Study on the Driver Visual Workload in High-Density Interchange-Merging Areas Based on a Field Driving Test
Abstract
1. Introduction
2. Experimental Design
2.1. Experimental Scenario
2.2. Test Vehicle and Facilities
2.3. Participants
2.4. Experimental Procedure and Data Processing
3. Modeling Basis
3.1. Visual Workload Evaluation Indicators
3.2. Modeling Approach Based on the CRITIC Weighting Method
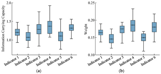
3.3. Evaluation Indicator Weight Analysis
4. Results
4.1. Evaluation of Visual Workload for the Ramp-to-Mainline Driving Condition
4.2. Assessment of Visual Workload under Mainline Driving Conditions
5. Measures to Enhance Safety in Interchange-Merging Areas
5.1. Improve Visibility in Merging Areas
5.2. Adjust the Configurations of Merging Areas
5.3. Optimize the Design of Acceleration Lanes in Merging Areas
6. Discussion
7. Conclusions
- (1)
- According to the CRITIC weighting method, the average scan frequency and average pupil area change rate had the highest weights, indicating a great impact on driver visual characteristics. The average single-gaze duration had the lowest weight in the visual workload assessment system for the interchange-merging areas, indicating a relatively smaller influence.
- (2)
- Drivers typically experience a higher visual workload when traveling on ramps with elements that obscure their view compared with unobstructed ramp sections. An appropriate arrangement of greenery and traffic facilities in triangular ramp areas can provide drivers with an improved visual recognition environment, facilitating the timely acquisition of information regarding traffic conditions in interchange-merging areas. The visual workloads of drivers on ramps with different numbers of lanes were ranked from highest to lowest as follows: single lane > three lanes > two lanes.
- (3)
- The longer the acceleration lane in the merging area, the lower the driver’s visual workload. A longer acceleration lane helps drivers to reduce their speed differential with vehicles on the mainline segment. Adopting a parallel acceleration lane design and extending the lane length in the merging section can alleviate the driving workload.
- (4)
- In the ramp-to-mainline condition, the driving environment of the merging section was more complex than that of the ramp section, and the drivers’ visual workloads in the merging section were greater than or equal to those in the ramp section. In the mainline condition, the integrated visual workload score from the merging nose point to the merging nose end was higher than that observed from the merging nose end to the end of the acceleration lane. From the merging nose point to the merging nose end, drivers must observe whether vehicles are merging from the front and simultaneously change lanes to the left, which requires them to increase their attention.
- (5)
- Based on the evaluation results, targeted improvement measures are proposed: enhancing the visibility distance of sight triangles, removing greenery from these areas, converting greenery to shrubbery, adjusting the geometric configuration of merging areas, reducing the number of lanes from three to two in the merging segment, and improving lane marking design.
Author Contributions
Funding
Institutional Review Board Statement
Informed Consent Statement
Data Availability Statement
Conflicts of Interest
References
- Namgung, M.; Sung, S.L. Analysis on characteristics of driver’s visual change on the roundabout. J. Korea Entertain. Ind. Assoc. 2016, 10, 293. [Google Scholar] [CrossRef]
- Yuan, W.; Guo, Y.S.; Fu, R.; Chen, Y. Influence of urban road types on drivers’ workload. J. Chang’an Univ. Nat. Sci. Ed. 2014, 34, 95–100. [Google Scholar] [CrossRef]
- Xu, J.; Liu, X.M.; Hu, J. Psychological load analysis of spiral ramp (bridge) drivers based on natural driving data. Transp. Syst. Eng. Inf. 2020, 20, 212–218. [Google Scholar]
- Xu, J.; Chen, Z.H.; Liao, Q.S.; Zheng, Z.J.; Zhang, H.S. Study on driving load of high-density interchange on the freeway based on electrocardiographic data. J. Jilin Univ. Eng. Ed. 2023, 1–12. Available online: http://libvpn.cqjtu.edu.cn:80/rwt/CNKI/https/MSYXTLUQPJUB/10.13229/j.cnki.jdxbgxb.20221522 (accessed on 9 June 2023).
- Yang, D.; Xu, J.; Lv, N.C. Study on the psychological load of drivers at the entrance and exit of mountainous urban interchanges. Chin. Sci. Technol. Pap. 2022, 17, 195–202. [Google Scholar]
- Fallahi, M.; Motamedzade, M.; Heidarimoghadam, R.; Solanina, A.R.; Miyake, S. Effects of mental workload on physiological and subjective responses during traffic density monitoring: A field study. Appl. Ergon. 2016, 52, 95–103. [Google Scholar] [CrossRef]
- Hu, J.B.; He, L.C.; Wang, R.H. Safety evaluation of freeway interchange merging areas based on driver workload theory. Sci. Prog. 2020, 103, 1–16. [Google Scholar] [CrossRef]
- Szychowska, M.; Wiens, S. Visual load effects on the auditory steady-state responses to 20-, 40-, and 80-Hz amplitude-modulated tones. Physiol. Behav. 2021, 228, 113240. [Google Scholar] [CrossRef]
- Marquart, G.; Cabrall, C.; Winter, J.D. Review of eye-related measures of drivers’ mental workload. Procedia Manuf. 2015, 3, 2854–2861. [Google Scholar] [CrossRef]
- Yang, Y.X.; Chen, F. Influence of spatial enclosure of mountainous freeway on driver’s visual and physiological indices. J. Saf. Environ. 2019, 19, 881–886. [Google Scholar]
- Faure, V.; Lobjois, R.; Benguigui, N. The effects of driving environment complexity and dual tasking on drivers’ mental workload and eye blink behavior. Transp. Res. Part F Psychol. Behav. 2016, 40, 78–90. [Google Scholar] [CrossRef]
- Bai, Y.; Leng, S. Analyzing the influence of traffic environment factors on driver’s visual load based on eye movement data. Traffic Eng. 2024, 24, 120–128. [Google Scholar] [CrossRef]
- Meng, Y.W.; Zhang, X.Y.; Qing, G.Y.; Wang, C.H.; Luo, J.Q. Study on the characteristics of visual and psycho-physiological loads in the road space of mountainous two-lane freeways. J. Wuhan Univ. Technol. Transp. Sci. Eng. 2021, 45, 403–407. [Google Scholar]
- Gao, J.P.; Dou, H.R.; He, Y.Y.; Sun, L.; He, E.H.; Yang, C.F. Design method of freeway alignment combination for long continuous downhill section based on driver’s human factors. Freeway 2021, 66, 7–13. [Google Scholar]
- Lim, C.C. A Driver Attention Model. 2010. Available online: https://open.library.ubc.ca/soa/cIRcle/collections/ubctheses/831/items/1.0050244 (accessed on 25 March 2009).
- Doori, J.; Sukhan, L.; Yubu, L. The effect of driving speed on driver’s visual attention: Experimental investigation. In Engineering Psychology and Cognitive Ergonomics; Harris, D., Ed.; EPCE 14. Lecture Notes in Computer Science; Springer: Cham, Switzerland, 2014; pp. 174–182. [Google Scholar] [CrossRef]
- Ding, X.; Wang, H.; Wang, C.; Guo, M. Analyzing Driving Safety on Prairie Highways: A Study of Drivers’ Visual Search Behavior in Varying Traffic Environments. Sustainability 2023, 15, 12146. [Google Scholar] [CrossRef]
- Arakawa, T. Driver attention based on eye-movement and time-series analysis—Concept of driver state detection devices. Am. J. Mech. Eng. 2017, 5, 18–23. [Google Scholar]
- Wang, Y.; Prato, C.G. Determinants of injury severity for truck crashes on mountain expressways in China: A case-study with a partial proportional odds model. Saf. Sci. 2019, 117, 100–107. [Google Scholar] [CrossRef]
- Xu, T.; Deng, H.; Liu, S.; Luo, Z. Research on safety evaluation technology of high density and high load small spacing interchange area. Shandong Traffic Sci. Technol. 2019, 3, 6–8+17. [Google Scholar]
- Sun, Z.Q. Research on Dynamic Visual Characteristics of Drivers at High-Density Interchange Exit; Chongqing Jiaotong University: Chongqing, China, 2022. [Google Scholar] [CrossRef]
- Xu, J.; Sun, Z.Q.; Wang, S.; Yang, Z.M. Characteristics of driver’s visual search behavior on exit ramp of high-density interchange. J. Southeast Univ. Nat. Sci. Ed. 2022, 52, 1189–1198. [Google Scholar]
- CJJ 193—2012; Code for Design of Urban Road Alignment. China Architecture and Building Press: Beijing, China, 2013.
- JTGD20—2017; Design Specification for Highway Alignment. People’s Transportation Press: Beijing, China, 2017.
- Jamson, A.H.; Merat, N. Surrogate in-vehicle information systems and driver behavior: Effects of visual and cognitive load in simulated rural driving. Transp. Res. Part F Traffic Psychol. Behav. 2005, 8, 79–96. [Google Scholar] [CrossRef]
- Schneider, A.; Sonderegger, A.; Krueger, E.; Meteier, Q.; Luethold, P.; Chavaillaz, A. The interplay between task difficulty and microsaccade rate: Evidence for the critical role of visual load. J. Eye Mov. Res. 2021, 13. [Google Scholar] [CrossRef] [PubMed]
- Pan, B.; Liu, S.; Xie, Z.; Shao, Y.; Li, X.; Ge, R. Evaluating Operational Features of Three Unconventional Intersections under Heavy Traffic Based on CRITIC Method. Sustainability 2021, 13, 4098. [Google Scholar] [CrossRef]
- Di Flumeri, G.; Borghini, G.; Aricò, P.; Sciaraffa, N.; Lanzi, P.; Pozzi, S.; Vignali, V.; Lantieri, C.; Bichicchi, A.; Simone, A.; et al. EEG-based mental workload neurometric to evaluate the impact of different traffic and road conditions in real driving settings. Front. Hum. Neurosci. 2018, 12, 509. [Google Scholar] [CrossRef] [PubMed]
- Zhao, X.; Min, Y.; Xue, Y.; Mo, Z.; Zhang, S.; Gong, J.; Yu, J. Research on the visual characteristics of novice drivers under fatigue. J. Chongqing Univ. Technol. Nat. Sci. 2023, 37, 149–157. [Google Scholar]
- Benedetto, S.; Pedrotti, M.; Minin, L.; Baccino, T.; Re, A.; Montanari, R. Driver workload and eye blink duration. Transp. Res. Part F Traffic Psychol. Behav. 2011, 14, 199–208. [Google Scholar] [CrossRef]
- Kondyli, A.; Elefteriadou, L. Driver behavior at freeway-ramp merging areas based on instrumented vehicle observations. Transp. Lett. 2012, 4, 129–142. [Google Scholar] [CrossRef]













| Interchange Name | Confluence Area ID | Vehicle Operating Condition | Acceleration Lane Type | Interchange Spacing Type |
|---|---|---|---|---|
| Wutong Interchange | WT1 | Ramp → Mainline | Direct | Small Spacing |
| WT2 | Mainline Driving | Parallel | Small Spacing | |
| WT3 | Ramp → Mainline | Parallel | Normal Spacing | |
| Wugui Interchange | WG1 | Ramp → Mainline | Parallel | Composite |
| WG2 | Ramp → Mainline | Parallel | Normal Spacing | |
| WG3 | Ramp → Mainline | Parallel | Small Spacing | |
| Donghuan Interchange | DH1 | Ramp → Mainline | Parallel | Normal Spacing |
| DH2 | Ramp → Mainline | Direct | Small Spacing | |
| Cuntan Interchange | CT1 | Ramp → Mainline | Parallel | Normal Spacing |
| CT2 | Mainline Driving | Direct | Normal Spacing | |
| Renhe Interchange | RH1 | Mainline Driving | Direct | Normal Spacing |
| RH2 | Ramp → Mainline | Direct | Normal Spacing |
| Serial No. | Indicator | Unit | Description |
|---|---|---|---|
| Indicator 1 | Proportion of Gaze Duration | % | Degree of information processing activity |
| Indicator 2 | Average Single Gaze Duration | ms | Difficulty of information acquisition |
| Indicator 3 | Average Horizontal Search Breadth | px | Distribution of visual information search area |
| Indicator 4 | Average Scan Frequency | N·s−1 | Demand for receiving and recognizing information |
| Indicator 5 | Average Blink Frequency | N·s−1 | Degree of driver fatigue and psychological workload |
| Indicator 6 | Average Pupil Area Change Rate | % | Degree of driver’s psychological workload |
| Evaluation Method | Principle | Merits and Demerits | Serviceability |
|---|---|---|---|
| AHP | The weight is calculated by using the relative information size of the number. | It can deal with the combination of qualitative and quantitative problems; expert scoring empowerment has certain subjectivity. | Calculate the weight of the index of the multi-level structure |
| Entropy method | Using the amount of information to calculate the weight | Objective empowerment, to avoid human factors deviation; it has great dependence on samples, and the weight is determined only by data fluctuation. | There are many indexes, and the bottom index calculates the weight. |
| CRITIC weighting method | The correlation between data fluctuations and indicators is used for calculation. | Considering the amount of information while taking into account the correlation between indicators. | There is a certain correlation between the index data. |
| Principal component analysis | Information concentration, data dimension reduction | The calculation is simple; when the factor symbol of the principal component is positive or negative, the meaning of the evaluation function is not clear. | When there are many indexes, the principal component weight can be obtained by dimension reduction. |
| Factor analysis method | Information concentration, data dimension reduction | Factor variables are more interpretable; the least square method used to calculate the factor score may fail. | When there are many indexes, the interpretable factor weights are extracted. |
Disclaimer/Publisher’s Note: The statements, opinions and data contained in all publications are solely those of the individual author(s) and contributor(s) and not of MDPI and/or the editor(s). MDPI and/or the editor(s) disclaim responsibility for any injury to people or property resulting from any ideas, methods, instructions or products referred to in the content. |
© 2024 by the authors. Licensee MDPI, Basel, Switzerland. This article is an open access article distributed under the terms and conditions of the Creative Commons Attribution (CC BY) license (https://creativecommons.org/licenses/by/4.0/).
Share and Cite
Zhang, Y.; Jiang, P.; Wang, S.; Cheng, S.; Xu, J.; Liu, Y. Study on the Driver Visual Workload in High-Density Interchange-Merging Areas Based on a Field Driving Test. Sensors 2024, 24, 6247. https://doi.org/10.3390/s24196247
Zhang Y, Jiang P, Wang S, Cheng S, Xu J, Liu Y. Study on the Driver Visual Workload in High-Density Interchange-Merging Areas Based on a Field Driving Test. Sensors. 2024; 24(19):6247. https://doi.org/10.3390/s24196247
Chicago/Turabian StyleZhang, Yue, Pei Jiang, Siqi Wang, Shuang Cheng, Jin Xu, and Yawen Liu. 2024. "Study on the Driver Visual Workload in High-Density Interchange-Merging Areas Based on a Field Driving Test" Sensors 24, no. 19: 6247. https://doi.org/10.3390/s24196247
APA StyleZhang, Y., Jiang, P., Wang, S., Cheng, S., Xu, J., & Liu, Y. (2024). Study on the Driver Visual Workload in High-Density Interchange-Merging Areas Based on a Field Driving Test. Sensors, 24(19), 6247. https://doi.org/10.3390/s24196247
