Ultrathin Platinum Film Hydrogen Sensors with a Twin-T Type Notch Filter Circuit †
Abstract
1. Introduction
2. Materials and Methods
3. Results and Discussions
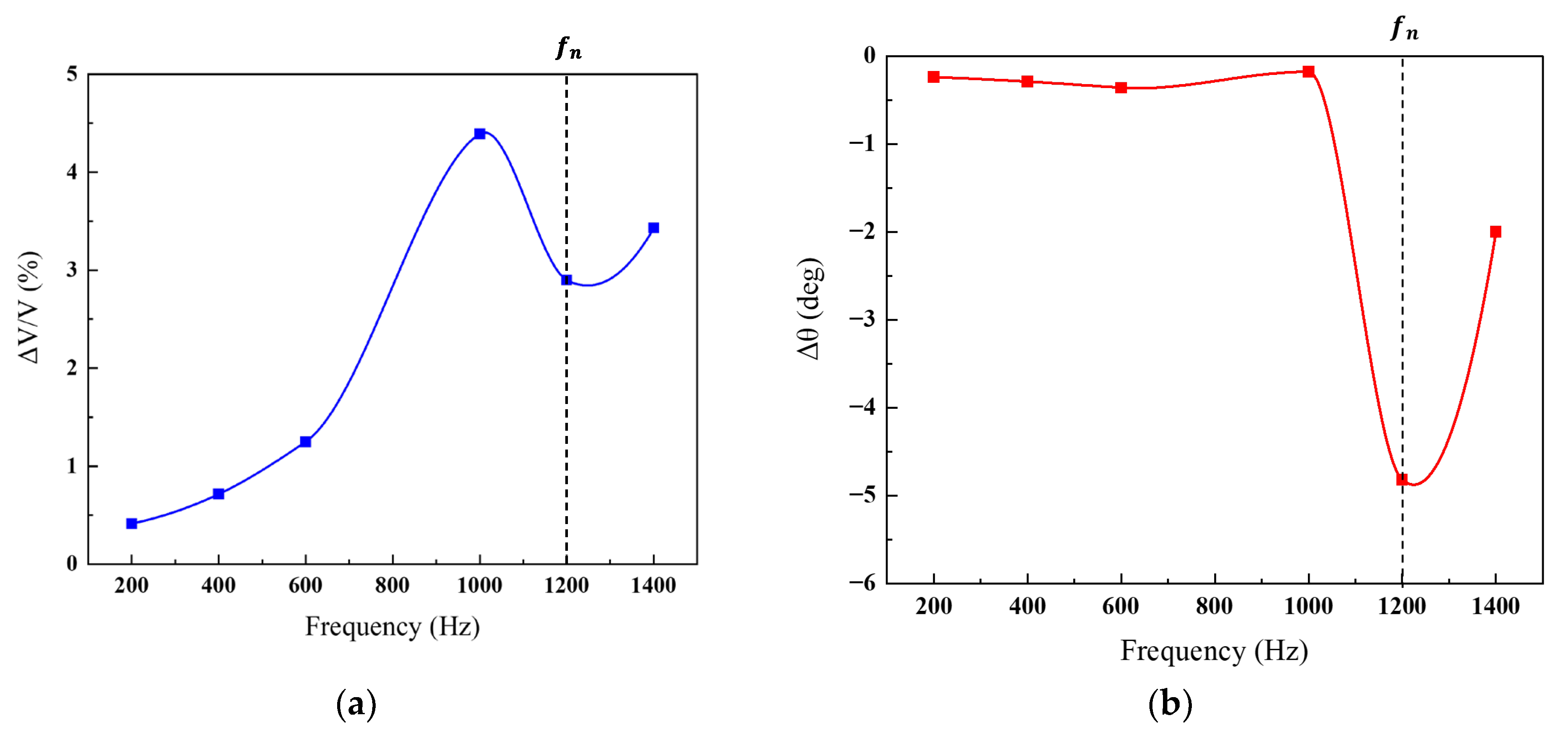
3.1. Electrical Control of Sensitivity
3.2. Simultaneous Hydrogen Detection
4. Conclusions
Author Contributions
Funding
Institutional Review Board Statement
Informed Consent Statement
Data Availability Statement
Conflicts of Interest
References
- Momirlan, M.; Veziroglu, T.N. The properties of hydrogen as fuel tomorrow in sustainable energy system for a cleaner planet. Int. J. Hydrog. Energy 2005, 30, 795–802. [Google Scholar] [CrossRef]
- Marchenko, O.V.; Solomin, S.V. The future energy: Hydrogen versus electricity. Int. J. Hydrog. Energy 2015, 40, 3801–3805. [Google Scholar] [CrossRef]
- Stern, A.G. A new sustainable hydrogen clean energy paradigm. Int. J. Hydrog. Energy 2018, 43, 4244–4255. [Google Scholar] [CrossRef]
- Hübert, T.; Boon-Brett, L.; Black, G.; Banach, U. Hydrogen sensors—A review. Sens. Actuators B 2011, 157, 329–352. [Google Scholar] [CrossRef]
- Nasri, A.; Petrissans, M.; Fierro, V.; Celzard, A. Gas sensing based on organic composite materials: Review of sensor types, progresses and challenges. Mater. Sci. Semicond. Process. 2021, 128, 105744. [Google Scholar] [CrossRef]
- Çoban, Ö.; Tekmen, S.; Gür, E.; Tüzemen, S. High Optical Response NiO, Pd/NiO and Pd/WO3 Hydrogen Sen-sors. Int. J. Hydrogen Energy 2022, 47, 25454–25464. [Google Scholar] [CrossRef]
- Han, C.H.; Hong, D.W.; Han, S.-D.; Gwak, J.; Singh, K.C. Catalytic combustion type hydrogen gas sensor using TiO2 and UV-LED. Sens. Actuators B 2007, 125, 224–228. [Google Scholar] [CrossRef]
- Lee, E.B.; Hwang, I.S.; Cha, J.H.; Lee, H.J.; Lee, W.B.; Pak, J.J.; Lee, J.H.; Ju, B.K. Micromachined catalytic combustible hydrogen gas sensor. Sens. Actuators B 2011, 153, 392–397. [Google Scholar] [CrossRef]
- Katti, V.R.; Debnath, A.K.; Gadkari, S.C.; Gupta, S.K.; Sahni, V.C. Passivated thick film catalytic type H2 sensor operating at low temperature. Sens. Actuators B 2002, 84, 219–225. [Google Scholar] [CrossRef]
- Hong, S.; Wu, M.; Hong, Y.; Jeong, Y.; Jung, G.; Shin, W.; Park, J.; Kim, D.; Jang, D.; Lee, J.-H. FET-type gas sensors: A review. Sens. Actuators B 2021, 330, 129240. [Google Scholar] [CrossRef]
- Kwon, D.; Jung, G.; Shin, W.; Jeong, Y.; Hong, S.; Oh, S.; Kim, J.; Bae, J.-H.; Park, B.-G.; Lee, J.-H. Efficient fusion of spiking neural networks and FET-type gas sensors for a fast and reliable artificial olfactory system. Sens. Actuators B 2021, 345, 130419. [Google Scholar] [CrossRef]
- Andersson, M.; Pearce, R.; Lloyd Spetz, A. New generation SiC based field effect transistor gas sensors. Sens. Actuators B 2013, 179, 95–106. [Google Scholar] [CrossRef]
- Raghu, S.; Santhosh, P.N.; Ramaprabhu, S. Nanostructured palladium modified graphitic carbon nitride—High performance room temperature hydrogen sensor. Int. J. Hydrog. Energy 2016, 41, 20779–20786. [Google Scholar] [CrossRef]
- Shin, D.H.; Lee, J.S.; Jun, J.; An, J.H.; Kim, S.G.; Cho, K.H.; Jang, J. Flower-like palladium nanoclusters decorated graphene electrodes for ultrasensitive and flexible hydrogen gas sensing. Sci. Rep. 2015, 5, 12294. [Google Scholar] [CrossRef]
- Adams, B.D.; Chen, A. The role of palladium in a hydrogen economy. Mater. Today 2011, 14, 282–289. [Google Scholar] [CrossRef]
- Tsukada, K.; Kiwa, T.; Yamaguchi, T.; Migitaka, S.; Goto, Y.; Yokosawa, K. A study of fast response characteristics for hydrogen sensing with platinum FET sensor. Sens. Actuators B 2006, 114, 158–163. [Google Scholar] [CrossRef]
- Tsukada, K.; Inoue, H.; Katayama, F.; Sakai, K.; Kiwa, T. Changes in work function and electrical resistance of Pt thin films in the presence of hydrogen gas. Jpn. J. Appl. Phys. 2012, 51, 015701. [Google Scholar] [CrossRef]
- Tsukada, K.; Takeichi, S.; Sakai, K.; Kiwa, T. Ultrathin-film hydrogen gas sensor with nanostructurally modified surface. Jpn. J. Appl. Phys. 2014, 53, 076701. [Google Scholar] [CrossRef]
- Yamaguchi, T.; Kiwa, T.; Tsukada, K.; Yokosawa, K. Oxygen interference mechanism of platinum–FET hydrogen gas sensor. Sens. Actuators A 2007, 136, 244–248. [Google Scholar] [CrossRef]
- Longato, A.; Vanzan, M.; Colusso, E.; Corni, S.; Martucci, A. Enhancing Tungsten Oxide Gasochromism with Noble Metal Nanoparticles: The Importance of the Interface. Small 2023, 19, 2205522. [Google Scholar] [CrossRef]
- Jing, P.; Dan, H.; Qiyun, J. Optimal design on twin-T notch filter in electromagnetic exploration equipments. In Proceedings of the 2011 International Conference on Electric Information and Control Engineering, Wuhan, China, 15–17 April 2011; IEEE: New York, NY, USA, 2011; pp. 1510–1515. [Google Scholar]
- Panja, A.; Bhattacharya, A.; Banerjee, T.P. Design and analysis of notch depth for T-notch filter. In Proceedings of the 2020 National Conference on Emerging Trends on Sustainable Technology and Engineering Applications (NCETSTEA), Durgapur, India, 7–8 February 2020; IEEE: New York, NY, USA, 2020; pp. 1–4. [Google Scholar] [CrossRef]
- Das, K.C.; Ghosh, S.P.; Tripathy, N.; Kim, D.H.; Lee, T.I.; Myoung, J.M.; Kar, J.P. Evolution of microstructural and electrical properties of sputtered HfO2 ceramic thin films with RF power and substrate temperature. Ceram. Int. 2016, 42, 138–145. [Google Scholar] [CrossRef]
- Kerkache, L.; Layadi, A.; Dogheche, E.; Rémiens, D. Physical properties of RF sputtered ITO thin films and annealing effect. J. Phys. D Appl. Phys. 2006, 39, 184–189. [Google Scholar] [CrossRef]










| Sensors Exposed to H2 | 1.2 kHz | 12.7 kHz | 58.2 kHz |
|---|---|---|---|
| Sensor A | 2.45% | 0.68% | 0.21% |
| Sensor B | 0.17% | 2.61% | 0.81% |
| Sensor C | 0.19% | 0.10% | 17.2% |
Disclaimer/Publisher’s Note: The statements, opinions and data contained in all publications are solely those of the individual author(s) and contributor(s) and not of MDPI and/or the editor(s). MDPI and/or the editor(s) disclaim responsibility for any injury to people or property resulting from any ideas, methods, instructions or products referred to in the content. |
© 2024 by the authors. Licensee MDPI, Basel, Switzerland. This article is an open access article distributed under the terms and conditions of the Creative Commons Attribution (CC BY) license (https://creativecommons.org/licenses/by/4.0/).
Share and Cite
Wakabayashi, S.; Oh, Y.; Nakayama, H.; Wang, J.; Kiwa, T. Ultrathin Platinum Film Hydrogen Sensors with a Twin-T Type Notch Filter Circuit. Sensors 2024, 24, 548. https://doi.org/10.3390/s24020548
Wakabayashi S, Oh Y, Nakayama H, Wang J, Kiwa T. Ultrathin Platinum Film Hydrogen Sensors with a Twin-T Type Notch Filter Circuit. Sensors. 2024; 24(2):548. https://doi.org/10.3390/s24020548
Chicago/Turabian StyleWakabayashi, Shoki, Yuki Oh, Haruhito Nakayama, Jin Wang, and Toshihiko Kiwa. 2024. "Ultrathin Platinum Film Hydrogen Sensors with a Twin-T Type Notch Filter Circuit" Sensors 24, no. 2: 548. https://doi.org/10.3390/s24020548
APA StyleWakabayashi, S., Oh, Y., Nakayama, H., Wang, J., & Kiwa, T. (2024). Ultrathin Platinum Film Hydrogen Sensors with a Twin-T Type Notch Filter Circuit. Sensors, 24(2), 548. https://doi.org/10.3390/s24020548

