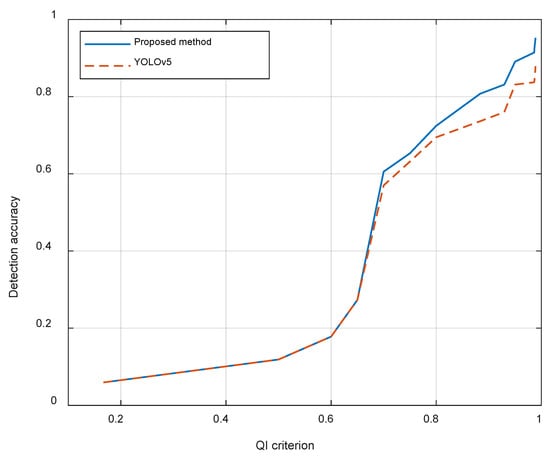
4. Results and Discussion
4.1. Implementation Details
4.2. Sea Region Separation
4.3. Sea Background Analysis
4.4. Wake Analysis
- The YOLO detection results can be checked, and some possible errors can be effectively eliminated;
- The detection gaps caused by the cloud coverage and out-of-boundary objects can be filled with no additional sensors required;
- The course of the sailing vessel can be acquired when checking the ship body detection at the same time;
- No additional dataset is required for the presented wake detection method;
- The boundary of the proposed method is also presented by briefly evaluating the image quality.
5. Conclusions
Author Contributions
Funding
Institutional Review Board Statement
Informed Consent Statement
Data Availability Statement
Conflicts of Interest
References
- Chaturvedi, S.K. Study of synthetic aperture radar and automatic identification system for ship target detection. J. Ocean Eng. Sci. 2019, 4, 173–182. [Google Scholar] [CrossRef]
- Shi, H.; He, G.; Feng, P.; Wang, J. An On-Orbit Ship Detection and Classification Algorithm for Sar Satellite. In Proceedings of the IGARSS 2019—2019 IEEE International Geoscience and Remote Sensing Symposium, Yokohama, Japan, 28 July–2 August 2019. [Google Scholar]
- Zhang, M.; Qiao, B.; Xin, M.; Zhang, B. Phase spectrum based automatic ship detection in synthetic aperture radar images. J. Ocean Eng. Sci. 2020, 6, 185–195. [Google Scholar] [CrossRef]
- Copeland, A.C.; Ravichandran, G.; Trivedi, M.M. Localized Radon transform-based detection of ship wakes in SAR images. IEEE Trans. Geosci. Remote Sens. 1995, 33, 35–45. [Google Scholar] [CrossRef]
- Tello, M.; Lopez-Martinez, C.; Mallorqui, J.J. A Novel Algorithm for Ship Detection in SAR Imagery Based on the Wavelet Transform. IEEE Geosci. Remote Sens. Lett. 2005, 2, 201–205. [Google Scholar] [CrossRef]
- Gong, B.; Weigen, H. Survey of the Study on Ship Wake Detection in SAR Imagery. Remote Sens. Technol. Appl. 2012, 27, 829–836. [Google Scholar] [CrossRef]
- Gahfarrokhi, J.K.; Abolghasemi, M. Fast VI-CFAR Ship Detection in HR SAR Data. In Proceedings of the 2020 28th Iranian Conference on Electrical Engineering (ICEE), Tabriz, Iran, 4–6 August 2020; pp. 1–5. [Google Scholar]
- Gao, G. Statistical modeling of SAR images: A survey. Sensors 2010, 10, 775–795. [Google Scholar] [CrossRef] [PubMed]
- Ao, W.; Xu, F.F. Robust ship detection in SAR images from complex background. In Proceedings of the IEEE International Conference on Computational Electromagnetics, Chengdu, China, 26–28 March 2018; pp. 1–2. [Google Scholar]
- Ai, J.; Yang, X.; Song, J. An adaptively truncated clutter-statistics-based two-parameter CFAR detector in SAR imagery. IEEE J. Ocean Eng. 2018, 43, 267–279. [Google Scholar] [CrossRef]
- Smith, M.E.; Varshney, P.K. VI-CFAR: A novel CFAR algorithm based on data variability. In Proceedings of the 1997 IEEE National Radar Conference, Syracause, NY, USA, 13–15 May 1997; pp. 263–268. [Google Scholar]
- Jin, Y.; Friedlander, B. A CFAR adaptive subspace detector for second-order Gaussian signals. IEEE Trans. Signal Process. 2005, 53, 871–884. [Google Scholar]
- Zhang, R.; Sheng, W.; Ma, X. Improved switching CFAR detector for non-homogeneous environments. Signal Process. 2013, 93, 35–48. [Google Scholar] [CrossRef]
- Zhai, L.; Li, Y.; Su, Y. Segmentation-based ship detection in harbor for SAR images. In Proceedings of the 2016 CIE International Conference on Radar (RADAR), Guangzhou, China, 10–13 October 2017; pp. 362–366. [Google Scholar]
- Hennings, I.; Romeiser, R.; Alpers, W. Radar imaging of Kelvin arms of ship wakes. Int. J. Remote Sens. 1999, 20, 2519–2543. [Google Scholar] [CrossRef]
- Yang, T.; Karaku, O.; Achim, A. Detection of Ship Wakes in SAR Imagery Using Cauchy Regularisation. In Proceedings of the 2020 IEEE International Conference on Image Processing (ICIP), Abu Dhabi, United Arab Emirates, 25–28 October 2020; pp. 3473–3477. [Google Scholar]
- Ballard, D.H. Generalizing the Hough transform to detect arbitrary shapes. Pattern Recognit. 1981, 13, 111–122. [Google Scholar] [CrossRef]
- Beylkin, G. Imaging of discontinuities in the inverse scattering problem by inversion of a generalized Radon transform. J. Math. Phys. 1985, 26, 99–108. [Google Scholar] [CrossRef]
- Rey, M.T.; Tunaley, J.K.; Folinsbee, J.T. Application of Radon transform techniques to wake detection in SEASAT-A SAR Images. IEEE Trans. Geosci. Remote Sens. 1990, 28, 553–560. [Google Scholar] [CrossRef]
- Mata, M.D.; Jarabo, A.P.; Jimenez, C.B. Application of mean-shift filtering to ship wakes detection in SAR images. In Proceedings of the Synthetic Aperture Radar (EUSAR), 2010 8th European Conference on VDE, Aachen, Germany, 7–10 June 2010; pp. 230–234. [Google Scholar]
- Biondi, F. A polarimetric extension of low-rank plus sparse decomposition and Radon transform for ship wake detection in Synthetic Aperture Radar images. IEEE Geosci. Remote Sens. Lett. 2019, 16, 75–79. [Google Scholar] [CrossRef]
- Biondi, F. Low-rank plus sparse decomposition and localized Radon transform for ship-wake detection in Synthetic Aperture Radar images. IEEE Geosci. Remote Sens. Lett. 2018, 15, 117–121. [Google Scholar] [CrossRef]
- Graziano, M.D. SAR-based ship route estimation by wake components detection and classification. In Proceedings of the 2015 IEEE International Geoscience and Remote Sensing Symposium (IGARSS), Milan, Italy, 26–31 July 2015; pp. 3255–3258. [Google Scholar]
- Ai, J.Q.; Qi, X.Y.; Yu, W.D.; Liu, F. A New ship wake CFAR detection algorithm in SAR images based on image segmentation and normalized Hough transform. J. Electron. Inf. Technol. 2010, 32, 2668–2673. [Google Scholar] [CrossRef]
- Chen, P.; Li, X.; Zheng, G. Rapid detection to long ship wake in synthetic aperture radar satellite imagery. J. Oceanol. Limnol. 2019, 37, 1523–1532. [Google Scholar] [CrossRef]
- Zhao, K.; Zhou, Y.; Chen, X. A Dense Connection Based SAR Ship Detection network. In Proceedings of the 2020 IEEE 9th Joint International Information Technology and Artificial Intelligence Conference (ITAIC), Chongqing, China, 11–13 December 2020; pp. 669–673. [Google Scholar]
- Wang, R.; Xu, F.; Pei, J.; Wang, C.; Huang, Y.; Yang, J.; Wu, J. An Improved Faster R-CNN Based on MSER Decision Criterion for SAR Image Ship Detection in Harbor. In Proceedings of the IGARSS 2019—2019 IEEE International Geoscience and Remote Sensing Symposium, Yokohama, Japan, 28 July–2 August 2019; pp. 1322–1325. [Google Scholar]
- Kim, B.; Yoo, M.; Kim, S. SAR Ship Detection with Deep Land Detection Networks and Land Masking. In Proceedings of the 2022 IEEE International Conference on Consumer Electronics-Asia (ICCE-Asia), Yeosu, Republic of Korea, 26–28 October 2022; pp. 1–3. [Google Scholar]
- Itti, L. A model of saliency-based visual attention for rapid scene analysis. IEEE Trans. Pattern Anal. Mach. Intell. 1998, 20, 1254–1259. [Google Scholar] [CrossRef]
- Achanta, R.; Hemami, S.; Estrada, F.; Susstrunk, S. Frequency-tuned salient region detection. In Proceedings of the 2009 IEEE Conference on Computer Vision and Pattern Recognition, Miami, FL, USA, 20–25 June 2009. [Google Scholar]
- Hou, X.; Zhang, L. Saliency Detection: A Spectral Residual Approach. In Proceedings of the IEEE Conference on Computer Vision & Pattern Recognition, Minneapolis, MN, USA, 17–22 June 2007. [Google Scholar]
- Achanta, R.; Estrada, F.; Wils, P.; Süsstrunk, S. Salient Region Detection and Segmentation. In Computer Vision Systems, ICVS 2008; Springer: Berlin/Heidelberg, Germany, 2008. [Google Scholar]
- Schölkopf, B.; Platt, J.; Hofmann, T. Graph-Based Visual Saliency; MIT Press: Cambridge, MA, USA, 2007. [Google Scholar]
- Qi, S.; Ma, J.; Lin, J.; Li, Y.; Tian, J. Unsupervised Ship Detection Based on Saliency and S-HOG Descriptor From Optical Satellite Images. IEEE Geosci. Remote Sens. Lett. 2015, 12, 1451–1455. [Google Scholar]
- Zhang, N.; Donahue, J.; Girshick, R.; Darrell, T. Part-Based R-CNNs for Fine-Grained Category Detection; Springer: Cham, Switzerland, 2014. [Google Scholar]
- Girshick, R. Fast R-CNN. In Proceedings of the IEEE International Conference on Computer Vision, Santiago, Chile, 7–13 December 2015; pp. 1440–1448. [Google Scholar]
- He, K.; Gkioxari, G.; Dollár, P.; Girshick, R. Mask R-CNN. IEEE Trans. Pattern Anal. Mach. Intell. 2017, 42, 386–397. [Google Scholar] [CrossRef]
- Redmon, J.; Divvala, S.; Girshick, R.; Farhadi, A. You Only Look Once: Unified, Real-Time Object Detection. In Proceedings of the 2016 IEEE Conference on Computer Vision and Pattern Recognition (CVPR), Las Vegas, NV, USA, 27–30 June 2016; pp. 779–788. [Google Scholar]
- Redmon, J.; Farhadi, A. YOLOv3: An Incremental Improvement. arXiv 2018, arXiv:1804.02767. [Google Scholar]
- Dong, X.; Yan, S.; Duan, C. A lightweight vehicles detection network model based on YOLOv5. Eng. Appl. Artif. Intell. 2022, 113, 104914. [Google Scholar] [CrossRef]
- Zhao, Y.H.; Han, X.; Liu, P. A RPCA and RANSAC based algorithm for ship wake detection in SAR images. In Proceedings of the 2018 12th International Symposium on Antennas, Propagation and EM Theory (ISAPE), Hangzhou, China, 3–6 December 2018; pp. 1–4. [Google Scholar]
- Agarwal, S.; Yadav, S.; Singh, K. K-means versus k-means++ clustering technique. In Proceedings of the 2012 Students Conference on Engineering and Systems, Allahabad, India, 16–18 March 2012. [Google Scholar]
- He, K.; Jian, S.; Tang, X. Single image haze removal using dark channel prior. IEEE Conf. Comput. Vis. Pattern Recognit. 2009, 33, 2341–2353. [Google Scholar]
- Chaoyun, X.; Weixing, Z. Threshold Selection Algorithm for Image Segmentation Based on Otsu Rule and Image Entropy. Comput. Eng. 2007, 33, 188–189. [Google Scholar] [CrossRef]
- Yu, M.Y.; Han, M.L.; Shee, C.Y. Autofocusing algorithm comparison in bright field microscopy for automatic vision aided cell micromanipulation. In Proceedings of the IEEE International Conference on Nano/molecular Medicine & Engineering, Hung Hom, China, 5–9 December 2010. [Google Scholar]
- Jain, A.K.; Farrokhnia, F. Unsupervised Texture Segmentation Using Gabor Filters. Pattern Recognit. 1991, 24, 1167–1186. [Google Scholar] [CrossRef]
- Kawata, S.; Ichioka, Y. Iterative image restoration for linearly degraded images. II. Reblurring procedure. J. Opt. Soc. Am. 1980, 70, 768–772. [Google Scholar] [CrossRef]
- Zhou, W.; Bovik, A.C.; Sheikh, H.R.; Simoncelli, E.P. Image Quality Assessment: From Error Visibility to Structural Similarity. IEEE Trans. Image Process. 2004, 13, 600–612. [Google Scholar]
- Rodriguez, R.N. A guide to the Burr type XII distributions. Biometrika 1977, 64, 129–134. [Google Scholar] [CrossRef]
- Sun, X.; Liu, Y.; Yan, Z.; Wang, P.; Diao, W.; Fu, K. SRAFNet: Shape robust anchor-free network for garbage dumps in remote sensing imagery. IEEE Trans. Geosci. Remote Sens. 2021, 59, 6154–6168. [Google Scholar] [CrossRef]
- Shao, Q. Notes on maximum likelihood estimation for the three-parameter Burr XII distribution. Comput. Stat. Data Anal. 2004, 45, 675–687. [Google Scholar] [CrossRef]
- Ester, M.; Kriegel, H.P.; Sander, J.; Xu, X. A Density-Based Algorithm for Discovering Clusters in Large Spatial Databases with Noise; AAAI Press: Washington, DC, USA, 1996. [Google Scholar]
- He, Q.; Sun, X.; Yan, Z.; Li, B.; Fu, K. Multi-Object Tracking in Satellite Videos With Graph-Based Multitask Modeling. IEEE Trans. Geosci. Remote Sens. 2022, 60, 5615913. [Google Scholar] [CrossRef]
- Cotton, S.L.; Scanlon, W.G. Higher Order Statistics for Lognormal Small-Scale Fading in Mobile Radio Channels. IEEE Antennas Wirel. Propag. Lett. 2007, 6, 540–543. [Google Scholar] [CrossRef]
- Fay, M.P.; Feuer, E.J. Confidence intervals for directly standardized rates: A method based on the gamma distribution. Stat. Med. 2010, 16, 791–801. [Google Scholar] [CrossRef]
- Ma, Z. High-Speed Lightweight Ship Detection Algorithm Based on YOLO-V4 for Three-Channels RGB SAR Image. Remote Sens. 2021, 13, 1909. [Google Scholar] [CrossRef]




















| Normal | Gamma | Lognormal | Burr Type XII | |
|---|---|---|---|---|
| Image (a) | 2.2350 | 0.9067 | 0.4849 | 0.2664 |
| Image (b) | 1.2977 | 0.1998 | 0.1340 | 0.2028 |
| Image (c) | 0.0437 | 0.0250 | 0.0753 | 0.0157 |
| Image (d) | 0.0697 | 0.0439 | 0.0513 | 0.0561 |
| Intuition | ||||||
|---|---|---|---|---|---|---|
| Figure 7a | 2.3050 | 21.5425 | 4.7419 | 0.9841 | 0.8836 | common |
| Figure 7b | 2.5348 | 12.9861 | 5.6017 | 0.9679 | 0.9296 | common |
| Figure 7c | 3.8685 | 50.5564 | 7.3810 | 0.9660 | 0.9870 | good |
| Figure 7d | 2.1113 | 2.9499 | 5.4744 | 0.9971 | 0.1669 | bad |
| Figure 11a | 5.4253 | 90.8874 | 7.2396 | 0.9701 | 0.9890 | good |
| Figure 11b | 3.7863 | 79.6189 | 7.3615 | 0.9607 | 0.9865 | good |
| Method | |||||
|---|---|---|---|---|---|
| YOLOv5 | 0% | 0% | 0% | - | 135.0 |
| YOLOv8 | 2% | 0% | 1% | - | 165.2 |
| YOLOX | 2.5% | 0% | 1.25% | - | 185.3 |
| Our method (YOLOv5-based) | 75% | 72% | 73% | 22% | 135.0 |
Disclaimer/Publisher’s Note: The statements, opinions and data contained in all publications are solely those of the individual author(s) and contributor(s) and not of MDPI and/or the editor(s). MDPI and/or the editor(s) disclaim responsibility for any injury to people or property resulting from any ideas, methods, instructions or products referred to in the content. |
© 2024 by the authors. Licensee MDPI, Basel, Switzerland. This article is an open access article distributed under the terms and conditions of the Creative Commons Attribution (CC BY) license (https://creativecommons.org/licenses/by/4.0/).
Share and Cite
Mou, F.; Fan, Z.; Ge, Y.; Wang, L.; Li, X. An Efficient Ship Detection Method Based on YOLO and Ship Wakes Using High-Resolution Optical Jilin1 Satellite Imagery. Sensors 2024, 24, 6708. https://doi.org/10.3390/s24206708
Mou F, Fan Z, Ge Y, Wang L, Li X. An Efficient Ship Detection Method Based on YOLO and Ship Wakes Using High-Resolution Optical Jilin1 Satellite Imagery. Sensors. 2024; 24(20):6708. https://doi.org/10.3390/s24206708
Chicago/Turabian StyleMou, Fangli, Zide Fan, Yunping Ge, Lei Wang, and Xinming Li. 2024. "An Efficient Ship Detection Method Based on YOLO and Ship Wakes Using High-Resolution Optical Jilin1 Satellite Imagery" Sensors 24, no. 20: 6708. https://doi.org/10.3390/s24206708
APA StyleMou, F., Fan, Z., Ge, Y., Wang, L., & Li, X. (2024). An Efficient Ship Detection Method Based on YOLO and Ship Wakes Using High-Resolution Optical Jilin1 Satellite Imagery. Sensors, 24(20), 6708. https://doi.org/10.3390/s24206708

