Geometric Wide-Angle Camera Calibration: A Review and Comparative Study
Abstract
1. Introduction
2. Related Work
2.1. Camera Models
2.2. Calibration Targets
2.3. Calibration Algorithms
3. Geometric Camera Calibration Components
3.1. Camera Models
3.1.1. Global Models for Wide-Angle Cameras
3.1.2. Global Fisheye Camera Models
3.1.3. Global Omnidirectional Camera Models
3.1.4. Local Generic Camera Models
3.2. Calibration Targets
3.2.1. Checkerboard
3.2.2. Circle Grid
3.2.3. Charuco
3.2.4. AprilGrid
3.2.5. Deltille Grid
3.3. Calibration Algorithms
4. GCC Tools
4.1. BabelCalib
4.2. Basalt
4.3. calio.io
4.4. Camodocal
4.5. Kalibr
4.6. MATLAB Camera Calibrator
4.7. ROS Camera Calibrator
4.8. Self-Calibration Tools with SfM
5. Evaluation of Target-Based GCC Tools
5.1. Data Acquisition
5.2. Data Processing

5.3. Simulation Results
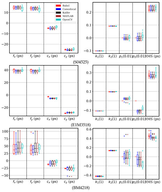
5.4. Real Data Results
6. Conclusions and Research Trends
- Outlier handling is crucial for optimization-based camera calibration tools. These outliers are usually detected on corners a few pixels away from their actual image locations, and often occur in somewhat blurry images. Luckily, most GCC tools can deal with outliers.
- The GCC tools, Camodocal, Kalibr, and the MATLAB calibrator, support the pinhole radial–tangential model well. BabelCalib and Camodocal support the KB-8 model well, and TartanCalib supports the KB-8 model for a camera with a DAOV well. Camodocal, TartanCalib, and OpenCV support the Mei model well, but the model suffers from parameter instability and redundancy.Moreover, the pinhole radial–tangential model is suitable for cameras of a DAOV , but becomes inadequate for those of a DAOV over . The KB-8 model is typically preferred for cameras with a large DAOV due to its wide support and good accuracy when a global camera model is to be obtained.
- The various failure cases revealed in our tests imply the intricacy in camera model initialization and optimization of a classic GCC tool. Aside from these failures, these GCC tools in item 2 agree well with each other when calibrating conventional, fisheye, and omnidirectional cameras with proper global camera models.
Author Contributions
Funding
Data Availability Statement
Conflicts of Interest
Abbreviations
| AOV | Angle of view |
| DAOV | Diagonal angle of view |
| DLT | Direct linear transform |
| DS | Double sphere |
| EUCM | Extended unified camera model |
| FOV | Field of view |
| GCC | Geometrical camera calibration |
| KB | Kannala–Brandt |
| LIESMARS | Laboratory of Information Engineering in Surveying, Mapping And Remote Sensing |
| RMS | Root mean square |
| RPC | Rational polynomial coefficient |
| SfM | Structure from motion |
| UCM | Unified camera model |
References
- Toth, C.; Jóźków, G. Remote sensing platforms and sensors: A survey. ISPRS J. Photogramm. Remote Sens. 2016, 115, 22–36. [Google Scholar] [CrossRef]
- Li, H.; Wang, S.; Bai, Z.; Wang, H.; Li, S.; Wen, S. Research on 3D reconstruction of binocular vision based on thermal infrared. Sensors 2023, 23, 7372. [Google Scholar] [CrossRef] [PubMed]
- Kong, X.; Hucks, R.G. Preserving our heritage: A photogrammetry-based digital twin framework for monitoring deteriorations of historic structures. Autom. Constr. 2023, 152, 104928. [Google Scholar] [CrossRef]
- Miao, Y.; Tao, X.; Xu, X.; Lu, J. Joint 3-D shape estimation and landmark localization from monocular cameras of intelligent vehicles. IEEE Internet Things J. 2019, 6, 15–25. [Google Scholar] [CrossRef]
- Finlayson, G.; Gong, H.; Fisher, R.B. Color homography: Theory and applications. IEEE Trans. Pattern Anal. Mach. Intell. 2019, 41, 20–33. [Google Scholar] [CrossRef]
- Barnard, K.; Cardei, V.; Funt, B. A comparison of computational color constancy algorithms. I: Methodology and experiments with synthesized data. IEEE Trans. Image Process. 2002, 11, 972–984. [Google Scholar] [CrossRef]
- Tao, C.V.; Hu, Y. A comprehensive study of the rational function model for photogrammetric processing. Photogramm. Eng. Remote Sens. 2001, 67, 1347–1357. [Google Scholar]
- Kraus, K. Photogrammetry: Geometry from Images and Laser Scans; Walter De Gruyter: Berlin, Germany, 2007; Volume 1. [Google Scholar]
- Kannala, J.; Brandt, S. A generic camera model and calibration method for conventional, wide-angle, and fish-eye lenses. IEEE Trans. Pattern Anal. Mach. Intell. 2006, 28, 1335–1340. [Google Scholar] [CrossRef]
- Scaramuzza, D.; Martinelli, A.; Siegwart, R. A toolbox for easily calibrating omnidirectional cameras. In Proceedings of the 2006 IEEE/RSJ International Conference on Intelligent Robots and Systems (IROS), Beijing, China, 9–15 October 2006; pp. 5695–5701. [Google Scholar] [CrossRef]
- Sturm, P.; Ramalingam, S.; Tardif, J.P.; Gasparini, S.; Barreto, J. Camera models and fundamental concepts used in geometric computer vision. Found. Trends® Comput. Graph. Vis. 2011, 6, 1–183. [Google Scholar] [CrossRef]
- Fan, J.; Zhang, J.; Maybank, S.J.; Tao, D. Wide-angle image rectification: A survey. Int. J. Comput. Vis. 2022, 130, 747–776. [Google Scholar] [CrossRef]
- Edmundson, K.L.; Alexandrov, O.; Archinal, B.A.; Becker, K.J.; Becker, T.L.; Mapel, J.A.; Moratto, Z.M.; Nefian, A.V.; Richie, J.O.; Robinson, M.S.; et al. Revisiting the Apollo photogrammetric mapping system. Int. Arch. Photogramm. Remote Sens. Spat. Inf. Sci. 2018, XLII-1, 133–140. [Google Scholar] [CrossRef]
- Schöps, T.; Larsson, V.; Pollefeys, M.; Sattler, T. Why having 10,000 parameters in your camera model is better than twelve. In Proceedings of the IEEE/CVF Conference on Computer Vision and Pattern Recognition (CVPR), Virtual, 13–19 June 2020; pp. 2535–2544. [Google Scholar] [CrossRef]
- Ramalingam, S.; Sturm, P. A unifying model for camera calibration. IEEE Trans. Pattern Anal. Mach. Intell. 2017, 39, 1309–1319. [Google Scholar] [CrossRef] [PubMed]
- Liao, K.; Nie, L.; Huang, S.; Lin, C.; Zhang, J.; Zhao, Y.; Gabbouj, M.; Tao, D. Deep learning for camera calibration and beyond: A survey. Technical Report. arXiv 2023, arXiv:2303.10559. [Google Scholar]
- Mathworks Inc. MATLAB: Computer Vision Toolbox (R2021a); Mathworks Inc.: Natick, MA, USA, 2021. [Google Scholar]
- Agisoft LLC. Agisoft Metashape; Agisoft LLC.: St. Petersburg, Russia, 2022. [Google Scholar]
- Maye, J.; Sommer, H.; Agamennoni, G.; Siegwart, R.; Furgale, P. Online self-calibration for robotic systems. Int. J. Robot. Res. 2016, 35, 357–380. [Google Scholar] [CrossRef]
- Bradski, G.R.; Kaehler, A. Learning OpenCV: Computer Vision with the OpenCV Library, 1st ed.; O’Reilly Media, Inc.: Sebastopol, CA, USA, 2008. [Google Scholar]
- Hieronymus, J. Comparison of methods for geometric camera calibration. Int. Arch. Photogramm. Remote Sens. Spat. Inf. Sci. 2012, XXXIX-B5, 595–599. [Google Scholar] [CrossRef]
- Schmalz, C.; Forster, F.; Angelopoulou, E. Camera calibration: Active versus passive targets. Opt. Eng. 2011, 50, 113601. [Google Scholar] [CrossRef]
- Hughes, C.; Glavin, M.; Jones, E.; Denny, P. Review of geometric distortion compensation in fish-eye cameras. In Proceedings of the IET Irish Signals and Systems Conference (ISSC 2008), Galway, Ireland, 18–19 June 2008; pp. 162–167. [Google Scholar] [CrossRef]
- Puig, L.; Bermúdez, J.; Sturm, P.; Guerrero, J.J. Calibration of omnidirectional cameras in practice: A comparison of methods. Comput. Vis. Image Underst. 2012, 116, 120–137. [Google Scholar] [CrossRef]
- Zhang, Y.; Zhao, L.; Hu, W. A survey of catadioptric omnidirectional camera calibration. Int. J. Inf. Technol. Comput. Sci. 2013, 5, 13–20. [Google Scholar] [CrossRef]
- Usenko, V.; Demmel, N.; Cremers, D. The double sphere camera model. In Proceedings of the 2018 International Conference on 3D Vision (3DV), Verona, Italy, 5–8 September 2018; pp. 552–560. [Google Scholar]
- Khomutenko, B.; Garcia, G.; Martinet, P. An enhanced unified camera model. IEEE Robot. Autom. Lett. 2016, 1, 137–144. [Google Scholar] [CrossRef]
- Devernay, F.; Faugeras, O. Straight lines have to be straight. Mach. Vis. Appl. 2001, 13, 14–24. [Google Scholar] [CrossRef]
- Bergamasco, F.; Albarelli, A.; Rodolà, E.; Torsello, A. Can a fully unconstrained imaging model be applied effectively to central cameras? In Proceedings of the 2013 IEEE Conference on Computer Vision and Pattern Recognition (CVPR), Portland, OR, USA, 23–28 June 2013; pp. 1391–1398. [Google Scholar] [CrossRef]
- Beck, J.; Stiller, C. Generalized B-spline camera model. In Proceedings of the 2018 IEEE Intelligent Vehicles Symposium (IV), Changshu, China, 26 June–1 July 2018; pp. 2137–2142. [Google Scholar] [CrossRef]
- Ramalingam, S. Generic imaging models: Calibration and 3d reconstruction algorithms. PhD Thesis, Institut National Polytechnique de Grenoble-INPG, Grenoble, France, 2006. [Google Scholar]
- Kenefick, J.F.; Gyer, M.S.; Harp, B.F. Analytical self-calibration. Photogramm. Eng. 1972, 38, 1117–1126. [Google Scholar]
- Gruen, A.; Beyer, H.A. System calibration through self-calibration. In Calibration and Orientation of Cameras in Computer Vision; Huang, T.S., Kohonen, T., Schroeder, M.R., Gruen, A., Huang, T.S., Eds.; Springer: Berlin/Heidelberg, Germany, 2001; Volume 34, pp. 163–193. [Google Scholar] [CrossRef]
- Stamatopoulos, C.; Fraser, C.S. Automated target-free network orienation and camera calibration. ISPRS Ann. Photogramm. Remote Sens. Spatial Inf. Sci. 2014, II5, 339–346. [Google Scholar] [CrossRef]
- Mallon, J.; Whelan, P.F. Which pattern? Biasing aspects of planar calibration patterns and detection methods. Pattern Recognit. Lett. 2007, 28, 921–930. [Google Scholar] [CrossRef]
- Kato, H.; Billinghurst, M. Marker tracking and HMD calibration for a video-based augmented reality conferencing system. In Proceedings of the 2nd IEEE and ACM International Workshop on Augmented Reality (IWAR’99), San Francisco, CA, USA, 20–21 October 1999; pp. 85–94. [Google Scholar] [CrossRef]
- Olson, E. AprilTag: A robust and flexible visual fiducial system. In Proceedings of the 2011 IEEE International Conference on Robotics and Automation, Shanghai, China, 9–13 May 2011; pp. 3400–3407. [Google Scholar] [CrossRef]
- Garrido-Jurado, S.; Muñoz-Salinas, R.; Madrid-Cuevas, F.J.; Marín-Jiménez, M.J. Automatic generation and detection of highly reliable fiducial markers under occlusion. Pattern Recognit. 2014, 47, 2280–2292. [Google Scholar] [CrossRef]
- dos Santos Cesar, D.B.; Gaudig, C.; Fritsche, M.; dos Reis, M.A.; Kirchner, F. An evaluation of artificial fiducial markers in underwater environments. In Proceedings of the OCEANS 2015—Genova, Genova, Italy, 18–21 May 2015; pp. 1–6. [Google Scholar] [CrossRef]
- Fiala, M. ARTag, a fiducial marker system using digital techniques. In Proceedings of the 2005 IEEE Computer Society Conference on Computer Vision and Pattern Recognition (CVPR’05), San Diego, CA, USA, 20–26 June 2005; Volume 2, pp. 590–596. [Google Scholar] [CrossRef]
- Atcheson, B.; Heide, F.; Heidrich, W. CALTag: High precision fiducial markers for camera calibration. In Vision, Modeling, and Visualization; The Eurographics Association: Eindhoven, The Netherlands, 2010; Volume 10, pp. 41–48. [Google Scholar]
- Sagitov, A.; Shabalina, K.; Sabirova, L.; Li, H.; Magid, E. ARTag, AprilTag and CALTag fiducial marker systems: Comparison in a presence of partial marker occlusion and rotation. In Proceedings of the 14th International Conference on Informatics in Control, Automation and Robotics, Madrid, Spain, 26–28 July 2017; pp. 182–191. [Google Scholar] [CrossRef]
- Kunz, C.; Genten, V.; Meißner, P.; Hein, B. Metric-based evaluation of fiducial markers for medical procedures. In Proceedings of the Medical Imaging 2019: Image-Guided Procedures, Robotic Interventions, and Modeling, San Diego, CA, USA, 17–19 February 2019; Volume 10951, pp. 690–703. [Google Scholar]
- Benligiray, B.; Topal, C.; Akinlar, C. STag: A stable fiducial marker system. Image Vis. Comput. 2019, 89, 158–169. [Google Scholar] [CrossRef]
- Kalaitzakis, M.; Carroll, S.; Ambrosi, A.; Whitehead, C.; Vitzilaios, N. Experimental comparison of fiducial markers for pose estimation. In Proceedings of the 2020 International Conference on Unmanned Aircraft Systems (ICUAS), Athens, Greece, 1–4 September 2020; pp. 781–789. [Google Scholar] [CrossRef]
- Lightbody, P.; Krajník, T.; Hanheide, M. A versatile high-performance visual fiducial marker detection system with scalable identity encoding. In Proceedings of the Symposium on Applied Computing, Marrakech, Morocco, 3–7 April 2017; pp. 276–282. [Google Scholar]
- Springer, J.; Kyas, M. Evaluation of orientation ambiguity and detection rate in April Tag and WhyCode. In Proceedings of the 2022 Sixth IEEE International Conference on Robotic Computing (IRC), Naples, Italy, 5–7 December 2022; pp. 281–286. [Google Scholar] [CrossRef]
- García-Ruiz, P.; Romero-Ramirez, F.J.; Muñoz-Salinas, R.; Marín-Jiménez, M.J.; Medina-Carnicer, R. Fiducial Objects: Custom Design and Evaluation. Sensors 2023, 23, 9649. [Google Scholar] [CrossRef]
- Clarke, T.A.; Fryer, J.G. The development of camera calibration methods and models. Photogramm. Rec. 1998, 16, 51–66. [Google Scholar] [CrossRef]
- Salvi, J.; Armangué, X.; Batlle, J. A comparative review of camera calibrating methods with accuracy evaluation. Pattern Recognit. 2002, 35, 1617–1635. [Google Scholar] [CrossRef]
- Remondino, F.; Fraser, C. Digital camera calibration methods: Considerations and comparisons. In Proceedings of the International Archives of the Photogrammetry, Remote Sensing and Spatial Information Sciences, Dresden, Germany, 25–27 September 2006; Volume 36, pp. 266–272. [Google Scholar] [CrossRef]
- Lichti, D.D.; Kim, C. A comparison of three geometric self-calibration methods for range cameras. Remote Sens. 2011, 3, 1014–1028. [Google Scholar] [CrossRef]
- Joshi, B.; Ohmi, K.; Nose, K. Comparative study of camera calibration methods for 3D particle tracking velocimetry. Int. J. Innov. Comput. Inf. Control. 2013, 9, 1971–1986. [Google Scholar]
- Abdel-Aziz, Y.; Karara, H. Direct linear transformation from comparator coordinates into object space coordinates in close-range photogrammetry. Photogramm. Eng. Remote Sens. 2015, 81, 103–107. [Google Scholar] [CrossRef]
- Fraser, C.S.; Dial, G.; Grodecki, J. Sensor orientation via RPCs. ISPRS J. Photogramm. Remote Sens. 2006, 60, 182–194. [Google Scholar] [CrossRef]
- Tsai, R.Y. A versatile camera calibration technique for high-accuracy 3D machine vision metrology using off-the-shelf TV cameras and lenses. IEEE J. Robot. Autom. 1987, 3, 323–344. [Google Scholar] [CrossRef]
- Usamentiaga, R.; Ibarra-Castanedo, C.; Maldague, X. Comparison and evaluation of geometric calibration methods for infrared cameras to perform metric measurements on a plane. Appl. Opt. 2018, 57, D1–D10. [Google Scholar] [CrossRef] [PubMed]
- Kanhere, N.K.; Birchfield, S.T. A taxonomy and analysis of camera calibration methods for traffic monitoring applications. IEEE Trans. Intell. Transp. Syst. 2010, 11, 441–452. [Google Scholar] [CrossRef]
- Hartley, R.; Zisserman, A. Multiple View Geometry in Computer Vision, 2nd ed.; Cambridge University Press: Cambridge, UK, 2003. [Google Scholar]
- Zhang, Z. A flexible new technique for camera calibration. IEEE Trans. Pattern Anal. Mach. Intell. 2000, 22, 1330–1334. [Google Scholar] [CrossRef]
- Albiol, F.; Corbi, A.; Albiol, A. Evaluation of modern camera calibration techniques for conventional diagnostic X-ray imaging settings. Radiol. Phys. Technol. 2017, 10, 68–81. [Google Scholar] [CrossRef]
- Tiscareño, J.; Albajez, J.A.; Santolaria, J. Analysis of different camera calibration methods on a camera-projector measuring system. Procedia Manuf. 2019, 41, 539–546. [Google Scholar] [CrossRef]
- Ayaz, S.M.; Kim, M.Y.; Park, J. Survey on zoom-lens calibration methods and techniques. Mach. Vis. Appl. 2017, 28, 803–818. [Google Scholar] [CrossRef]
- Yin, W.; Zang, X.; Wu, L.; Zhang, X.; Zhao, J. A distortion correction method based on actual camera imaging principles. Sensors 2024, 24, 2406. [Google Scholar] [CrossRef]
- Ricolfe-Viala, C.; Sánchez-Salmerón, A.J. Robust metric calibration of non-linear camera lens distortion. Pattern Recognit. 2010, 43, 1688–1699. [Google Scholar] [CrossRef]
- Wang, M.; Yang, B.; Hu, F.; Zang, X. On-orbit geometric calibration model and its applications for high-resolution optical satellite imagery. Remote Sens. 2014, 6, 4391–4408. [Google Scholar] [CrossRef]
- Pi, Y.; Wang, M.; Yang, B.; Gao, Z. Robust camera distortion calibration via unified RPC model for optical remote sensing satellites. IEEE Trans. Geosci. Remote Sens. 2022, 60, 1–15. [Google Scholar] [CrossRef]
- Brown, D.C. Close-range camera calibration. Photogramm. Eng. 1971, 37, 855–866. [Google Scholar]
- Drap, P.; Lefèvre, J. An exact formula for calculating inverse radial lens distortions. Sensors 2016, 16, 807. [Google Scholar] [CrossRef]
- PhotoModeler Technologies. PhotoModeler; PhotoModeler Technologies: Vancouver, BC, Canada, 2022. [Google Scholar]
- Fitzgibbon, A.W. Simultaneous linear estimation of multiple view geometry and lens distortion. In Proceedings of the 2001 IEEE Computer Society Conference on Computer Vision and Pattern Recognition (CVPR 2001), Kauai, HI, USA, 8–14 December 2001. [Google Scholar] [CrossRef]
- Li, H.; Hartley, R. A non-iterative method for correcting lens distortion from nine point correspondences. In Proceedings of the OMNIVIS 2005, Beijing, China, 21 October 2005. [Google Scholar]
- Weng, J.; Cohen, P.; Herniou, M. Camera calibration with distortion models and accuracy evaluation. IEEE Trans. Pattern Anal. Mach. Intell. 1992, 14, 965–980. [Google Scholar] [CrossRef]
- Abraham, S.; Förstner, W. Fish-eye-stereo calibration and epipolar rectification. ISPRS J. Photogramm. Remote Sens. 2005, 59, 278–288. [Google Scholar] [CrossRef]
- Schneider, D.; Schwalbe, E.; Maas, H.G. Validation of geometric models for fisheye lenses. ISPRS J. Photogramm. Remote Sens. 2009, 64, 259–266. [Google Scholar] [CrossRef]
- Courbon, J.; Mezouar, Y.; Eckt, L.; Martinet, P. A generic fisheye camera model for robotic applications. In Proceedings of the 2007 IEEE/RSJ International Conference on Intelligent Robots and Systems, San Diego, CA, USA, 29 October–2 November 2007; pp. 1683–1688. [Google Scholar] [CrossRef]
- Mei, C.; Rives, P. Single view point omnidirectional camera calibration from planar grids. In Proceedings of the 2007 IEEE International Conference on Robotics and Automation, Rome, Italy, 10–14 April 2007; pp. 3945–3950. [Google Scholar] [CrossRef]
- Li, B.; Heng, L.; Koser, K.; Pollefeys, M. A multiple-camera system calibration toolbox using a feature descriptor-based calibration pattern. In Proceedings of the 2013 IEEE/RSJ International Conference on Intelligent Robots and Systems, Tokyo, Japan, 3–7 November 2013; pp. 1301–1307. [Google Scholar] [CrossRef]
- Heng, L.; Li, B.; Pollefeys, M. CamOdoCal: Automatic intrinsic and extrinsic calibration of a rig with multiple generic cameras and odometry. In Proceedings of the 2013 IEEE/RSJ International Conference on Intelligent Robots and Systems, Tokyo, Japan, 3–7 November 2013; pp. 1793–1800. [Google Scholar] [CrossRef]
- Rosebrock, D.; Wahl, F.M. Generic camera calibration and modeling using spline surfaces. In Proceedings of the 2012 IEEE Intelligent Vehicles Symposium, Alcala de Henares, Spain, 3–7 June 2012; pp. 51–56. [Google Scholar]
- Keivan, N.; Sibley, G. Constant-time monocular self-calibration. In Proceedings of the 2014 IEEE International Conference on Robotics and Biomimetics (ROBIO 2014), Bali, Indonesia, 5–10 December 2014; pp. 1590–1595. [Google Scholar] [CrossRef]
- Pix4D S.A. PIX4Dmapper; Pix4D S.A.: Prilly, Switzerland, 2022. [Google Scholar]
- An, G.H.; Lee, S.; Seo, M.W.; Yun, K.; Cheong, W.S.; Kang, S.J. Charuco board-based omnidirectional camera calibration method. Electronics 2018, 7, 421. [Google Scholar] [CrossRef]
- Ha, H.; Perdoch, M.; Alismail, H.; Kweon, I.S.; Sheikh, Y. Deltille grids for geometric camera calibration. In Proceedings of the 2017 IEEE International Conference on Computer Vision (ICCV), Venice, Italy, 22–29 October 2017; pp. 5354–5362. [Google Scholar] [CrossRef]
- Gao, W.; Lin, J.; Zhang, F.; Shen, S. A screen-based method for automated camera intrinsic calibration on production lines. In Proceedings of the 2019 IEEE 15th International Conference on Automation Science and Engineering (CASE), Vancouver, BC, Canada, 22–26 August 2019; pp. 392–398. [Google Scholar] [CrossRef]
- Ha, H.; Bok, Y.; Joo, K.; Jung, J.; Kweon, I.S. Accurate camera calibration robust to defocus using a smartphone. In Proceedings of the 2015 IEEE International Conference on Computer Vision (ICCV), Santiago, Chile, 7–13 December 2015; pp. 828–836. [Google Scholar] [CrossRef]
- Bell, T.; Xu, J.; Zhang, S. Method for out-of-focus camera calibration. Appl. Opt. 2016, 55, 2346–2352. [Google Scholar] [CrossRef]
- Abeles, P. BoofCV, 2011–2021. Available online: https://boofcv.org/index.php (accessed on 24 September 2024).
- Rufli, M.; Scaramuzza, D.; Siegwart, R. Automatic detection of checkerboards on blurred and distorted images. In Proceedings of the 2008 IEEE/RSJ International Conference on Intelligent Robots and Systems, Nice, France, 22–26 September 2008; pp. 3121–3126. [Google Scholar] [CrossRef]
- Geiger, A.; Moosmann, F.; Car, Ö.; Schuster, B. Automatic camera and range sensor calibration using a single shot. In Proceedings of the 2012 IEEE International Conference on Robotics and Automation (ICRA), St. Paul, MN, USA, 14–18 May 2012; pp. 3936–3943. [Google Scholar] [CrossRef]
- Fuersattel, P.; Dotenco, S.; Placht, S.; Balda, M.; Maier, A.; Riess, C. OCPAD—Occluded checkerboard pattern detector. In Proceedings of the 2016 IEEE Winter Conference on Applications of Computer Vision (WACV), Lake Placid, NY, USA, 7–10 March 2016; pp. 1–9. [Google Scholar] [CrossRef]
- Yan, Y.; Yang, P.; Yan, L.; Wan, J.; Sun, Y.; Tansey, K.; Asundi, A.K.; Zhao, H. Automatic checkerboard detection for camera calibration using self-correlation. J. Electron. Imaging 2018, 27, 033014. [Google Scholar] [CrossRef]
- Meng, X.; Hu, Z. A new easy camera calibration technique based on circular points. Pattern Recognit. 2003, 36, 1155–1164. [Google Scholar] [CrossRef]
- Jeong, Y.; Ahn, S.; Choy, C.; Anandkumar, A.; Cho, M.; Park, J. Self-calibrating neural radiance fields. In Proceedings of the 2021 IEEE/CVF International Conference on Computer Vision (ICCV), Montreal, QC, Canada, 10–17 October 2021; pp. 5826–5834. [Google Scholar] [CrossRef]
- Li, Y.; Zhao, Z.; Chen, Y.; Zhang, X.; Tian, R. Automatic Roadside Camera Calibration with Transformers. Sensors 2023, 23, 9527. [Google Scholar] [CrossRef] [PubMed]
- Li, S.; Yoon, H.S. Enhancing Camera Calibration for Traffic Surveillance with an Integrated Approach of Genetic Algorithm and Particle Swarm Optimization. Sensors 2024, 24, 1456. [Google Scholar] [CrossRef] [PubMed]
- Rehder, J.; Nikolic, J.; Schneider, T.; Siegwart, R. A direct formulation for camera calibration. In Proceedings of the 2017 IEEE International Conference on Robotics and Automation (ICRA), Singapore, 29 May–3 June 2017; pp. 6479–6486. [Google Scholar] [CrossRef]
- Sarlin, P.E.; Lindenberger, P.; Larsson, V.; Pollefeys, M. Pixel-perfect structure-from-motion with featuremetric refinement. IEEE Trans. Pattern Anal. Mach. Intell. 2023, 1–12. [Google Scholar] [CrossRef] [PubMed]
- Larsson, V.; Sattler, T.; Kukelova, Z.; Pollefeys, M. Revisiting radial distortion absolute pose. In Proceedings of the IEEE/CVF International Conference on Computer Vision (ICCV), Seoul, Republic of Korea, 27 October–2 November 2019; pp. 1062–1071. [Google Scholar]
- Unal, G.; Yezzi, A.; Soatto, S.; Slabaugh, G. A variational approach to problems in calibration of multiple cameras. IEEE Trans. Pattern Anal. Mach. Intell. 2007, 29, 1322–1338. [Google Scholar] [CrossRef]
- Lee, Y.J.; Yilmaz, A.; Mendoza-Schrock, O. In-flight camera platform geometric calibration of the aerial multi-head camera system. In Proceedings of the IEEE 2010 National Aerospace & Electronics Conference, Dayton, OH, USA, 14–16 July 2010; pp. 136–139. [Google Scholar] [CrossRef]
- Brauer-Burchardt, C.; Voss, K. A new algorithm to correct fish-eye- and strong wide-angle-lens-distortion from single images. In Proceedings of the 2001 International Conference on Image Processing (Cat. No.01CH37205), Thessaloniki, Greece, 7–10 October 2001; Volume 1, pp. 225–228. [Google Scholar] [CrossRef]
- Ahmed, M.; Farag, A. Nonmetric calibration of camera lens distortion: Differential methods and robust estimation. IEEE Trans. Image Process. 2005, 14, 1215–1230. [Google Scholar] [CrossRef]
- Bukhari, F.; Dailey, M.N. Automatic radial distortion estimation from a single image. J. Math. Imaging Vis. 2013, 45, 31–45. [Google Scholar] [CrossRef]
- Xue, Z.; Xue, N.; Xia, G.S.; Shen, W. Learning to calibrate straight lines for fisheye image rectification. In Proceedings of the 2019 IEEE/CVF Conference on Computer Vision and Pattern Recognition (CVPR), Long Beach, CA, USA, 15–20 June 2019; pp. 1643–1651. [Google Scholar] [CrossRef]
- Lin, Y.; Larsson, V.; Geppert, M.; Kukelova, Z.; Pollefeys, M.; Sattler, T. Infrastructure-based multi-camera calibration using radial projections. In Proceedings of the European Conference on Computer Vision (ECCV), Glasgow, UK, 23–28 August 2020; pp. 327–344. [Google Scholar]
- Huai, J.; Lin, Y.; Zhuang, Y.; Toth, C.; Chen, D. Observability analysis and keyframe-based filtering for visual inertial odometry with full self-calibration. IEEE Trans. Robot. 2022, 38, 3219–3237. [Google Scholar] [CrossRef]
- Faugeras, O.D.; Luong, Q.T.; Maybank, S.J. Camera self-calibration: Theory and experiments. In Proceedings of the Computer Vision—ECCV’92; Sandini, G., Ed.; Lecture Notes in Computer Science; Springer: Berlin/Heidelberg, Germany, 1992; pp. 321–334. [Google Scholar]
- Hemayed, E. A survey of camera self-calibration. In Proceedings of the IEEE Conference on Advanced Video and Signal Based Surveillance, Miami, FL, USA, 22 July 2003; pp. 351–357. [Google Scholar] [CrossRef]
- Schonberger, J.L.; Frahm, J.M. Structure-from-motion revisited. In Proceedings of the IEEE Conference on Computer Vision and Pattern Recognition, Las Vegas, NV, USA, 27–30 June 2016; pp. 4104–4113. [Google Scholar]
- Liu, A.; Marschner, S.; Snavely, N. Caliber: Camera localization and calibration using rigidity constraints. Int. J. Comput. Vis. 2016, 118, 1–21. [Google Scholar] [CrossRef]
- Oliveira, M.; Castro, A.; Madeira, T.; Dias, P.; Santos, V. A general approach to the extrinsic calibration of intelligent vehicles using ROS. In Proceedings of the Robot 2019: Fourth Iberian Robotics Conference, Porto, Portugal, 20–22 November 2019; Silva, M.F., Luís Lima, J., Reis, L.P., Sanfeliu, A., Tardioli, D., Eds.; Advances in Intelligent Systems and Computing. Springer: Berlin/Heidelberg, Germany, 2019; pp. 203–215. [Google Scholar] [CrossRef]
- Lochman, Y.; Liepieshov, K.; Chen, J.; Perdoch, M.; Zach, C.; Pritts, J. BabelCalib: A universal approach to calibrating central cameras. In Proceedings of the 2021 IEEE/CVF International Conference on Computer Vision (ICCV), Montreal, QC, Canada, 10–17 October 2021; pp. 15233–15242. [Google Scholar] [CrossRef]
- calib.io. Camera calibrator, 2022. Available online: https://calib.io/products/calib (accessed on 24 September 2024).
- University of Colorado. Calibu; University of Colorado: Boulder, CO, USA, 2022. [Google Scholar]
- IVISO GmbH. camcalib; IVISO GmbH: Vienna, Austria, 2022. [Google Scholar]
- Zhang, Y.; Zhao, X.; Qian, D. Learning-based distortion correction and feature detection for high precision and robust camera calibration. IEEE Robot. Autom. Lett. 2022, 7, 10470–10477. [Google Scholar] [CrossRef]
- Schönbein, M.; Strauß, T.; Geiger, A. Calibrating and centering quasi-central catadioptric cameras. In Proceedings of the 2014 IEEE International Conference on Robotics and Automation (ICRA), Hong Kong, China, 31 May–5 June 2014; pp. 4443–4450. [Google Scholar] [CrossRef]
- Duisterhof, B.P.; Hu, Y.; Teng, S.H.; Kaess, M.; Scherer, S. TartanCalib: Iterative Wide-Angle Lens Calibration Using Adaptive Subpixel Refinement of AprilTags. Available online: https://arxiv.org/abs/2210.02511 (accessed on 24 September 2024).
- Rameau, F.; Park, J.; Bailo, O.; Kweon, I.S. MC-Calib: A generic and robust calibration toolbox for multi-camera systems. Comput. Vis. Image Underst. 2022, 217, 103353. [Google Scholar] [CrossRef]
- Kogan, D. mrcal, 2022. Available online: http://mrcal.secretsauce.net (accessed on 24 September 2024).
- University of Malaga. MRPT Camera Calib; Department of System Engineering and Automation, University of Malaga: Malaga, Spain, 2022. [Google Scholar]
- ROS. ROS Camera Calibration. 2022. Available online: https://wiki.ros.org/camera_calibration (accessed on 24 September 2024).
- Fang, J.; Vasiljevic, I.; Guizilini, V.; Ambrus, R.; Shakhnarovich, G.; Gaidon, A.; Walter, M.R. Self-supervised camera self-calibration from video. In Proceedings of the 2022 International Conference on Robotics and Automation (ICRA), Philadelphia, PA, USA, 23–27 May 2022; pp. 8468–8475. [Google Scholar] [CrossRef]
- Luhmann, T.; Robson, S.; Kyle, S.; Harley, I. Close Range Photogrammetry: Principles, Techniques and Applications; Whittles Publishing: Caithness, UK, 2006. [Google Scholar]
- Huai, J.; Zhuang, Y.; Yuan, Q.; Lin, Y. Continuous-time spatiotemporal calibration of a rolling shutter camera-IMU system. IEEE Sens. J. 2022, 22, 7920–7930. [Google Scholar] [CrossRef]
- Bouguet, J. Camera Calibration Toolbox for MATLAB. 2001. Available online: http://robots.stanford.edu/cs223b04/JeanYvesCalib/ (accessed on 24 September 2024).
- Richardson, A.; Strom, J.; Olson, E. AprilCal: Assisted and repeatable camera calibration. In Proceedings of the 2013 IEEE/RSJ International Conference on Intelligent Robots and Systems (IROS), Tokyo, Japan, 3–7 November 2013; pp. 1814–1821. [Google Scholar] [CrossRef]
- Peng, S.; Sturm, P. Calibration wizard: A guidance system for camera calibration based on modelling geometric and corner uncertainty. In Proceedings of the 2019 IEEE/CVF International Conference on Computer Vision (ICCV), Seoul, Republic of Korea, 27 October–2 November 2019; pp. 1497–1505. [Google Scholar] [CrossRef]
- Werner, T.; Harrer, D.; Henrich, D. Efficient, precise, and convenient calibration of multi-camera systems by robot automation. In Proceedings of the Advances in Service and Industrial Robotics: Proceedings of the 28th International Conference on Robotics in Alpe-Adria-Danube Region (RAAD 2019); Aspragathos, N.A., Koustoumpardis, P.N., Moulianitis, V.C., Eds.; Mechanisms and Machine Science; Springer: Kaiserslautern, Germany, 2019; pp. 669–677. [Google Scholar] [CrossRef]
- Tehrani, M.A.; Beeler, T.; Grundhöfer, A. A practical method for fully automatic intrinsic camera calibration using directionally encoded light. In Proceedings of the 2017 IEEE Conference on Computer Vision and Pattern Recognition (CVPR), Honolulu, HI, USA, 21–26 July 2017; pp. 125–133. [Google Scholar] [CrossRef]
- Lindenberger, P.; Sarlin, P.E.; Larsson, V.; Pollefeys, M. Pixel-perfect structure-from-motion with featuremetric refinement. In Proceedings of the 2021 IEEE/CVF International Conference on Computer Vision (ICCV), Montreal, QC, Canada, 11–17 October 2021; pp. 5967–5977. [Google Scholar] [CrossRef]














| GCC Tools | Supported Models | Supported Targets | Outlier Handling | Param. Std. Dev. | Language | Open Source | Other Features |
|---|---|---|---|---|---|---|---|
| AprilCal [37] | KB-8; pinhole rad tan | AprilTag grid | No | No | Java | Yes | GUI; interactive |
| BabelCalib [113] | division; division even; DS; EUCM; FOV; KB-8; pinhole rad; UCM | agnostic | Huber | No | MATLAB | Yes | allow multiple planar targets |
| Basalt [26] | DS; EUCM; FOV; KB-8; UCM | AprilGrid | Huber | No | C++ | Yes | efficient; GUI; modular |
| BoofCV [88] | KB-23; pinhole rad tan; Mei | checkerboard circle grid Ecocheck | No | No | Java | Yes | Android portable; GUI |
| calib.io [114] | B-spline model; division; DS; EUCM; FOV; KB-8; pinhole rational rad tan thin prism | Charuco; checkerboard | Huber | Yes | ? | No | correlation analysis; GUI; multi-camera; multiple targets |
| Calibu by ARPG [115] | FOV; KB-8; pinhole rational rad | circle grid | No | No | C++ | Yes | |
| camcalib [116] | pinhole rad tan; KB-8; DS | AprilGrid; Charuco | likely | No | ? | No | GUI; multi-camera |
| Camodocal [79] | pinhole rad tan; Mei; KB-8 | checkerboard | Cauchy | No | C++ | Yes | Improved checkerboard detector; modular; stereo camera |
| Colmap [110] | pinhole rad tan thin prism, KB-8; FOV | N/A | soft L1, Cauchy | No | C++ | Yes | GUI; self-calibration; well-documented |
| Generic camera calibration [14] | central generic; non-central generic; pinhole rational rad tan thin prism; | custom grid with an AprilTag | Huber | No | C++ | Yes | accurate; board deformation |
| Learning CCS [117] | pinhole rad | checkerboard | trim | No | Python | Yes | |
| libomnical [118] | a centered model; a geometric model; Mei; Scaramuzza | checkerboard | No | No | MATLAB | Yes | |
| Kalibr [19]/ TartanCalib [119] | DS; EUCM; FOV; pinhole equidistant; pinhole rad tan; Mei | AprilGrid; checkerboard | trim | Yes | C++ | Yes | multi-camera; board deformation |
| MATLAB camera calibrator [10] | pinhole rad tan Scaramuzza | AprilTag grid; checkerboard; circle grid | likely | Yes | MATLAB | Yes | GUI; modular; stereo camera; well-documented |
| MC-Calib [120] | KB-8; pinhole rad tan | Charuco | Huber | No | C++ | Yes | board deformation; multi-camera |
| Metashape calibrator [18] | a custom fisheye model; pinhole rad tan | checkerboard | ? | Yes | C++ / Python | No | correlation analysis; GUI |
| Metashape [18] | a custom fisheye model; pinhole rad tan | N/A | Yes | No | C++ | No | GUI; self-calibration |
| mrcal [121] | pinhole rational rad tan thin prism; splined stereographic | checkerboard | trim | No | C++ / Pyrhotn | Yes | board deformation; uncertainty analysis |
| MRPT camera calib [122] / OpenCV | pinhole rad tan | checkerboard | No | No | C++ | Yes | GUI; multi- checkerboard detector |
| Omni calibrator [77] | Mei | checkerboard | No | Yes | MATLAB | Yes | GUI; manual checkerboard detection |
| ROS camera calibrator [123] / OpenCV | KB-8; pinhole rational rad tan thin prism; Mei | Charuco checkerboard circle grid | No, but trim (Mei) | No | Python | Yes | efficient; GUI; modular; stereo camera; well-documented |
| PhotoModeler calibrator [70] | backward pinhole rad tan | customized circle grid | likely | Yes | ? | No | correlation analysis; GUI |
| Pix4DMapper [82] | pinhole rad tan; adapted Scaramuzza | N/A | Yes | No | C++ | No | GUI; self-calibration |
| SCNeRF [94] | KB-6 | N/A | trim | No | Python | Yes | self-calibration |
| vidar [124] | DS; EUCM; UCM | N/A | N/A | No | Python | Yes | self-calibration |
| Lens | Max. Sensor | f-num | DAOV (°) | Focal Length | |
|---|---|---|---|---|---|
| (mm) | (px) | ||||
| FocVis S04525 | 1/1.8” | 2.5 | 90 | 4.5 | 1000 |
| Matrix Vision E1M3518 | 1/2.5” | 1.8 | 94 | 3.5 | 778 |
| Lensagon BM4218 | 1/3” | 1.8 | 103 | 4.2 | 933 |
| Lensagon BM4018S118 | 1/1.8” | 1.8 | 127 | 4.0 | 889 |
| Lensagon BT2120 | 1/3” | 2.0 | 164 | 2.1 | 467 |
| ZLKC MTV185IR12MP | 1/1.8” | 2.0 | 194 | 1.85 | 411 |
| Lens | BabelCalib | Basalt | Camodocal | Kalibr/ TartanCalib | MATLAB | ROS Calibrator |
|---|---|---|---|---|---|---|
| S04525 | pinhole rad, s: 1 | N/A | pinhole rad tan | pinhole rad tan | pinhole rad tan | pinhole rad tan |
| E1M3518 | pinhole rad | N/A | pinhole rad tan | pinhole rad tan | pinhole rad tan | pinhole rad tan |
| BM4218 | pinhole rad | N/A | pinhole rad tan | pinhole rad tan | pinhole rad tan | pinhole rad tan, r: 4, s: 3 |
| BM4218 | KB-8 | KB-8, r: 7, s: 4 | KB-8 | pinhole equi | Scaramuzza | pinhole equi, r: 9, s: 9 |
| BM4018 | KB-8 | KB-8, s: 7 | KB-8 | pinhole equi | Scaramuzza | pinhole equi, r: 9, s: 9 |
| BT2120 | KB-8 | KB-8, s: 4 | KB-8 | pinhole equi | Scaramuzza | pinhole equi |
| MTV185 | KB-8 | KB-8, r: 7, s: 7 | KB-8 | pinhole equi, r: 9, s: 9 | Scaramuzza | pinhole equi, r: 8, s: 9 |
| BM4018 | EUCM | EUCM, s: 2 | Mei | Mei | N/A | Mei |
| BT2120 | EUCM | EUCM, r: 2, s: 2 | Mei | Mei | N/A | Mei |
| MTV185 | EUCM | EUCM, r: 8, s: 9 | Mei | Mei | N/A | Mei |
Disclaimer/Publisher’s Note: The statements, opinions and data contained in all publications are solely those of the individual author(s) and contributor(s) and not of MDPI and/or the editor(s). MDPI and/or the editor(s) disclaim responsibility for any injury to people or property resulting from any ideas, methods, instructions or products referred to in the content. |
© 2024 by the authors. Licensee MDPI, Basel, Switzerland. This article is an open access article distributed under the terms and conditions of the Creative Commons Attribution (CC BY) license (https://creativecommons.org/licenses/by/4.0/).
Share and Cite
Huai, J.; Shao, Y.; Jozkow, G.; Wang, B.; Chen, D.; He, Y.; Yilmaz, A. Geometric Wide-Angle Camera Calibration: A Review and Comparative Study. Sensors 2024, 24, 6595. https://doi.org/10.3390/s24206595
Huai J, Shao Y, Jozkow G, Wang B, Chen D, He Y, Yilmaz A. Geometric Wide-Angle Camera Calibration: A Review and Comparative Study. Sensors. 2024; 24(20):6595. https://doi.org/10.3390/s24206595
Chicago/Turabian StyleHuai, Jianzhu, Yuxin Shao, Grzegorz Jozkow, Binliang Wang, Dezhong Chen, Yijia He, and Alper Yilmaz. 2024. "Geometric Wide-Angle Camera Calibration: A Review and Comparative Study" Sensors 24, no. 20: 6595. https://doi.org/10.3390/s24206595
APA StyleHuai, J., Shao, Y., Jozkow, G., Wang, B., Chen, D., He, Y., & Yilmaz, A. (2024). Geometric Wide-Angle Camera Calibration: A Review and Comparative Study. Sensors, 24(20), 6595. https://doi.org/10.3390/s24206595

