Flexible Electromagnetic Sensor with Inkjet-Printed Silver Nanoparticles on PET Substrate for Chemical and Biomedical Applications
Abstract
1. Introduction
1.1. Chemical Applications
1.2. Biomedical Applications and Healthcare
2. Sensor Design and Fabrication
3. Measurements
3.1. Measurement of Dielectric Properties
3.2. Sensor Measurements
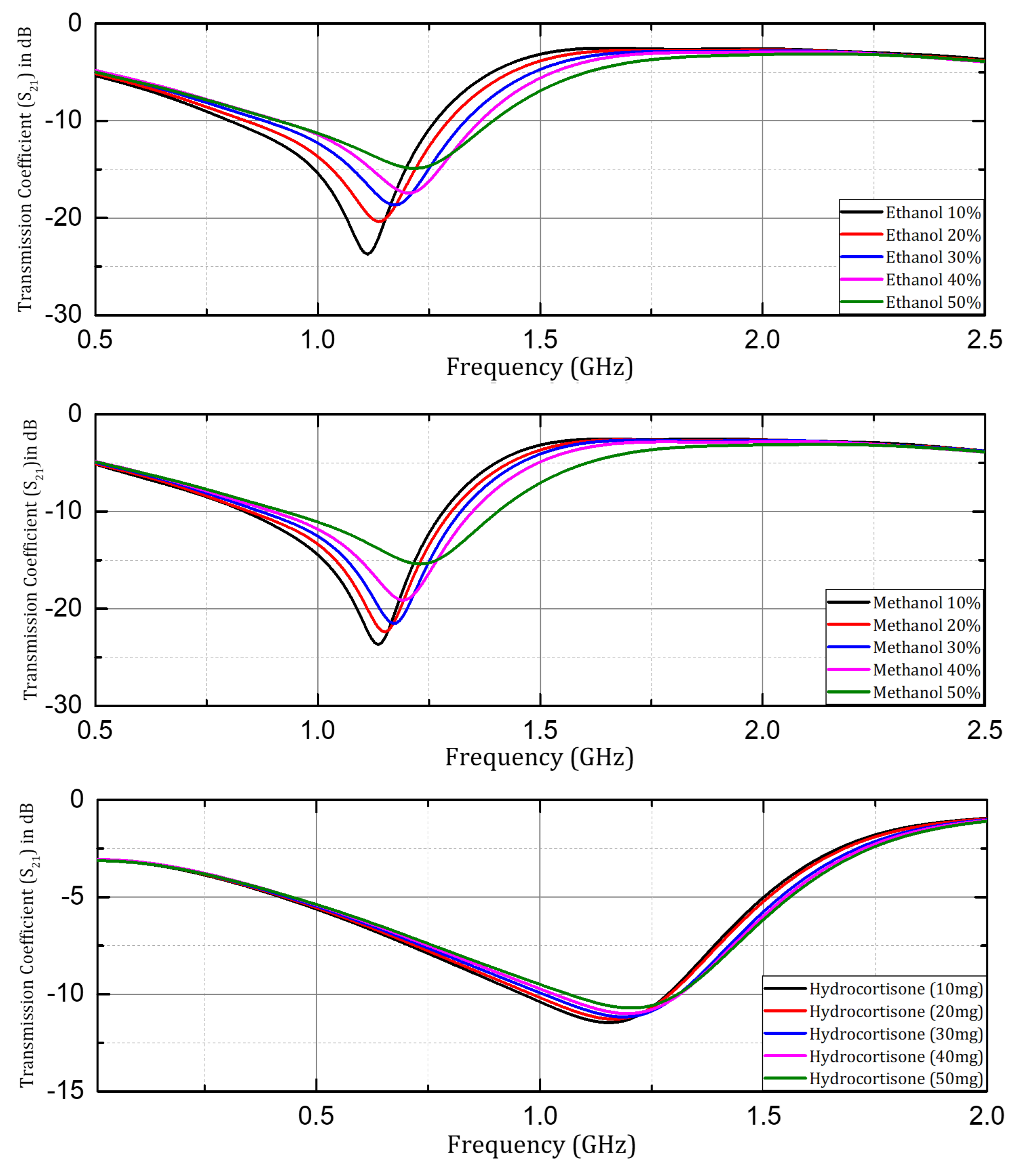
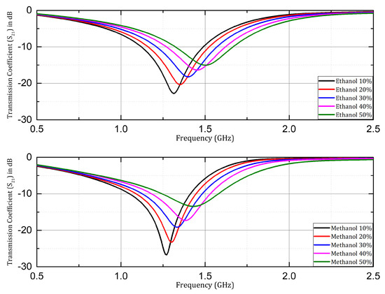
4. Resultsand Discussion
4.1. Chemical Sensing
4.2. Flexible Applications
5. Conclusions
Author Contributions
Funding
Institutional Review Board Statement
Informed Consent Statement
Data Availability Statement
Conflicts of Interest
References
- Gregory, A.P.; Clarke, R.N. A review of RF and microwave techniques for dielectric measurements on polar liquids. IEEE Trans. Dielectr. Electr. Insul. 2006, 13, 727–743. [Google Scholar] [CrossRef]
- Zarifi, M.H.; Sadabadi, H.; Hejazi, S.H.; Daneshmand, M.; Sanati-Nezhad, A. Noncontact and nonintrusive microwavemicrofluidic flow sensor for energy and biomedical engineering. Sci. Rep. 2018, 8, 139. [Google Scholar] [CrossRef] [PubMed]
- Hasan, R.R.; Shanto, M.A.H.; Howlader, S.; Jahan, S. A novel design and miniaturization of a scalp implantable circular patch antenna at ISM band for biomedical application. In Proceedings of the 2017 Intelligent Systems Conference (IntelliSys), London, UK, 7–8 September 2017; pp. 16–169. [Google Scholar]
- Spada, L.L.; Bilotti, F.; Vegni, L. Metamaterial biosensor for cancer detection. In Proceedings of the SENSORS, 2011 IEEE, Limerick, Ireland, 28–31 October 2011; pp. 627–630. [Google Scholar]
- Boltasseva, A.; Shalaev, V.M. Fabrication of optical negative-index metamaterials: Recent advances and outlook. Metamaterials 2008, 2, 1–17. [Google Scholar] [CrossRef]
- Safia, O.A.; Talbi, L.; Hettak, K. A New Type of Transmission Line-Based Metamaterial Resonator and Its Implementation in Original Applications. IEEE Trans. Magn. 2013, 49, 968–973. [Google Scholar] [CrossRef]
- Saha, C.; Siddiqui, J.Y. A comparative analyis for split ring resonators of different geometrical shapes. In Proceedings of the 2011 IEEE Applied Electromagnetics Conference (AEMC), Kolkata, India, 18–22 December 2011; pp. 1–4. [Google Scholar]
- Tamer, A.; Alkurt, F.; Altintas, O.; Karaaslan, M.; Unal, E.; Akgol, O.; Karadag, F.; Sabah, C. Transmission Line Integrated Metamaterial Based Liquid Sensor. J. Electrochem. Soc. 2018, 165, B251–B257. [Google Scholar] [CrossRef]
- Muhammad, Q.; Muhammad, U.E.; Akram, A.; Mohamed, T. Dielectric Characterisation Of Body Phantoms Using Microstrip Line Coupled Complementary Split Ring Resonators. In Proceedings of the 2022 IEEE Sensors, Dallas, TX, USA, 30 October–2 November 2022; pp. 1–4. [Google Scholar] [CrossRef]
- Ejaz, M.U.; Irum, T.; Alomainy, A. Dielectric Characterization and Chemical Concentration Sensing using T-Shaped Antenna. In Proceedings of the 2022 16th European Conference on Antennas and Propagation (EuCAP), Madrid, Spain, 27 March–1 April 2022; pp. 1–5. [Google Scholar] [CrossRef]
- Rahani, E.K.; Kundu, T.; Wu, Z.; Xin, H. Heat induced damage detection by terahertz (THz) radiation. J. Infrared Millimeter Terahertz Waves 2011, 32, 848–856. [Google Scholar] [CrossRef]
- Withayachumnankul, W.; Jaruwongrungsee, K.; Tuantranont, A.; Fumeaux, C.; Abbott, D. Metamaterial-based microfluidic sensor for dielectric characterization. Sens. Actuators A Phys. 2013, 189, 233–237. [Google Scholar] [CrossRef]
- Ebrahimi, A.; Member, S.; Withayachumnankul, W. Microwave Microfluidic Sensor for Determination of Glucose Concentration in Water. In Proceedings of the 2015 IEEE 15th Mediterranean Microwave Symposium (MMS), Lecce, Italy, 30 November–2 December 2015; Volume 2, pp. 1–3. [Google Scholar]
- Zarifi, M.H.; Sohrabi, A.; Shaibani, P.M.; Daneshmand, M.; Thundat, T. Detection of volatile organic compounds using microwave sensors. IEEE Sens. J. 2015, 15, 248–254. [Google Scholar] [CrossRef]
- Altintas, O.; Aksoy, M.; Akgol, O.; Unal, E.; Karaaslan, M.; Sabah, C. Fluid, Strain and Rotation Sensing Applications by Using Metamaterial Based Sensor. J. Electrochem. Soc. 2017, 164, B567–B573. [Google Scholar] [CrossRef]
- Bakir, M. Electromagnetic-Based Microfluidic Sensor Applications. J. Electrochem. Soc. 2017, 164, B488–B494. [Google Scholar] [CrossRef]
- Hamzah, H.; Lees, J.; Porch, A. Split ring resonator with optimised sensitivity for microfluidic sensing. Sens. Actuators A Phys. 2018, 276, 1–10. [Google Scholar] [CrossRef]
- Soffiatti, A. Microwave Metamaterial-Based Sensor for Dielectric Characterization of Liquids. Sensors 2018, 18, 1513. [Google Scholar] [CrossRef] [PubMed]
- Ejaz, M.U.; Alomainy, A. Double-layered Metamaterial Structure for Chemical Concentration and Strain Sensing. In Proceedings of the 2020 IEEE International Symposium on Antennas and Propagation and North American Radio Science Meeting, Montreal, QC, Canada, 5–10 July 2020; pp. 1403–1404. [Google Scholar]
- Javed, A.; Arif, A.; Zubair, M.; Mehmood, M.Q.; Riaz, K. A Low-Cost Multiple Complementary Split-Ring Resonator-Based Microwave Sensor for Contactless Dielectric Characterization of Liquids. IEEE Sensors J. 2020, 20, 11326–11334. [Google Scholar] [CrossRef]
- Dalgac, S.; Akdogan, V.; Kiris, S.; Incesu, A.; Akgol, O.; Unal, E.; Basar, M.T.; Karaaslan, M. Investigation of methanol contaminated local spirit using metamaterial based transmission line sensor. Measurement 2021, 178, 109360. [Google Scholar] [CrossRef]
- Bagci, F.; Gulsu, M.S.; Akaoglu, B. Dual-band measurement of complex permittivity in a microwave waveguide with a flexible, thin and sensitive metamaterial-based sensor. Sensors Actuators A Phys. 2022, 338, 113480. [Google Scholar] [CrossRef]
- Islam, M.N.; Yuce, M.R. Review of medical implant communication system (MICS) band and network. ICT Express 2016, 2, 188–194. [Google Scholar] [CrossRef]
- Guarin, G.; Hofmann, M.; Nehring, J.; Weigel, R.; Fischer, G.; Kissinger, D. Miniature Microwave Biosensors: Noninvasive Applications. IEEE Microw. Mag. 2015, 16, 71–86. [Google Scholar] [CrossRef]
- Ghodgaonkar, D.K.; Daud, A.B. Calculation of Debye parameter of single Debye relaxation equation for human skin in vivo. In Proceedings of the 4th National Conference of Telecommunication Technology, NCTT, Shah Alam, Malaysia, 14–15 January 2003; pp. 71–74. [Google Scholar]
- Gao, Y.; Yu, L.; Yeo, J.C.; Lim, C.T. Flexible hybrid sensors for health monitoring: Materials and mechanisms to render wearability. Adv. Mater. 2020, 32, 1902133. [Google Scholar] [CrossRef]
- Kim, S.; Mahmood, M.; Lee, Y.; Kim, N.K.; Kwon, S.; Herbert, R.; Kim, D.; Cho, H.C.; Yeo, W.-H. All-in-one, wireless, stretchable hybrid electronics for smart, connected, and ambulatory physiological monitoring. Adv. Sci. 2019, 6, 1900939. [Google Scholar] [CrossRef]
- Hafiane, A.; Genest, J. High density lipoproteins: Measurement techniques and potential biomarkers of cardiovascular risk. BBA Clin. 2015, 3, 175–188. [Google Scholar] [CrossRef]
- Iob, E.; Steptoe, A. Cardiovascular Disease and Hair Cortisol: A Novel Biomarker of Chronic Stress. Curr. Cardiol. Rep. 2019, 21, 116. [Google Scholar] [CrossRef] [PubMed]
- Hellhammer, D.H.; Wüst, S.; Kudielka, B.M. Salivary cortisol as a biomarker in stress research. Psychoneuro Endocrinol. 2009, 34, 163–171. [Google Scholar] [CrossRef] [PubMed]
- Russell, E.; Koren, G.; Rieder, M.; Van Uum, S.H. The detection of cortisol in human sweat: Implications for measurement of cortisol in hair. Ther. Drug Monit. 2014, 36, 30–34. [Google Scholar] [CrossRef] [PubMed]
- Su, L.; Mata-Contreras, J.; Vélez, P.; Martín, F. Splitter / Combiner Microstrip Sections Loaded With Pairs of Complementary Split Ring Resonators Differential Sensing Applications. IEEE Trans. Microw. Theory Tech. 2016, 64, 4362–4370. [Google Scholar] [CrossRef]
- Sklavounos, A.H.; Barker, N.S. Liquid-permittivity measurements using a rigorously modeled overmoded cavity resonator. IEEE Trans. Microw. Theory Tech. 2014, 62, 1363–1372. [Google Scholar] [CrossRef]
- Guo, H.; Yao, L.; Huang, F. A cylindrical cavity sensor for liquid water content measurement. Sens. Actuators A Phys. 2016, 238, 133–139. [Google Scholar] [CrossRef]
- Velez, P.; Munoz-Enano, J.; Grenier, K.; Mata-Contreras, J.; Dubuc, D.; Martin, F. Split Ring Resonator-Based Microwave Fluidic Sensors for Electrolyte Concentration Measurements. IEEE Sens. J. 2019, 19, 2562–2569. [Google Scholar] [CrossRef]
- Ebrahimi, A.; Scott, J.; Ghorbani, K. Ultrahigh-Sensitivity Microwave Sensor for Microfluidic Complex Permittivity Measurement. IEEE Trans. Microw. Theory Tech. 2019, 67, 4269–4277. [Google Scholar] [CrossRef]
- Govind, G.; Akhtar, M.J. Metamaterial-Inspired Microwave Microfluidic Sensor for Glucose Monitoring in Aqueous Solutions. IEEE Sens. J. 2019, 19, 11900–11907. [Google Scholar] [CrossRef]
- Liu, C.; Tong, F. An SIW Resonator Sensor for Liquid Permittivity Measurements at C Band. IEEE Microw. Wirel. Components Lett. 2015, 25, 751–753. [Google Scholar]
- Reyes-Vera, E.; Acevedo-Osorio, G.; Arias-Correa, M.; Senior, D.E. A submersible printed sensor based on a monopole-coupled split ring resonator for permittivity characterization. Sensors 2019, 19, 1936. [Google Scholar] [CrossRef] [PubMed]
- Galindo-Romera, G.; Herraiz-Martínez, F.J.; Gil, M.; Martínez-Martínez, J.J.; Segovia-Vargas, D. Submersible Printed Split-Ring Resonator-Based Sensor for Thin-Film Detection and Permittivity Characterization. IEEE Sens. J. 2016, 16, 3587–3596. [Google Scholar] [CrossRef]
- Barmpakos, D.; Belessi, V.; Xanthopoulos, N.; Krontiras, C.A.; Kaltsas, G. Flexible Inkjet-Printed Heaters Utilizing Graphene-Based Inks. Sensors 2022, 22, 1173. [Google Scholar] [CrossRef] [PubMed]
- George, J.; Abdelghani, A.; Bahoumina, P.; Tantot, O.; Baillargeat, D.; Frigui, K.; Bila, S.; Hallil, H.; Dejous, C. CNT-Based Inkjet-Printed RF Gas Sensor: Modification of Substrate Properties during the Fabrication Process. Sensors 2019, 19, 1768. [Google Scholar] [CrossRef]
- Jeong, H.; Tentzeris, M.M.; Lim, S. Optically Transparent Metamaterial Absorber Using Inkjet Printing Technology. Materials 2019, 12, 3406. [Google Scholar] [CrossRef]
- Mohassieb, S.; Kirah, K.; Dorsam, E.; Khalil, A.S.G.; El-Hennawy, H. Inkjet printing of a 20 GHz coplanar waveguide monopole antenna using copper oxide nanoparticles on flexible substrates: Effect of drop spacing on antenna performance. Prog. Electromag. Res. C 2017, 73, 87–95. [Google Scholar] [CrossRef][Green Version]
- Jilani, S.F.; Alomainy, A. An inkjet-printed MMW frequency-reconfigurable antenna on a flexible PET substrate for 5G wireless systems. In Proceedings of the Loughborough Antennas & Propagation Conference, Loughborough, UK, 13–14 November 2017. [Google Scholar]
- Olcay, A.; Murat, A.; Emin, U.; Muharrem, K. Chemical Liquid and Transformer Oil Condition Sensor Based on Metamaterial-Inspired Labyrinth Resonator. J. Electrochem. Soc. 2019, 166, b482. [Google Scholar]
- Scdn.rohde-schwarz.com. 2022. Available online: https://scdn.rohde-schwarz.com/ur/pws/dl_downloads/pdm/cl_manuals/user_manual/1178_6462_01/ZNA_UserManual_en_35~1.pdf (accessed on 1 December 2022).
- Khan, A.; Raad, M.U.; Tubbal, R.; Theoharis, F.; Liu, P.I.; Foroughi, S.; Bending, J. Analysis of Polymer-Based Flexible Antennas for Wearable, General IoT Applications: A Review. Polymers 2021, 13, 357. [Google Scholar] [CrossRef]
- Yang, J.C.; Mun, J.; Kwon, S.Y.; Park, S.; Bao, Z.; Park, S. Electronic Skin: Recent Progress and Future Prospects for Skin-Attachable Devices for Health Monitoring, Robotics, and Prosthetics. Adv. Mater. 2019, 31, 1904765. [Google Scholar] [CrossRef]
- Salonen, P.; Rahmat-Samii, Y. Textile antennas: Effects of antenna bending on input matching and impedance bandwidth. In Proceedings of the First European Conference on Antennas and Propagation, Nice, France, 6–10 November 2006; pp. 2164–3342. [Google Scholar] [CrossRef]














| Freq. (GHz) | Substrate | Liquid Flow Mechanism | Maximum Sensitivity | Fabrication | Flexibility | Cost | Reference |
|---|---|---|---|---|---|---|---|
| 2.4 | FR-4 | Capillary tube | 0.214 | Easy | No | Low | [20] |
| 2 | RT6002 | PDMS | 0.436 | Complex | No | High | [36] |
| 1 | RO3010 | PET film | 0.195 | Complex | No | High | [35] |
| 5.8 | F4B-2 | Submersible | 0.102 | Moderate | No | Moderate | [38] |
| 2.45 | RO4003C | Capillary tube | 0.643 | Easy | No | Moderate | This work |
| 2.8 | RT5880 | Capillary tube | 0.734 | Easy | No | Moderate | This work |
| 2.2 | PET | Capillary tube | 0.654 | Easy | Yes | Low | This work |
Disclaimer/Publisher’s Note: The statements, opinions and data contained in all publications are solely those of the individual author(s) and contributor(s) and not of MDPI and/or the editor(s). MDPI and/or the editor(s) disclaim responsibility for any injury to people or property resulting from any ideas, methods, instructions or products referred to in the content. |
© 2024 by the authors. Licensee MDPI, Basel, Switzerland. This article is an open access article distributed under the terms and conditions of the Creative Commons Attribution (CC BY) license (https://creativecommons.org/licenses/by/4.0/).
Share and Cite
Ejaz, M.U.; Irum, T.; Qamar, M.; Alomainy, A. Flexible Electromagnetic Sensor with Inkjet-Printed Silver Nanoparticles on PET Substrate for Chemical and Biomedical Applications. Sensors 2024, 24, 6526. https://doi.org/10.3390/s24206526
Ejaz MU, Irum T, Qamar M, Alomainy A. Flexible Electromagnetic Sensor with Inkjet-Printed Silver Nanoparticles on PET Substrate for Chemical and Biomedical Applications. Sensors. 2024; 24(20):6526. https://doi.org/10.3390/s24206526
Chicago/Turabian StyleEjaz, Muhammad Usman, Tayyaba Irum, Muhammad Qamar, and Akram Alomainy. 2024. "Flexible Electromagnetic Sensor with Inkjet-Printed Silver Nanoparticles on PET Substrate for Chemical and Biomedical Applications" Sensors 24, no. 20: 6526. https://doi.org/10.3390/s24206526
APA StyleEjaz, M. U., Irum, T., Qamar, M., & Alomainy, A. (2024). Flexible Electromagnetic Sensor with Inkjet-Printed Silver Nanoparticles on PET Substrate for Chemical and Biomedical Applications. Sensors, 24(20), 6526. https://doi.org/10.3390/s24206526

