A Method for the Pattern Recognition of Acoustic Emission Signals Using Blind Source Separation and a CNN for Online Corrosion Monitoring in Pipelines with Interference from Flow-Induced Noise
Abstract
1. Introduction
2. Theory and Method
2.1. The Proposed Model
2.2. Signal-Separation Module
2.3. Feature-Extraction Module
2.4. Acoustic Source-Recognition Module
3. AE Monitoring Experimental Setup
3.1. Experimental Platform
3.2. Dataset Construction
4. Results and Discussion
4.1. Blind Source Separation of Signals
4.2. Feature Extraction and Model Training
4.3. Comparison of Model Effects
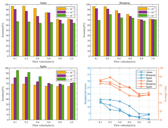
4.4. Hyperparameter Optimization Analysis
5. Conclusions
- (1)
- Through a time–frequency domain analysis of corrosion signals, flow-induced noise signals, and mixed signals obtained in the experiments, it was found that flow-induced noise interfered with acoustic sources of pipeline corrosion. The similarity in the time and frequency domains between signals caused by pipeline corrosion and flow-induced noise makes it challenging to identify acoustic sources of corrosion from traditional AE parameters or waveforms.
- (2)
- By comparing the separation effects of mixed signals at different flow rates, it was observed that when the average amplitude of the flow-induced noise was within three times that of the corrosion signal, the separation of two independent acoustic sources in mixed signals was more effective. Based on the accuracy results of the subsequent recognition model, the separation module plays a critical role in identifying corrosion signals under the interference of flow-induced noise. However, the intensity range of the noise must still be considered, as an excessively strong noise can continue to interfere with the corrosion signals.
- (3)
- The impacts of different separation algorithms, SSA-ICA and VMD, as well as two types of hyperparameters, deep learning optimizers and initial learning rates, on network performance were individually compared. The results indicate that separation algorithms are more critical for recognition effectiveness, while hyperparameter optimization can also improve model performance to some extent. Additionally, the model demonstrated excellent recognition capabilities for corrosion signals without noise interference at different flow rates, making it equally suitable for pipeline corrosion monitoring during shutdown periods.
Author Contributions
Funding
Institutional Review Board Statement
Informed Consent Statement
Data Availability Statement
Conflicts of Interest
References
- Gao, Y.; Piltan, F.; Kim, J.-M. A Hybrid Leak Localization Approach Using Acoustic Emission for Industrial Pipelines. Sensors 2022, 22, 3963. [Google Scholar] [CrossRef] [PubMed]
- Suyama, F.M.; Delgado, M.R.; da Silva, R.D.; Centeno, T.M. Deep neural networks based approach for welded joint detection of oil pipelines in radiographic images with Double Wall Double Image exposure. Ndt E Int. 2019, 105, 46–55. [Google Scholar] [CrossRef]
- Askari, M.; Aliofkhazraei, M.; Afroukhteh, S. A comprehensive review on internal corrosion and cracking of oil and gas pipelines. J. Nat. Gas Sci. Eng. 2019, 71, 102971. [Google Scholar] [CrossRef]
- Luo, J.-H.; Li, L.-F.; Zhu, L.-X.; Zhang, L.; Wu, G.; Zhao, X.-W. Oil-Pipe Cracking and Fitness-for-Service Assessment. Metals 2022, 12, 1236. [Google Scholar] [CrossRef]
- Ravanbod, H. Application of neuro-fuzzy techniques in oil pipeline ultrasonic nondestructive testing. Ndt E Int. 2005, 38, 643–653. [Google Scholar] [CrossRef]
- Scislo, L. Single-Point and Surface Quality Assessment Algorithm in Continuous Production with the Use of 3D Laser Doppler Scanning Vibrometry System. Sensors 2023, 23, 1263. [Google Scholar] [CrossRef]
- Scislo, L.; Szczepanik-Scislo, N. Quantification of Construction Materials Quality via Frequency Response Measurements: A Mobile Testing Station. Sensors 2023, 23, 8884. [Google Scholar] [CrossRef]
- Erlinger, T.; Kralovec, C.; Schagerl, M. Monitoring of Atmospheric Corrosion of Aircraft Aluminum Alloy AA2024 by Acoustic Emission Measurements. Appl. Sci. 2023, 13, 370. [Google Scholar] [CrossRef]
- Jha, S.K.; Narayanan, S. On the acoustic emission characteristics of airfoils with different trailing edge configurations. Proc. Inst. Mech. Eng. Part G-J. Aerosp. Eng. 2023, 237, 2008–2026. [Google Scholar] [CrossRef]
- Zafar, T.; Kamal, K.; Mathavan, S.; Hussain, G.; Alkahtani, M.; Alqahtani, F.M.; Aboudaif, M.K. A Hybrid Approach for Noise Reduction in Acoustic Signal of Machining Process Using Neural Networks and ARMA Model. Sensors 2021, 21, 8023. [Google Scholar] [CrossRef]
- Kim, S.J.; Kim, K.; Hwang, T.; Park, J.; Jeong, H.; Kim, T.; Youn, B.D. Motor-current-based electromagnetic interference de-noising method for rolling element bearing diagnosis using acoustic emission sensors. Measurement 2022, 193, 110912. [Google Scholar] [CrossRef]
- Suwansin, W.; Phasukkit, P. Deep Learning-Based Acoustic Emission Scheme for Nondestructive Localization of Cracks in Train Rails under a Load. Sensors 2021, 21, 272. [Google Scholar] [CrossRef] [PubMed]
- Bhange, P.; Joshi, D.K.; Pandu, S.K.; Mankari, K.; Acharyya, S.G.; Sridhar, K.; Acharyya, A. Real-time fatigue crack growth rate estimation methodology for structural health monitoring of ships. IEEE Sens. J. 2022, 22, 19729–19738. [Google Scholar] [CrossRef]
- Megid, W.A.; Mejia, J.; Modwel, R.; Hay, D.R. Monitoring welded joints of steel pressure vessels using acoustic emission: Case study. Trans. Indian Inst. Met. 2022, 75, 2199–2209. [Google Scholar] [CrossRef]
- Kietov, V.; Mandel, M.; Krueger, L. Combination of Electrochemical Noise and Acoustic Emission for Analysis of the Pitting Corrosion Behavior of an Austenitic Stainless Cast Steel. Adv. Eng. Mater. 2019, 21, 1800682. [Google Scholar] [CrossRef]
- Wu, K.; Kim, J.-Y. Acoustic emission monitoring during open-morphological pitting corrosion of 304 stainless steel passivated in dilute nitric acid. Corros. Sci. 2021, 180, 109224. [Google Scholar] [CrossRef]
- Rai, A.; Ahmad, Z.; Hasan, M.J.; Kim, J.-M. A Novel Pipeline Leak Detection Technique Based on Acoustic Emission Features and Two-Sample Kolmogorov-Smirnov Test. Sensors 2021, 21, 8247. [Google Scholar] [CrossRef]
- Thang Bui, Q.; Kim, J.-M. Crack detection and localization in a fluid pipeline based on acoustic emission signals. Mech. Syst. Signal Process. 2021, 150, 107254. [Google Scholar]
- Kafle, M.D.; Fong, S.; Narasimhan, S. Active acoustic leak detection and localization in a plastic pipe using time delay estimation. Appl. Acoust. 2022, 187, 108482. [Google Scholar] [CrossRef]
- Liang, Z.; Wang, A.; Yu, Y.; Yang, P. Research on early weak structural damage detection of aeroengine intershaft bearing based on acoustic emission technology. Struct. Health Monit.-Int. J. 2021, 20, 3113–3122. [Google Scholar] [CrossRef]
- Lin, Q.; Lyu, F.; Yu, S.; Xiao, H.; Li, X. Optimized Denoising Method for Weak Acoustic Emission Signal in Partial Discharge Detection. IEEE Trans. Dielectr. Electr. Insul. 2022, 29, 1409–1416. [Google Scholar] [CrossRef]
- Yu, A.; Liu, X.; Fu, F.; Chen, X.; Zhang, Y. Acoustic Emission Signal Denoising of Bridge Structures Using SOM Neural Network Machine Learning. J. Perform. Constr. Facil. 2023, 37, 04022066. [Google Scholar] [CrossRef]
- Yang, W.; Li, X.; Wang, Y.; Zheng, Y.; Guo, P. Novel method for detecting weak acoustic emission signals based on the similarity of time-frequency spectra. Geophysics 2022, 87, V143–V154. [Google Scholar] [CrossRef]
- Skal’s’kyi, V.R.; Nazarchuk, Z.T.; Dolins’ka, I.Y.; Yarema, R.Y.; Selivonchyk, T.V. Acoustic-emission diagnostics of corrosion defects in materials (a survey). Part. 2. corrosion cracking of metals. applied aspects of application of the method. Mater. Sci. 2018, 53, 431–443. [Google Scholar] [CrossRef]
- Liu, H.; Zhang, H.; Huang, X.; Kong, Z.; Yang, J.; Yang, Y. Research on noise source separation and sound quality prediction for electric powertrain. Appl. Acoust. 2022, 199, 109034. [Google Scholar] [CrossRef]
- Lin, J.; Zhang, A.M. Fault feature separation using wavelet-ICA filter. Ndt E Int. 2005, 38, 421–427. [Google Scholar] [CrossRef]
- Bandara, S.; Rajeev, P.; Gad, E.; Sriskantharajah, B.; Flatley, I. Damage detection of in service timber poles using Hilbert-Huang transform. Ndt E Int. 2019, 107, 102141. [Google Scholar] [CrossRef]
- Zhang, P.; Gao, D.; Lu, Y.; Kong, L.; Ma, Z. Online chatter detection in milling process based on fast iterative VMD and energy ratio difference. Measurement 2022, 194, 111060. [Google Scholar] [CrossRef]
- Lee, S.-K.; Lee, H.; Back, J.; An, K.; Yoon, Y.; Yum, K.; Kim, S.; Hwang, S.-U. Prediction of tire pattern noise in early design stage based on convolutional neural network. Appl. Acoust. 2021, 172, 107617. [Google Scholar] [CrossRef]









| Name | Filters | Kernal Size/Stride | Input Size | Output Size | Parameter Scale |
|---|---|---|---|---|---|
| Conv_1 | 8 | 8/1 | 1@56 × 56 | 8@56 × 56 | 520 |
| Pooling_1 | 2/2 | 8@56 × 56 | 16@28 × 28 | - | |
| Conv_2 | 16 | 8/1 | 16@28 × 28 | 16@14 × 14 | 8208 |
| Pooling_2 | 2/2 | 16@14 × 14 | 32@14 × 14 | - | |
| Conv_3 | 32 | 6/1 | 32@14 × 14 | 32@7 × 7 | 18,464 |
| Pooling_3 | 2/2 | 32@7 × 7 | 64@7 × 7 | — | |
| Conv_4 | 64 | 3/1 | 64@7 × 7 | 64@3 × 3 | 18,496 |
| Pooling_4 | 2/2 | 64@3 × 3 | 3@1 × 1 | — |
| Pipeline Status | Flow Rate (m/s) | Label | Signal Length | Average Signal Amplitude (V) |
|---|---|---|---|---|
| Corrosion | 0 | 0 | 1024 | 0.0013 |
| Corrosion free | 0.1 | 1 | 1024 | 0.0020 |
| Corrosion free | 0.2 | 2 | 1024 | 0.0024 |
| Corrosion free | 0.4 | 3 | 1024 | 0.0032 |
| Corrosion free | 0.6 | 4 | 1024 | 0.0045 |
| Corrosion free | 0.8 | 5 | 1024 | 0.0108 |
| Corrosion free | 1.0 | 6 | 1024 | 0.0231 |
| Corrosion | 0.1 | 7 | 1024 | 0.0024 |
| Corrosion | 0.2 | 8 | 1024 | 0.0028 |
| Corrosion | 0.4 | 9 | 1024 | 0.0033 |
| Corrosion | 0.6 | 10 | 1024 | 0.0046 |
| Corrosion | 0.8 | 11 | 1024 | 0.0109 |
| Corrosion | 1.0 | 12 | 1024 | 0.0232 |
Disclaimer/Publisher’s Note: The statements, opinions and data contained in all publications are solely those of the individual author(s) and contributor(s) and not of MDPI and/or the editor(s). MDPI and/or the editor(s) disclaim responsibility for any injury to people or property resulting from any ideas, methods, instructions or products referred to in the content. |
© 2024 by the authors. Licensee MDPI, Basel, Switzerland. This article is an open access article distributed under the terms and conditions of the Creative Commons Attribution (CC BY) license (https://creativecommons.org/licenses/by/4.0/).
Share and Cite
Wang, X.; Xu, S.; Zhang, Y.; Tu, Y.; Peng, M. A Method for the Pattern Recognition of Acoustic Emission Signals Using Blind Source Separation and a CNN for Online Corrosion Monitoring in Pipelines with Interference from Flow-Induced Noise. Sensors 2024, 24, 5991. https://doi.org/10.3390/s24185991
Wang X, Xu S, Zhang Y, Tu Y, Peng M. A Method for the Pattern Recognition of Acoustic Emission Signals Using Blind Source Separation and a CNN for Online Corrosion Monitoring in Pipelines with Interference from Flow-Induced Noise. Sensors. 2024; 24(18):5991. https://doi.org/10.3390/s24185991
Chicago/Turabian StyleWang, Xueqin, Shilin Xu, Ying Zhang, Yun Tu, and Mingguo Peng. 2024. "A Method for the Pattern Recognition of Acoustic Emission Signals Using Blind Source Separation and a CNN for Online Corrosion Monitoring in Pipelines with Interference from Flow-Induced Noise" Sensors 24, no. 18: 5991. https://doi.org/10.3390/s24185991
APA StyleWang, X., Xu, S., Zhang, Y., Tu, Y., & Peng, M. (2024). A Method for the Pattern Recognition of Acoustic Emission Signals Using Blind Source Separation and a CNN for Online Corrosion Monitoring in Pipelines with Interference from Flow-Induced Noise. Sensors, 24(18), 5991. https://doi.org/10.3390/s24185991
