Graphene–PbS Quantum Dot Heterostructure for Broadband Photodetector with Enhanced Sensitivity
Abstract
1. Introduction
2. Materials and Methods
2.1. Materials
2.2. Device Fabrication
2.3. Characterization and Measurements
3. Results and Discussion
3.1. Fabrication and Architecture of PbS QD/Graphene Heterostructure-Based Photodetector
3.2. Optical and Electrical Performance of Fabricated Photodetector
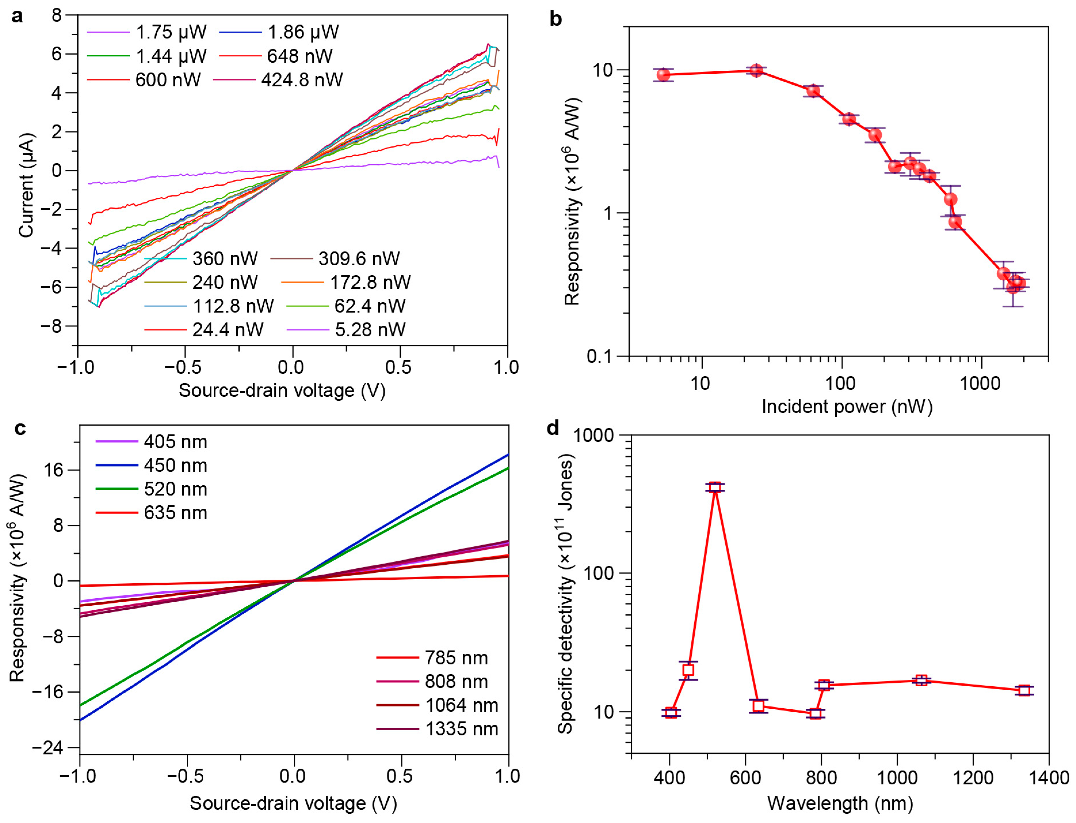
3.3. Photodetectrion Performance of Fabricated Device
4. Conclusions
Supplementary Materials
Author Contributions
Funding
Institutional Review Board Statement
Informed Consent Statement
Data Availability Statement
Conflicts of Interest
References
- Koppens, F.H.; Mueller, T.; Avouris, P.; Ferrari, A.C.; Vitiello, M.S.; Polini, M. Photodetectors based on graphene, other two-dimensional materials and hybrid systems. Nat. Nanotechnol. 2014, 9, 780–793. [Google Scholar] [CrossRef] [PubMed]
- Guo, J.; Gu, S.; Lin, L.; Liu, Y.; Cai, J.; Cai, H.; Tian, Y.; Zhang, Y.; Zhang, Q.; Liu, Z.; et al. Type-printable photodetector arrays for multichannel meta-infrared imaging. Nat. Commun. 2024, 15, 5193. [Google Scholar] [CrossRef] [PubMed]
- Guo, J.X.; Liu, Y.; Lin, L.; Li, S.D.; Cai, J.; Chen, J.B.; Huang, W.; Lin, Y.; Xu, J. Chromatic plasmonic polarizer-based synapse for all-optical convolutional neural network. Nano Lett. 2023, 23, 9651–9656. [Google Scholar] [CrossRef]
- Long, M.; Wang, P.; Fang, H.; Hu, W. Progress, challenges, and opportunities for 2D material Based photodetectors. Adv. Funct. Mater. 2018, 29, 1803807. [Google Scholar] [CrossRef]
- Chen, J.; Liu, Y.; Li, S.; Lin, L.; Li, Y.; Huang, W.; Guo, J. Ferroelectric-controlled graphene plasmonic surfaces for all-optical neuromorphic vision. Sci. China Technol. Sci. 2024, 67, 765–773. [Google Scholar] [CrossRef]
- Rogalski, A.; Kopytko, M.; Martyniuk, P. Two-dimensional infrared and terahertz detectors: Outlook and status. Appl. Phys. Rev. 2019, 6, 021316. [Google Scholar] [CrossRef]
- Freitag, M.; Low, T.; Zhu, W.; Yan, H.; Xia, F.; Avouris, P. Photocurrent in graphene harnessed by tunable intrinsic plasmons. Nat. Commun. 2013, 4, 1951. [Google Scholar] [CrossRef]
- Low, T.; Avouris, P. Graphene plasmonics for terahertz to mid-infrared applications. ACS Nano 2014, 8, 1086–1101. [Google Scholar] [CrossRef]
- Castro Neto, A.H.; Guinea, F.; Peres, N.M.R.; Novoselov, K.S.; Geim, A.K. The electronic properties of graphene. Rev. Mod. Phys. 2009, 81, 109–162. [Google Scholar] [CrossRef]
- Bao, Q.; Loh, K.P. Graphene photonics, plasmonics, and broadband optoelectronic devices. ACS Nano 2012, 6, 3677–3694. [Google Scholar] [CrossRef]
- Song, X.X.; Zhang, Y.T.; Zhang, H.T.; Yu, Y.; Cao, M.X.; Che, Y.L.; Dai, H.T.; Yang, J.B.; Ding, X.; Yao, J.Q. Graphene and PbS quantum dot hybrid vertical phototransistor. Nanotechnology 2017, 28, 145201. [Google Scholar] [CrossRef]
- Shin, D.H.; Jang, C.W.; Kim, J.M.; Choi, S.H. Self-powered Ag-nanowires-doped graphene/Si quantum dots/Si heterojunction photodetectors. J. Alloys Compd. 2018, 758, 32–37. [Google Scholar] [CrossRef]
- Luo, M.T.; Chen, R.; Zhu, Z.W.; Cheng, C.T.; Ning, X.; Huang, B.J. A broadband photodetector based on PbS quantum dots and graphene with high responsivity and detectivity. Nanomaterials 2023, 13, 1996. [Google Scholar] [CrossRef]
- Dakhil, T.; Abdulalmuhsin, S.M.; Al-Khursan, A.H. QE of cadmium sulphide QD photodetectors. Micro Nano Lett. 2018, 13, 1185–1187. [Google Scholar] [CrossRef]
- Passian, A.; Buchs, G.; Seck, C.M.; Marino, A.M.; Peters, N.A. The Concept of a Quantum Edge Simulator: Edge Computing and Sensing in the Quantum Era. Sensors 2023, 23, 115. [Google Scholar] [CrossRef] [PubMed]
- Wang, Z.; Gu, Y.J.; Li, X.M.; Liu, Y.; Liu, F.H.; Wu, W.P. Recent progress of quantum dot infrared photodetectors. Adv. Opt. Mater. 2023, 11, 2300970. [Google Scholar] [CrossRef]
- Huang, Y.Q.; Zhu, R.J.; Kang, N.; Du, J.; Xu, H.Q. Photoelectrical response of hybrid graphene-PbS quantum dot devices. Appl. Phys. Lett. 2013, 103, 143119. [Google Scholar] [CrossRef]
- Ahn, S.; Chen, W.; Vazquez-Mena, O. High resolution patterning of PbS quantum dots/graphene photodetectors with high responsivity via photolithography with a top graphene layer to protect surface ligands. Nanoscale Adv. 2021, 3, 6206–6212. [Google Scholar] [CrossRef]
- Shultz, A.; Liu, B.; Gong, M.; Alamri, M.; Walsh, M.; Schmitz, R.C.; Wu, J.Z. Development of Broadband PbS Quantum Dot/Graphene Photodetector Arrays with High-Speed Readout Circuits for Flexible Imagers. ACS Appl. Nano Mater. 2022, 5, 16896–16905. [Google Scholar] [CrossRef]
- Zhao, M.; Peng, R.; Zheng, Q.; Wang, Q.; Chang, M.J.; Liu, Y.; Song, Y.L.; Zhang, H.L. Broadband optical limiting response of a graphene-PbS nanohybrid. Nanoscale 2015, 7, 9268–9274. [Google Scholar] [CrossRef] [PubMed]
- Che, Y.L.; Cao, X.L.; Yao, J.Q. High-performance PbS NCs-graphene phototransistor with memory function. IEEE Photonics Technol. Lett. 2024, 36, 753–756. [Google Scholar] [CrossRef]
- Ahn, S.; Chung, H.; Chen, W.J.; Moreno-Gonzalez, M.A.; Vazquez-Mena, O. Optoelectronic response of hybrid PbS-QD/graphene photodetectors. J. Chem. Phys. 2019, 151, 234705. [Google Scholar] [CrossRef] [PubMed]
- Ferrari, A.C.; Basko, D.M. Raman spectroscopy as a versatile tool for studying the properties of graphene. Nat. Nanotechnol. 2013, 8, 235–246. [Google Scholar] [CrossRef] [PubMed]
- Malard, L.M.; Pimenta, M.A.; Dresselhaus, G.; Dresselhaus, M.S. Raman spectroscopy in graphene. Phys. Rep. 2009, 473, 51–87. [Google Scholar] [CrossRef]
- Ferrari, A.C.; Meyer, J.C.; Scardaci, V.; Casiraghi, C.; Lazzeri, M.; Mauri, F.; Piscanec, S.; Jiang, D.; Novoselov, K.S.; Roth, S.; et al. Raman spectrum of graphene and graphene layers. Phys. Rev. Lett. 2006, 97, 187401. [Google Scholar] [CrossRef] [PubMed]
- Kahng, Y.H.; Lee, S.; Choe, M.; Jo, G.; Park, W.; Yoon, J.; Hong, W.K.; Cho, C.H.; Lee, B.H.; Lee, T. A study of graphene films synthesized on nickel substrates: Existence and origin of small-base-area peaks. Nanotechnology 2011, 22, 045706. [Google Scholar] [CrossRef] [PubMed]
- Gupta, A.; Chen, G.; Joshi, P.; Tadigadapa, S.; Eklund. Raman scattering from high-frequency phonons in supported n-graphene layer films. Nano Lett. 2006, 6, 2667–2673. [Google Scholar] [CrossRef] [PubMed]
- Ferrari, A.C. Raman spectroscopy of graphene and graphite: Disorder, electron–phonon coupling, doping and nonadiabatic effects. Solid State Commun. 2007, 143, 47–57. [Google Scholar] [CrossRef]
- Graf, D.; Molitor, F.; Ensslin, K.; Stampfer, C.; Jungen, A.; Hierold, C.; Wirtz, L. Spatially resolved Raman spectroscopy of single- and few-layer graphene. Nano Lett. 2007, 7, 238–242. [Google Scholar] [CrossRef] [PubMed]
- Konstantatos, G.; Badioli, M.; Gaudreau, L.; Osmond, J.; Bernechea, M.; de Arquer, F.P.G.; Gatti, F.; Koppens, F.H.L. Hybrid graphene-quantum dot phototransistors with ultrahigh gain. Nat. Nanotechnol. 2012, 7, 363–368. [Google Scholar] [CrossRef]
- Farmer, D.B.; Golizadeh-Mojarad, R.; Perebeinos, V.; Lin, Y.M.; Tulevski, G.S.; Tsang, J.C.; Avouris, P. Chemical doping and electron-hole conduction asymmetry in graphene devices. Nano Lett. 2009, 9, 388–392. [Google Scholar] [CrossRef] [PubMed]
- Kang, J.; Shin, D.; Bae, S.; Hong, B.H. Graphene transfer: Key for applications. Nanoscale 2012, 4, 5527–5537. [Google Scholar] [CrossRef] [PubMed]
- Qing, F.Z.; Zhang, Y.F.; Niu, Y.T.; Stehle, R.; Chen, Y.F.; Li, X.S. Towards large-scale graphene transfer. Nanoscale 2020, 12, 10890–10911. [Google Scholar] [CrossRef] [PubMed]
- Sun, Y.L.; Xie, D.; Sun, M.X.; Teng, C.J.; Qian, L.; Chen, R.S.; Xiang, L.; Ren, T.L. Hybrid graphene/cadmium-free ZnSe/ZnS quantum dots phototransistors for UV detection. Sci. Rep. 2018, 8, 5107. [Google Scholar] [CrossRef] [PubMed]
- Zheng, Z.Q.; Yao, J.D.; Zhu, L.F.; Jiang, W.; Wang, B.; Yang, G.W.; Li, J.B. Tin dioxide quantum dots coupled with graphene for high-performance bulk-silicon Schottky photodetector. Mater. Horiz. 2018, 5, 727–737. [Google Scholar] [CrossRef]
- Tang, X.; Chen, M.L.; Kamath, A.; Ackerman, M.M.; Guyot-Sionnest, P. Colloidal quantum-dots/graphene/silicon dual-channel detection of visible light and short-wave infrared. ACS Photonics 2020, 7, 1117–1121. [Google Scholar] [CrossRef]
- Yu, T.; Wang, F.; Xu, Y.; Ma, L.L.; Pi, X.D.; Yang, D.R. Graphene coupled with silicon quantum dots for high-performance bulk-silicon-based schottky-junction photodetectors. Adv. Mater. 2016, 28, 4912–4919. [Google Scholar] [CrossRef] [PubMed]





| Wavelength (nm) | Rise Time (s) | Fall Time (s) |
|---|---|---|
| 405 | 0.21 | 0.91 |
| 450 | 0.5 | 0.5 |
| 520 | 0.1 | 1.2 |
| 635 | 1.3 | 1.6 |
| 785 | 1.3 | 1.8 |
| 808 | 1.9 | 1.8 |
| 1064 | 1.6 | 1.7 |
| 1335 | 1.5 | 1.3 |
| Device Architecture | Spectral Response | Highest Responsivity (A/W) | Highest Specific Detectivity (Jones) | Bias Voltage (V) | Ref. |
|---|---|---|---|---|---|
| SnO2 QDs/graphene | 370 to 808 nm | 9.6 × 102 | 1.8 × 1013 | −5 | [35] |
| HgTe QDs/graphene/Si | 405 to 880 nm 1500 to 2400 nm | 0.9 0.3 | 1.5 × 1010 ND | 1 0 | [36] |
| Si QDs/graphene | 300 to 1100 nm | 0.495 | 7.4 × 109 | −1 | [37] |
| PbS QDs/graphene | 500 to 1400 nm | >108 | ~1012 | 5 | [18] |
| PbS QDs/graphene | 400 to 1000 nm | (9.56 ± 0.20) × 103 | (8.8 ± 0.19) × 1011 | 1 | [19] |
| PbS QDs/graphene | 750 to 1350 nm | 2 × 103 | 7 × 1012 | −3 | [11] |
| PbS QDs/graphene | 808 nm | 33 | 2.2 × 108 | −2 | [21] |
| PbS QDs/graphene | 500 to 1350 | >107 | ND | 5 | [22] |
| PbS QDs/graphene | 405 to 1335 nm | (1.01 ± 0.05) × 107 | (4.18 ± 0.24) × 1013 | 0.1 | This work |
Disclaimer/Publisher’s Note: The statements, opinions and data contained in all publications are solely those of the individual author(s) and contributor(s) and not of MDPI and/or the editor(s). MDPI and/or the editor(s) disclaim responsibility for any injury to people or property resulting from any ideas, methods, instructions or products referred to in the content. |
© 2024 by the authors. Licensee MDPI, Basel, Switzerland. This article is an open access article distributed under the terms and conditions of the Creative Commons Attribution (CC BY) license (https://creativecommons.org/licenses/by/4.0/).
Share and Cite
Qing, J.; Wang, S.; Gu, S.; Lin, L.; Xie, Q.; Li, D.; Huang, W.; Guo, J. Graphene–PbS Quantum Dot Heterostructure for Broadband Photodetector with Enhanced Sensitivity. Sensors 2024, 24, 5508. https://doi.org/10.3390/s24175508
Qing J, Wang S, Gu S, Lin L, Xie Q, Li D, Huang W, Guo J. Graphene–PbS Quantum Dot Heterostructure for Broadband Photodetector with Enhanced Sensitivity. Sensors. 2024; 24(17):5508. https://doi.org/10.3390/s24175508
Chicago/Turabian StyleQing, Jincheng, Shicai Wang, Shuyi Gu, Lin Lin, Qinpei Xie, Daming Li, Wen Huang, and Junxiong Guo. 2024. "Graphene–PbS Quantum Dot Heterostructure for Broadband Photodetector with Enhanced Sensitivity" Sensors 24, no. 17: 5508. https://doi.org/10.3390/s24175508
APA StyleQing, J., Wang, S., Gu, S., Lin, L., Xie, Q., Li, D., Huang, W., & Guo, J. (2024). Graphene–PbS Quantum Dot Heterostructure for Broadband Photodetector with Enhanced Sensitivity. Sensors, 24(17), 5508. https://doi.org/10.3390/s24175508

