Comprehensive Separation Algorithm for Single-Channel Signals Based on Symplectic Geometry Mode Decomposition
Abstract
1. Introduction
2. Principle of Comprehensive Separation Algorithm
2.1. Symplectic Geometry
2.2. Symplectic Geometry Mode Decomposition
2.3. FastICA
- Independent components are statistically independent;
- Independent components have non-Gaussian distributions;
- The number of independent source signals is equal to the number of received mixed signals.
- Preprocessing: Centering and whitening.
- Randomly selecting and initializing ; .
- Updating ; .
- Normalizing ; .
- Checking for convergence on the normalized . If convergence does not occur, then return to step 4. If convergence occurs, then output the independent components of the algorithm decomposition.
2.4. Comprehensive Separation Algorithm Based on Symplectic Geometric Mode Decomposition
- Time-frequency analysis is performed on the received mixed signals, and the number of source signals is determined based on the corresponding time-frequency diagram.
- The power spectral density of the mixed signal is calculated to obtain the parameters of the trajectory matrix, i.e., the embedding dimensions and thus the corresponding trajectory matrix.
- A series of symplectic matrix similarity transformations are conducted on the trajectory matrix to obtain the SGCs of the reconstruction.
- The SGCs characterized by significant correlation coefficients with the mixed signal are chosen and expanded alongside the single-channel mixed signal, resulting in a new virtual multi-channel mixed signal.
- The multichannel mixed signal is fed into the FastICA algorithm to obtain the final decomposed signal.
- The effectiveness of the comprehensive separation algorithm is verified using Equation (12).
3. Performance Analysis of the SGMD-FastICA Comprehensive Separation Algorithm
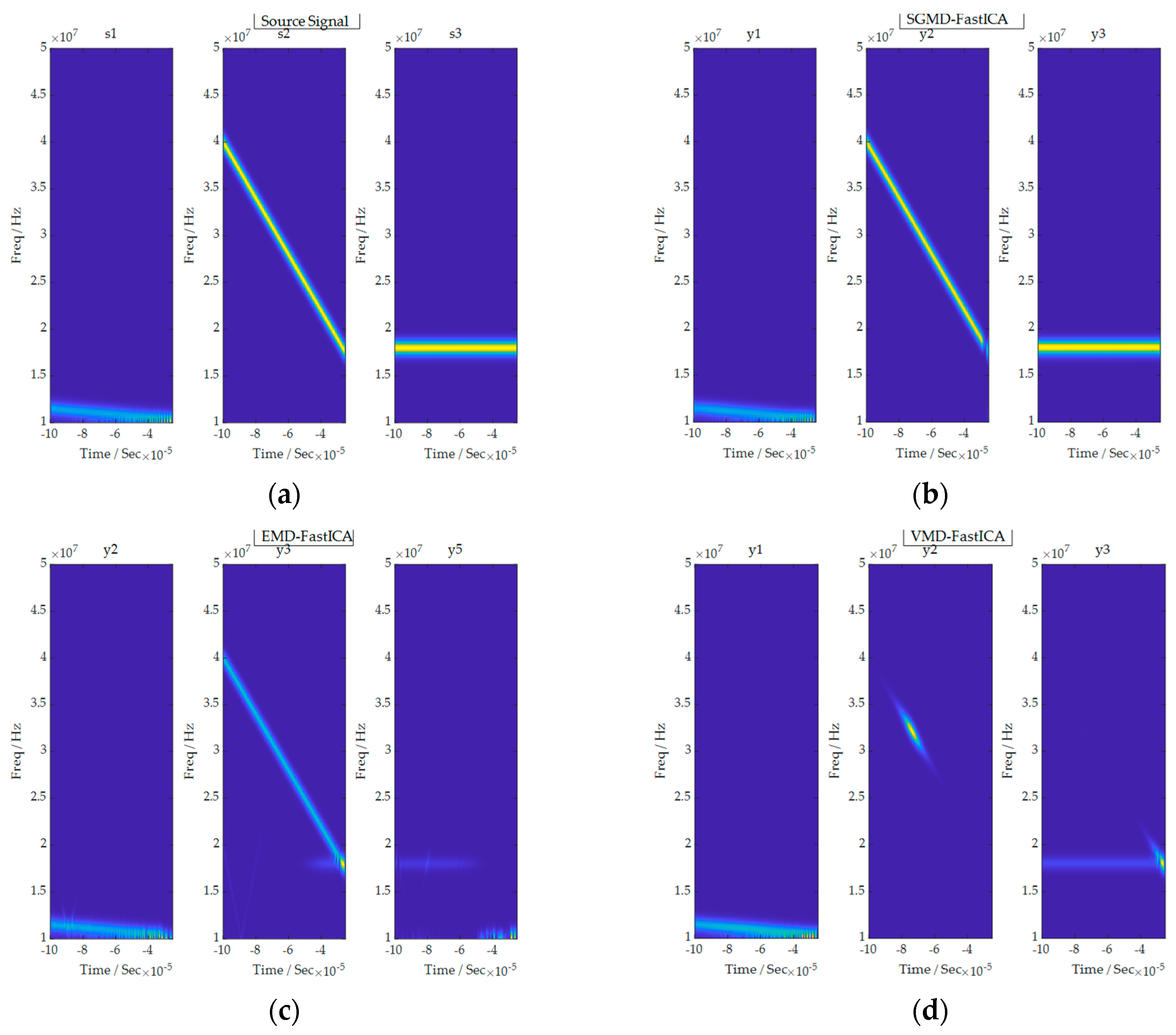
3.1. Signal Separation in Noise-Free Interference Environments
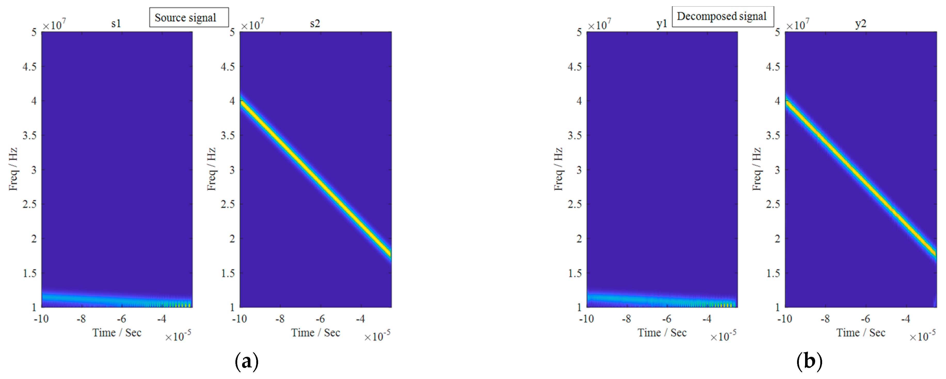
3.2. Signal Separation in Gaussian White Noise Environment
4. Improved Comprehensive Separation Algorithm Based on Symplectic Geometry Mode Decomposition
5. Conclusions
Author Contributions
Funding
Institutional Review Board Statement
Informed Consent Statement
Data Availability Statement
Conflicts of Interest
References
- Miettinen, J.; Nordhausen, K.; Oja, H.; Taskinen, S.; Virta, J. The squared symmetric FastICA estimator. Signal Process. 2017, 131, 402–411. [Google Scholar] [CrossRef]
- Qiao, N.; Wang, L.-H.; Liu, Q.-Y.; Zhai, H.-Q. Multi-scale eigenvalues Empirical Mode Decomposition for geomagnetic signal filtering. Measurement 2019, 146, 885–891. [Google Scholar] [CrossRef]
- Chen, S.Y.; Cao, S.Y.; Sun, Y.G.; Lin, Y.; Gao, J. Seismic time-frequency analysis via time-varying filtering based empirical mode decomposition method. J. Appl. Geophys. 2022, 204, 12. [Google Scholar] [CrossRef]
- Miao, Y.; Zhao, M.; Lin, J. Identification of mechanical compound-fault based on the improved parameter-adaptive variational mode decomposition. Isa Trans. 2019, 84, 82–95. [Google Scholar] [CrossRef]
- Nguyen, L.H.; Tran, T.D.; IEEE. Interference Separation for UWB Radar Signals from Entropy-driven Robust PCA. In Proceedings of the IEEE Radar Conference (RadarConf), Seattle, WA, USA, 8–12 May 2017; pp. 389–393. [Google Scholar] [CrossRef]
- Cheng, Q. Research on Radar Signal Separation and Interference Identification Technology. Master’s Thesis, Harbin Engineering University, Harbin, China, 2021. [Google Scholar] [CrossRef]
- Fan, Q.; Chen, Z.; Xia, Z.; Zhang, W. A novel structural damage detection strategy based on VMD-FastICA and ESSAWOA. J. Civ. Struct. Health Monit. 2023, 13, 149–163. [Google Scholar] [CrossRef]
- Pan, H.; Yang, Y.; Li, X.; Zheng, J.; Cheng, J. Symplectic geometry mode decomposition and its application to rotating machinery compound fault diagnosis. Mech. Syst. Signal Process. 2019, 114, 189–211. [Google Scholar] [CrossRef]
- Khan, N.A. Iterative adaptive directional time-frequency distribution for both mono-sensor and multi-sensor recordings. Signal Image Video Process. 2023, 17, 501–508. [Google Scholar] [CrossRef]
- Bhat, M.Y.; Dar, A.H.; Nurhidayat, I.; Pinelas, S. An Interplay of Wigner-Ville Distribution and 2D Hyper-Complex Quadratic-Phase Fourier Transform. Fractal Fract. 2023, 7, 159. [Google Scholar] [CrossRef]
- Wang, H.; Ji, Y. A Revised Hilbert-Huang Transform and Its Application to Fault Diagnosis in a Rotor System. Sensors 2018, 18, 4329. [Google Scholar] [CrossRef]
- Diao, Y.S.; Jia, D.T.; Liu, G.D.; Sun, Z.F.; Xu, J. Structural damage identification using modified Hilbert-Huang transform and support vector machine. J. Civ. Struct. Health Monit. 2021, 11, 1155–1174. [Google Scholar] [CrossRef]
- Gao, H.; Xie, A.; Shen, H.; Yu, L.; Wang, Y.; Hu, Y.; Gao, Y.; Xu, J.; Wu, W. Tool Wear Monitoring Algorithm Based on SWT-DCNN and SST-DCNN. Sci. Program. 2022, 2022, 1–11. [Google Scholar] [CrossRef]
- Daubechies, I.; Lu, J.; Wu, H.-T. Synchrosqueezed wavelet transforms: An empirical mode decomposition-like tool. Appl. Comput. Harmon. Anal. 2011, 30, 243–261. [Google Scholar] [CrossRef]
- Yu, G.; Yu, M.J.; Xu, C.Y. Synchroextracting Transform. IEEE Trans. Ind. Electron. 2017, 64, 8042–8054. [Google Scholar] [CrossRef]
- Yu, G.; Zhou, Y.Q. General linear chirplet transform. Mech. Syst. Signal Process. 2016, 70–71, 958–973. [Google Scholar] [CrossRef]
- Zhang, X.; Li, C.; Wang, X.; Wu, H. A novel fault diagnosis procedure based on improved symplectic geometry mode decomposition and optimized SVM. Measurement 2021, 173, 108644. [Google Scholar] [CrossRef]
- Yu, B.; Cao, N.; Zhang, T. A novel signature extracting approach for inductive oil debris sensors based on symplectic geometry mode decomposition. Measurement 2021, 185, 110056. [Google Scholar] [CrossRef]
- Cheng, J.; Yang, Y.; Hu, N.; Cheng, Z.; Cheng, J. A noise reduction method based on adaptive weighted symplectic geometry decomposition and its application in early gear fault diagnosis. Mech. Syst. Signal Process. 2021, 149, 107351. [Google Scholar] [CrossRef]
- Liu, Y.; Cheng, J.; Yang, Y.; Bin, G.; Shen, Y.; Peng, Y. The Partial Reconstruction Symplectic Geometry Mode Decomposition and Its Application in Rolling Bearing Fault Diagnosis. Sensors 2023, 23, 7335. [Google Scholar] [CrossRef]
- Nickerson, L.D.; Smith, S.M.; Öngür, D.; Beckmann, C.F. Using Dual Regression to Investigate Network Shape and Amplitude in Functional Connectivity Analyses. Front. Neurosci. 2017, 11, 115. [Google Scholar] [CrossRef]
- Issoglio, E.; Smith, P.; Voss, J. On the estimation of entropy in the FastICA algorithm. J. Multivar. Anal. 2021, 181, 104689. [Google Scholar] [CrossRef]
- Li, R.; Zhang, H.; Chen, Z.; Yu, N.; Kong, W.; Li, T.; Wang, E.; Wu, X.; Liu, Y. Denoising method of ground-penetrating radar signal based on independent component analysis with multifractal spectrum. Measurement 2022, 192, 110886. [Google Scholar] [CrossRef]




















| Total Correlation Coefficient Matrix | |||
|---|---|---|---|
| SGMD-FastICA | S1 | S2 | S3 |
| y1 | 0.99790 | 0.00300 | 0.00020 |
| y2 | 0.00001 | 0.99190 | 0.03590 |
| y3 | 0.00040 | 0.01210 | 0.97120 |
| EMD-FastICA | S1 | S2 | S3 |
| y2 | 0.91570 | 0.00830 | 0.05410 |
| y3 | 0.01050 | 0.95160 | 0.14850 |
| y5 | 0.21180 | 0.01600 | 0.57450 |
| VMD-FastICA | S1 | S2 | S3 |
| y1 | 0.99740 | 0.00870 | 0.00250 |
| y2 | 0.00005 | 0.63270 | 0.05260 |
| y3 | 0.00010 | 0.20900 | 0.86400 |
| Correlation Coefficient | SGMD-FastICA | EMD-FastICA | VMD-FastICA |
|---|---|---|---|
| Coefficient I | 0.9964 | 0.9415 | 0.9900 |
| Coefficient II | 0.9910 | 0.9313 | 0.5257 |
| Correlation Coefficient | S1 | S2 |
|---|---|---|
| y1 | 0.9967 | 0.0034 |
| y2 | 0.0004 | 0.9895 |
Disclaimer/Publisher’s Note: The statements, opinions and data contained in all publications are solely those of the individual author(s) and contributor(s) and not of MDPI and/or the editor(s). MDPI and/or the editor(s) disclaim responsibility for any injury to people or property resulting from any ideas, methods, instructions or products referred to in the content. |
© 2024 by the authors. Licensee MDPI, Basel, Switzerland. This article is an open access article distributed under the terms and conditions of the Creative Commons Attribution (CC BY) license (https://creativecommons.org/licenses/by/4.0/).
Share and Cite
Wang, X.; Zhao, J.; Wu, X. Comprehensive Separation Algorithm for Single-Channel Signals Based on Symplectic Geometry Mode Decomposition. Sensors 2024, 24, 462. https://doi.org/10.3390/s24020462
Wang X, Zhao J, Wu X. Comprehensive Separation Algorithm for Single-Channel Signals Based on Symplectic Geometry Mode Decomposition. Sensors. 2024; 24(2):462. https://doi.org/10.3390/s24020462
Chicago/Turabian StyleWang, Xinyu, Jin Zhao, and Xianliang Wu. 2024. "Comprehensive Separation Algorithm for Single-Channel Signals Based on Symplectic Geometry Mode Decomposition" Sensors 24, no. 2: 462. https://doi.org/10.3390/s24020462
APA StyleWang, X., Zhao, J., & Wu, X. (2024). Comprehensive Separation Algorithm for Single-Channel Signals Based on Symplectic Geometry Mode Decomposition. Sensors, 24(2), 462. https://doi.org/10.3390/s24020462
