Phase-Based Gait Prediction after Botulinum Toxin Treatment Using Deep Learning
Abstract
1. Introduction
2. Materials and Methods
2.1. Dataset Description
2.2. Dataset Preparation
2.3. Description of Models
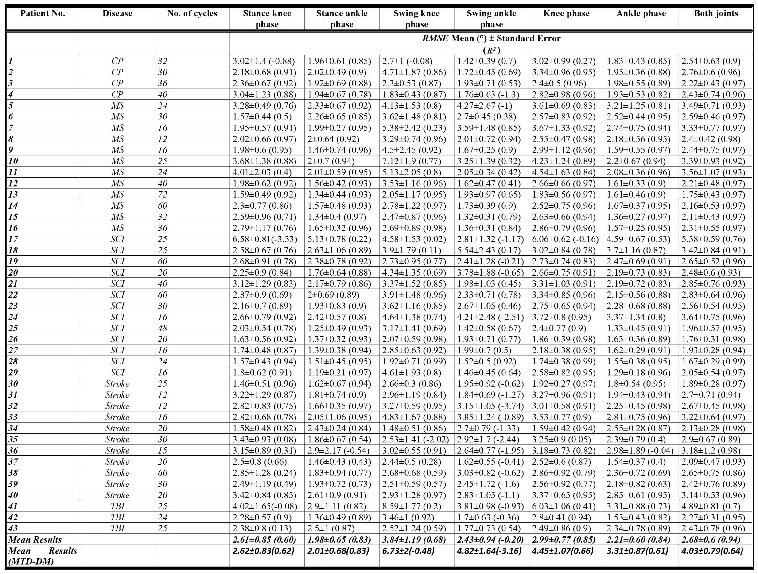
3. Results
3.1. Analysis of Stance Phase and Swing Phase
3.2. Analysis of Complete Cycle
| Model | Model Type | Body Joint | Spinal Cord Injury (SCI) | Multiple Sclerosis (MS) | Stroke | Cerebral Palsy (CP) | Traumatic Brain Injury (TBI) |
|---|---|---|---|---|---|---|---|
| No. of Patients | |||||||
| 13 | 12 | 11 | 4 | 3 | |||
| No. of Cycles | |||||||
| 400 | 351 | 260 | 138 | 74 | |||
| RMSE Mean (°) ± Standard Error | |||||||
| Score | |||||||
| MTD-DM | MTL, 5 Bi-LSTMs | Knee | 2.6 ± 0.76 | 2.48 ± 0.73 | 2.65 ± 0.78 | 2.62 ± 1.08 | 3.17 ± 1.23 |
| 0.54 | 0.79 | 0.64 | 0.62 | 0.18 | |||
| Ankle | 2.09 ± 0.79 | 1.83 ± 0.64 | 2.02 ± 0.5 | 1.99 ± 0.8 | 2.44 ± 0.78 | ||
| 0.87 | 0.93 | 0.67 | 0.85 | 0.84 | |||
| MTD-GM | MTL, 5 gated Bi-LSTMs | Knee | 2.59 ± 0.84 | 2.48 ± 0.7 | 2.7 ± 0.78 | 2.65 ± 1.08 | 2.89 ± 1.03 |
| 0.52 | 0.80 | 0.62 | 0.46 | 0.32 | |||
| Ankle | 2.09 ± 0.75 | 1.79 ± 0.61 | 2.01 ± 0.49 | 1.96 ± 0.82 | 2.25 ± 0.75 | ||
| 0.85 | 0.93 | 0.68 | 0.85 | 0.86 | |||
| Model | Model Type | Body Joint | Spinal Cord Injury (SCI) | Multiple Sclerosis (MS) | Stroke | Cerebral Palsy (CP) | Traumatic Brain Injury (TBI) |
|---|---|---|---|---|---|---|---|
| No. of Patients | |||||||
| 13 | 12 | 11 | 4 | 3 | |||
| No. of Cycles | |||||||
| 400 | 351 | 260 | 138 | 74 | |||
| RMSE Mean (°) ± Standard Error | |||||||
| Score | |||||||
| MTD-DM | MTL, 5 Bi-LSTMs | Knee | 6.23 ± 2.05 | 7.01 ± 2.2 | 7.0 ± 1.73 | 6.72 ± 2.29 | 6.8 ± 1.17 |
| 0.31 | 0.59 | −1.56 | −3.86 | 0.26 | |||
| Ankle | 5.15 ± 2.05 | 5.15 ± 2.2 | 4.36 ± 1.73 | 5.3 ± 2.29 | 3.08 ± 1.17 | ||
| −3.35 | −1.18 | −5.16 | −4.36 | −1.34 | |||
| MTD-GM | MTL, 5 gated Bi-LSTMs | Knee | 3.52 ± 1.2 | 3.89 ± 1.24 | 2.85 ± 1.04 | 2.88 ± 1.49 | 4.86 ± 1.28 |
| 0.72 | 0.84 | 0.52 | 0.63 | 0.57 | |||
| Ankle | 2.62 ± 1.2 | 2.29 ± 1.24 | 2.63 ± 1.04 | 1.71 ± 1.49 | 2.43 ± 1.28 | ||
| 0.06 | 0.53 | −1.45 | 0.15 | −0.25 | |||
3.3. Visualizing Predictions of MTD-GM
| Model | Model Type | Body Joint | Spinal Cord Injury (SCI) | Multiple Sclerosis (MS) | Stroke | Cerebral Palsy (CP) | Traumatic Brain Injury (TBI) |
|---|---|---|---|---|---|---|---|
| No. of Patients | |||||||
| 13 | 12 | 11 | 4 | 3 | |||
| No. of Cycles | |||||||
| 400 | 351 | 260 | 138 | 74 | |||
| RMSE Mean (°) ± Standard Error | |||||||
| Score | |||||||
| MTD-DM | MTL, 5 Bi-LSTMs | Knee | 4.18 ± 0.97 | 4.58 ± 1.11 | 4.58 ± 1.09 | 4.82 ± 1.23 | 4.26 ± 0.77 |
| 0.70 | 0.85 | 0.69 | −0.17 | 0.72 | |||
| Ankle | 3.61 ± 0.99 | 3.35 ± 0.8 | 2.92 ± 0.85 | 3.6 ± 1.02 | 2.86 ± 0.73 | ||
| 0.55 | 0.81 | 0.47 | 0.44 | 0.75 | |||
| MTD-GM | MTL, 5 gated Bi-LSTMs | Knee | 3.05 ± 0.7 | 3.08 ± 0.69 | 2.9 ± 0.79 | 2.88 ± 0.99 | 3.28 ± 0.78 |
| 0.80 | 0.93 | 0.88 | 0.80 | 0.80 | |||
| Ankle | 2.37 ± 0.8 | 2.02 ± 0.54 | 2.3 ± 0.44 | 1.92 ± 0.72 | 2.44 ± 0.49 | ||
| 0.83 | 0.94 | 0.70 | 0.86 | 0.82 | |||
| Model | Model Type | Body Joint | Spinal Cord Injury (SCI) | Multiple Sclerosis (MS) | Stroke | Cerebral Palsy (CP) | Traumatic Brain Injury (TBI) |
|---|---|---|---|---|---|---|---|
| No. of Patients | |||||||
| 13 | 12 | 11 | 4 | 3 | |||
| No. of Cycles | |||||||
| 400 | 351 | 260 | 138 | 74 | |||
| RMSE Mean (°) ± Standard Error | |||||||
| Score | |||||||
| MTD-DM | MTL, 5 Bi-LSTMs | Knee and Ankle | 4.02 ± 0.76 | 4.12 ± 0.79 | 3.91 ± 0.79 | 4.33 ± 1.02 | 3.76 ± 0.61 |
| 0.87 | 0.91 | 0.89 | 0.77 | 0.86 | |||
| MTD-GM | MTL, 5 gated Bi-LSTMs | 2.78 ± 0.61 | 2.65 ± 0.53 | 2.65 ± 0.57 | 2.48 ± 0.75 | 2.97 ± 0.57 | |
| 0.94 | 0.96 | 0.95 | 0.94 | 0.90 | |||
4. Comparison between Cycle-Based Prediction, Phased-Based Prediction, and Related Works
5. Discussion and Conclusions
Author Contributions
Funding
Institutional Review Board Statement
Informed Consent Statement
Data Availability Statement
Acknowledgments
Conflicts of Interest
Abbreviations
| AI | Artificial intelligence |
| ML | Machine learning |
| DL | Deep learning |
| MTL | Multi-task learning |
| CP | Cerebral palsy |
| CGA | Clinical gait analysis |
| LSTM | Long short-term memory |
| CNN | Convolutional neural network |
| MAE | Mean absolute error |
| RMSE | Root mean squared error |
| SE | Standard error |
| BTX-A | Botulinum toxin type A |
| TBI | Traumatic brain injury |
| SCI | Spinal cord injury |
| MS | Multiple sclerosis |
| CMA | Clinical movement analysis |
| DNN | Deep neural network |
| RNN | Recurrent neural network |
| IMU | Inertial measurement unit |
| HPA | High-pass algorithm |
| Bi-LSTM | Bi-directional LSTM |
| MTD | Medical treatment data |
Appendix A

References
- McLoughlin, J.; Barr, C.; Crotty, M.; Lord, S.; Sturnieks, D. Association of postural sway with disability status and cerebellar dysfunction in people with multiple sclerosis: A preliminary study. Int. J. MS Care 2015, 17, 146–151. [Google Scholar] [CrossRef]
- Blumhardt, L. Multiple Sclerosis Dictionary; Taylor & Francis: Abingdon, UK, 2004. [Google Scholar]
- Sun, L.C.; Chen, R.; Fu, C.; Chen, Y.; Wu, Q.; Chen, R.; Lin, X.; Luo, S. Efficacy and Safety of Botulinum Toxin Type A for Limb Spasticity after Stroke: A Meta-Analysis of Randomized Controlled Trials. BioMed Res. Int. 2019, 2019, 8329306. [Google Scholar] [CrossRef] [PubMed]
- Roche, N.; Boudarham, J.; Hardy, A.; Bonnyaud, C.; Bensmail, D. Use of gait parameters to predict the effectiveness of botulinum toxin injection in the spastic rectus femoris muscle of stroke patients with stiff knee gait. Eur. J. Phys. Rehabil. Med. 2015, 51, 361–370. [Google Scholar]
- Notice Patient—DYSPORT 500 UNITES SPEYWOOD, Poudre Pour Solution Injectable—Base de DonnéEs Publique des Médicaments. Available online: https://base-donnees-publique.medicaments.gouv.fr/affichageDoc.php?specid=60242321&typedoc=N (accessed on 15 June 2022).
- Baker, R.W. Measuring Walking: A Handbook of Clinical Gait Analysis, 1st ed.; MacKeith Press: London, UK, 2013. [Google Scholar]
- McGinley, J.L.; Baker, R.; Wolfe, R.; Morris, M.E. The reliability of three-dimensional kinematic gait measurements: A systematic review. Gait Posture 2009, 29, 360–369. [Google Scholar] [CrossRef]
- Lerner, Z.F.; Damiano, D.L.; Bulea, T.C. A lower-extremity exoskeleton improves knee extension in children with crouch gait from cerebral palsy. Sci. Transl. Med. 2017, 9, eaam9145. [Google Scholar] [CrossRef] [PubMed]
- Di Russo, F.; Berchicci, M.; Perri, R.L.; Ripani, F.R.; Ripani, M. A passive exoskeleton can push your life up: Application on multiple sclerosis patients. PLoS ONE 2013, 8, e77348. [Google Scholar] [CrossRef] [PubMed]
- Goodfellow, I.; Bengio, Y.; Courville, A. Deep Learning; MIT Press: Cambridge, MA, USA, 2016. [Google Scholar]
- Topol, E.J. High-performance medicine: The convergence of human and artificial intelligence. Nat. Med. 2019, 25, 44–56. [Google Scholar] [CrossRef] [PubMed]
- Karakish, M.; Fouz, M.A.; ELsawaf, A. Gait trajectory prediction on an embedded microcontroller using deep learning. Sensors 2022, 22, 8441. [Google Scholar] [CrossRef] [PubMed]
- Ding, G.; Plummer, A.; Georgilas, I. Deep learning with an attention mechanism for continuous biomechanical motion estimation across varied activities. Front. Bioeng. Biotechnol. 2022, 10, 1021505. [Google Scholar] [CrossRef] [PubMed]
- Morbidoni, C.; Cucchiarelli, A.; Fioretti, S.; Di Nardo, F. A deep learning approach to EMG-based classification of gait phases during level ground walking. Electronics 2019, 8, 894. [Google Scholar] [CrossRef]
- Bauman, V.V.; Brandon, S.C. Gait phase detection in walking and stairs using machine learning. J. Biomech. Eng. 2022, 144, 121007. [Google Scholar] [CrossRef]
- Lempereur, M.; Rousseau, F.; Rémy-Néris, O.; Pons, C.; Houx, L.; Quellec, G.; Brochard, S. A new deep learning-based method for the detection of gait events in children with gait disorders: Proof-of-concept and concurrent validity. J. Biomech. 2020, 98, 109490. [Google Scholar] [CrossRef] [PubMed]
- Tunca, C.; Salur, G.; Ersoy, C. Deep learning for fall risk assessment with inertial sensors: Utilizing domain knowledge in spatio-temporal gait parameters. IEEE J. Biomed. Health Inform. 2019, 24, 1994–2005. [Google Scholar] [CrossRef] [PubMed]
- Sadeghzadehyazdi, N.; Batabyal, T.; Acton, S.T. Modeling spatiotemporal patterns of gait anomaly with a CNN-LSTM deep neural network. Expert Syst. Appl. 2021, 185, 115582. [Google Scholar] [CrossRef]
- Chen, I.; Yeh, P.Y.; Chang, T.C.; Hsieh, Y.C.; Chin, C.L. Sarcopenia Recognition System Combined with Electromyography and Gait Obtained by the Multiple Sensor Module and Deep Learning Algorithm. Sensors Mater. 2022, 34, 2403–2425. [Google Scholar] [CrossRef]
- Su, B.; Gutierrez-Farewik, E.M. Gait trajectory and gait phase prediction based on an LSTM network. Sensors 2020, 20, 7127. [Google Scholar] [CrossRef] [PubMed]
- Zhang, Y.; Yang, Q. A survey on multi-task learning. IEEE Trans. Knowl. Data Eng. 2021, 34, 5586–5609. [Google Scholar] [CrossRef]
- Kolaghassi, R.; Al-Hares, M.K.; Marcelli, G.; Sirlantzis, K. Performance of Deep Learning Models in Forecasting Gait Trajectories of Children with Neurological Disorders. Sensors 2022, 22, 2969. [Google Scholar] [CrossRef] [PubMed]
- Khan, A.; Hazart, A.; Galarraga, O.; Garcia-Salicetti, S.; Vigneron, V. Treatment Outcome Prediction Using Multi-Task Learning: Application to Botulinum Toxin in Gait Rehabilitation. Sensors 2022, 22, 8452. [Google Scholar] [CrossRef] [PubMed]
- Klejman, S.; Andrysek, J.; Dupuis, A.; Wright, V. Test-Retest Reliability of Discrete Gait Parameters in Children With Cerebral Palsy. Arch. Phys. Med. Rehabil. 2010, 91, 781–787. [Google Scholar] [CrossRef]
- Galarraga, O.; Le Saux, A.; Hareb, F. O 083-A new method for computing gait deviation scores in hemiparesis. Gait Posture 2018, 65, 170–171. [Google Scholar] [CrossRef]
- Wu, X.; Yuan, Y.; Zhang, X.; Wang, C.; Xu, T.; Tao, D. Gait phase classification for a lower limb exoskeleton system based on a graph convolutional network model. IEEE Trans. Ind. Electron. 2021, 69, 4999–5008. [Google Scholar] [CrossRef]
- Desailly, E.; Daniel, Y.; Sardain, P.; Lacouture, P. Foot contact event detection using kinematic data in cerebral palsy children and normal adults gait. Gait Posture 2009, 29, 76–80. [Google Scholar] [CrossRef]
- Schwartz, M.H.; Rozumalski, A. The Gait Deviation Index: A new comprehensive index of gait pathology. Gait Posture 2008, 28, 351–357. [Google Scholar] [CrossRef] [PubMed]
- Hochreiter, S.; Schmidhuber, J. Long short-term memory. Neural Comput. 1997, 9, 1735–1780. [Google Scholar] [CrossRef] [PubMed]
- Kinga, D.; Adam, J.B. A method for stochastic optimization. In Proceedings of the International Conference on Learning Representations (ICLR), San Diego, CA, USA, 7–9 May 2015; Volume 5, p. 6. [Google Scholar]
- Bishop, C.M. Pattern Recognition And Machine Learning, 2nd ed.; Springer: New York, NY, USA, 2006. [Google Scholar]
- Altman, D.G.; Bland, J.M. Standard deviations and standard errors. BMJ 2005, 331, 903. [Google Scholar] [CrossRef]
- Hastie, T.; Tibshirani, R.; Friedman, J. An Introduction to Statistical Learning. 2009. Available online: https://www.stat.berkeley.edu/users/rabbee/s154/ISLR_First_Printing.pdf (accessed on 13 August 2024).
- Galarraga, C.O.A.; Vigneron, V.; Dorizzi, B.; Khouri, N.; Desailly, E. Predicting postoperative gait in cerebral palsy. Gait Posture 2017, 52, 45–51. [Google Scholar] [CrossRef]
- Niiler, T.A.; Richards, J.G.; Miller, F.; Sun, J.Q.; Castagno, P. Reliability of predictions of post-operative gait in rectus transfer patients using FFT neural networks. Gait Posture 1999, 9. [Google Scholar]
- Niiler, T.A. Efficacy of Predictions of Post-Operative Gait in Rectus Transfer Patients Using Neural Networks. Ph.D. Thesis, University of Delaware, Newark, DE, USA, 2001. [Google Scholar]





| Muscle Number | Muscle/Category | Injections in Patient | |
|---|---|---|---|
| Number | Proportion | ||
| 1 | Soleus | 53 | 28.3% |
| 2 | Gastrocnemius (medialis and/or lateralis) | 51 | 27.2% |
| 3 | Rectus femoris | 22 | 11.7% |
| 4 | Semitendinosus | 14 | 7.4% |
| 5 | Other muscle | 47 | 25.1% |
| Model | Model Type | Body Joint | Spinal Cord Injury (SCI) | Multiple Sclerosis (MS) | Stroke | Cerebral Palsy (CP) | Traumatic Brain Injury (TBI) |
|---|---|---|---|---|---|---|---|
| RMSE Mean (°) ± Standard Error | |||||||
| Score | |||||||
| Model 1 [23] | MTL, 5 Bi-LSTMs | Knee | 7.51 ± 1.67 | 7.23 ± 1.69 | 7.14 ± 1.08 | 6.75 ± 1.73 | 5.81 ± 1.33 |
| 0.63 | 0.63 | 0.01 | 0.7 | 0.54 | |||
| Ankle | 5.01 ± 0.99 | 4.38 ± 1.15 | 6.85 ± 1.61 | 6.4 ± 1.19 | 4.68 ± 0.82 | ||
| 0.38 | 0.55 | −3.58 | −0.01 | 0.4 | |||
| Model 2 [23] | MTL, 5 gated Bi-LSTMs | Knee | 7.62 ± 1.89 | 7.23 ± 2.01 | 8.02 ± 1.09 | 7.00 ± 2.42 | 5.60 ± 1.4 |
| 0.53 | 0.48 | 0.21 | 0.68 | 0.65 | |||
| Ankle | 4.56 ± 1.05 | 5.39 ± 1.37 | 7.14 ± 1.44 | 3.77 ± 1.41 | 4.93 ± 1.0 | ||
| 0.27 | 0.28 | −3.65 | −0.16 | −0.5 | |||
| MTD-DM | MTL, 5 Bi-LSTMs | Knee | 4.18 ± 0.97 | 4.58 ± 1.11 | 4.58 ± 1.09 | 4.82 ± 1.23 | 4.26 ± 0.77 |
| 0.70 | 0.85 | 0.69 | −0.17 | 0.72 | |||
| Ankle | 3.61 ± 0.99 | 3.35 ± 0.8 | 2.92 ± 0.85 | 3.6 ± 1.02 | 2.86 ± 0.73 | ||
| 0.55 | 0.81 | 0.47 | 0.44 | 0.75 | |||
| MTD-GM | MTL, 5 gated Bi-LSTMs | Knee | 3.05 ± 0.7 | 3.08 ± 0.69 | 2.9 ± 0.79 | 2.88 ± 0.99 | 3.28 ± 0.78 |
| 0.80 | 0.93 | 0.88 | 0.80 | 0.80 | |||
| Ankle | 2.37 ± 0.8 | 2.02 ± 0.54 | 2.3 ± 0.44 | 1.92 ± 0.72 | 2.44 ± 0.49 | ||
| 0.83 | 0.94 | 0.70 | 0.86 | 0.82 | |||
| LigReg Stroke * [4] ( Score) | Linear Regression | Knee | - | - | 0.24 | - | - |
| Ankle | - | - | 0.43 | - | - | ||
| MLinReg CP [34] ((°)) | Multiple Linear Regression | Knee | - | - | - | 9.0 | - |
| Ankle | - | - | - | 7.5 | - | ||
| NN99 CP [35] ((°)) | NN | Knee | - | - | - | 9.7 | - |
| Ankle | - | - | - | 6.7 | - | ||
| NN01 CP [36] ((°)) | NN | Knee | - | - | - | 9.2 | - |
| Ankle | - | - | - | - | - | ||
Disclaimer/Publisher’s Note: The statements, opinions and data contained in all publications are solely those of the individual author(s) and contributor(s) and not of MDPI and/or the editor(s). MDPI and/or the editor(s) disclaim responsibility for any injury to people or property resulting from any ideas, methods, instructions or products referred to in the content. |
© 2024 by the authors. Licensee MDPI, Basel, Switzerland. This article is an open access article distributed under the terms and conditions of the Creative Commons Attribution (CC BY) license (https://creativecommons.org/licenses/by/4.0/).
Share and Cite
Khan, A.; Galarraga, O.; Garcia-Salicetti, S.; Vigneron, V. Phase-Based Gait Prediction after Botulinum Toxin Treatment Using Deep Learning. Sensors 2024, 24, 5343. https://doi.org/10.3390/s24165343
Khan A, Galarraga O, Garcia-Salicetti S, Vigneron V. Phase-Based Gait Prediction after Botulinum Toxin Treatment Using Deep Learning. Sensors. 2024; 24(16):5343. https://doi.org/10.3390/s24165343
Chicago/Turabian StyleKhan, Adil, Omar Galarraga, Sonia Garcia-Salicetti, and Vincent Vigneron. 2024. "Phase-Based Gait Prediction after Botulinum Toxin Treatment Using Deep Learning" Sensors 24, no. 16: 5343. https://doi.org/10.3390/s24165343
APA StyleKhan, A., Galarraga, O., Garcia-Salicetti, S., & Vigneron, V. (2024). Phase-Based Gait Prediction after Botulinum Toxin Treatment Using Deep Learning. Sensors, 24(16), 5343. https://doi.org/10.3390/s24165343

