User-Centric Cell-Free Massive MIMO with Low-Resolution ADCs for Massive Access
Abstract
1. Introduction
1.1. Motivation
1.2. Contribution
- Since we assume a user-centric cell-free massive MIMO environment with limited fronthaul capacity and a very large number of UEs, we consider the deployment of APs equipped with low-resolution ADCs. The quantization noise model due to low-resolution ADCs is described as the additive quantization noise model (AQNM), as depicted in [26]. Additionally, we derive closed-form expressions for uplink SE in systems using low-resolution ADCs.
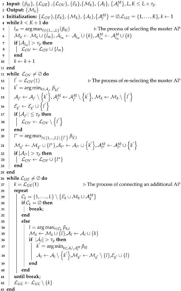
- Although there is existing research on user-centric cell-free massive MIMO, there are few studies that conduct simulations in massive access scenarios where the number of UEs exceeds the number of APs. Some studies propose association algorithms that can accommodate a large number of UEs, but in environments with a very high number of UEs, these approaches often result in overserving APs or fail to guarantee UE connectivity. Overserving APs, which lead to pilot contamination, significantly degrade SE performance. In response, we propose an AP-UE association algorithm that prevents overserving APs and ensures the connectivity of all UEs in massive access scenarios.
- This study specifically focuses on scenarios where UEs share the same time-frequency resources, which is critical for understanding the impact of pilot contamination in dense network environments. Unlike traditional approaches that rely on multiple access techniques, our method manages pilot contamination and maintains connectivity and performance within the constraints of shared resources.
- In a user-centric cell-free massive MIMO system, the association problem, which guarantees connectivity for all UEs while the number of UEs supported by each AP is limited, is NP-hard and computationally intensive. Therefore, in this study, we propose an association algorithm using a heuristic approach to address this challenge.
- The proposed approach not only enhances connectivity and performance in current networks but also lays the groundwork for scalable solutions in future large-scale Internet-of-Things (IoT) and 6G deployments, where efficient resource management and reduced fronthaul load are critical.
1.3. Organization and Notations
2. System Model
2.1. Channel Model and Quantization Model
2.2. Uplink Training Phase
2.3. Uplink Data Transmission Phase
3. Spectral Efficiency
4. AP-UE Association Algorithm
| Algorithm 1: Proposed AP-UE association algorithm |
![]() |
5. Simulation Results
5.1. Simulation Setting
5.2. Performance Analysis
6. Conclusions
Author Contributions
Funding
Institutional Review Board Statement
Informed Consent Statement
Data Availability Statement
Conflicts of Interest
References
- Marzetta, T.L. Noncooperative Cellular Wireless with Unlimited Numbers of Base Station Antennas. IEEE Trans. Wirel. Commun. 2010, 9, 3590–3600. [Google Scholar] [CrossRef]
- Björnson, E.; Hoydis, J.; Sanguinetti, L. Massive MIMO Networks: Spectral, Energy, and Hardware Efficiency. Found. Trends® Signal Process. 2017, 11, 154–655. [Google Scholar] [CrossRef]
- Bana, A.S.; de Carvalho, E.; Soret, B.; Abrão, T.; Filho, J.C.M.; Larsson, E.G.; Popovski, P. Massive MIMO for Internet of Things (IoT) Connectivity. Phys. Commun. 2019, 37, 100859. [Google Scholar] [CrossRef]
- Dao, H.T.; Kim, S. Effective Channel Gain-Based Access Point Selection in Cell-Free Massive MIMO Systems. IEEE Access 2020, 8, 108127–108132. [Google Scholar] [CrossRef]
- Ganesan, U.K.; Björnson, E.; Larsson, E.G. Clustering-Based Activity Detection Algorithms for Grant-Free Random Access in Cell-Free Massive MIMO. IEEE Trans. Commun. 2021, 69, 7520–7530. [Google Scholar] [CrossRef]
- Zhang, J.; Chen, S.; Lin, Y.; Zheng, J.; Ai, B.; Hanzo, L. Cell-Free Massive MIMO: A New Next-Generation Paradigm. IEEE Access 2019, 7, 99878–99888. [Google Scholar] [CrossRef]
- Ngo, H.Q.; Ashikhmin, A.; Yang, H.; Larsson, E.G.; Marzetta, T.L. Cell-Free Massive MIMO Versus Small Cells. IEEE Trans. Wirel. Commun. 2017, 16, 1834–1850. [Google Scholar] [CrossRef]
- Mai, T.C.; Ngo, H.Q.; Duong, T.Q. Downlink Spectral Efficiency of Cell-Free Massive MIMO Systems with Multi-Antenna Users. IEEE Trans. Wirel. Commun. 2020, 68, 4803–4815. [Google Scholar] [CrossRef]
- Wu, S.; Wei, Y.; Zhang, S.; Meng, W. Proportional-Fair Resource Allocation for User-Centric Networks. IEEE Trans. Veh. Technol. 2022, 71, 1549–1561. [Google Scholar] [CrossRef]
- Sarker, M.; Fapojuwo, A.O. Access Point-User Association and Auction Algorithm-Based Pilot Assignment Schemes for Cell-Free Massive MIMO Systems. IEEE Syst. J. 2023, 17, 4301–4312. [Google Scholar] [CrossRef]
- Ammar, H.A.; Adve, R.; Shahbazpanahi, S.; Boudreau, G.; Srinivas, K.V. User-Centric Cell-Free Massive MIMO Networks: A Survey of Opportunities, Challenges and Solutions. IEEE Commun. Surv. Tutorials 2022, 24, 611–652. [Google Scholar] [CrossRef]
- Björnson, E.; Sanguinetti, L. Scalable Cell-Free Massive MIMO Systems. IEEE Trans. Commun. 2020, 68, 4247–4261. [Google Scholar] [CrossRef]
- Nayebi, E.; Ashikhmin, A.; Marzetta, T.L.; Yang, H.; Rao, B.D. Precoding and Power Optimization in Cell-Free Massive MIMO Systems. IEEE Trans. Commun. 2017, 16, 4445–4459. [Google Scholar] [CrossRef]
- Zhang, J.; Zhang, J.; Ai, B. Cell-Free Massive MIMO with Low-Resolution ADCs Over Spatially Correlated Channels. In Proceedings of the ICC 2020—2020 IEEE International Conference on Communications (ICC), Dublin, Ireland, 7–11 June 2020; pp. 1–7. [Google Scholar] [CrossRef]
- Masoumi, H.; Emadi, M.J. Performance Analysis of Cell-Free Massive MIMO System with Limited Fronthaul Capacity and Hardware Impairments. IEEE Trans. Commun. 2020, 19, 1038–1053. [Google Scholar] [CrossRef]
- Zhang, J.; Dai, L.; Li, X.; Liu, Y.; Hanzo, L. On Low-Resolution ADCs in Practical 5G Millimeter-Wave Massive MIMO Systems. IEEE Commun. Mag. 2018, 56, 205–211. [Google Scholar] [CrossRef]
- Zhang, J.; Dai, L.; Sun, S.; Wang, Z. On the Spectral Efficiency of Massive MIMO Systems with Low-Resolution ADCs. IEEE Commun. Lett. 2016, 20, 842–845. [Google Scholar] [CrossRef]
- Xiong, Y.; Tang, L.; Sun, S.; Liu, L.; Mao, S.; Zhang, Z.; Wei, N. Data-Aided Channel Estimation and Combining for Cell-Free Massive MIMO with Low-Resolution ADCs. IEEE Commun. Lett. 2024, 28, 642–646. [Google Scholar] [CrossRef]
- Sun, Q.; Ji, X.; Wang, Z.; Chen, X.; Yang, Y.; Zhang, J.; Wong, K.K. Uplink Performance of Hardware-Impaired Cell-Free Massive MIMO with Multi-Antenna Users and Superimposed Pilots. IEEE Trans. Commun. 2023, 71, 6711–6726. [Google Scholar] [CrossRef]
- Chen, X.; Zhou, C.; Wang, Z.; Zhao, T.; Sun, Q.; Xu, C.; Zhang, J. Energy Efficiency of Wireless-Powered Cell-free mMIMO with Hardware Impairments. IEEE Trans. Commun. 2024, 72, 4446–4458. [Google Scholar] [CrossRef]
- Chen, S.; Zhang, J.; Björnson, E.; Zhang, J.; Ai, B. Structured Massive Access for Scalable Cell-Free Massive MIMO Systems. IEEE J. Sel. Areas Commun. 2021, 39, 1086–1100. [Google Scholar] [CrossRef]
- Sarker, M.; Fapojuwo, A.O. Granting Massive Access by Adaptive Pilot Assignment Scheme for Scalable Cell-free Massive MIMO Systems. In Proceedings of the 2021 IEEE 93rd Vehicular Technology Conference (VTC2021-Spring), Helsinki, Finland, 25–28 April 2021; pp. 1–5. [Google Scholar] [CrossRef]
- Ngo, H.Q.; Tran, L.N.; Duong, T.Q.; Matthaiou, M.; Larsson, E.G. On the Total Energy Efficiency of Cell-Free Massive MIMO. IEEE Trans. Green Commun. Netw. 2018, 2, 25–39. [Google Scholar] [CrossRef]
- Liu, J.; Luo, Z.; Xiong, X. Low-Resolution ADCs for Wireless Communication: A Comprehensive Survey. IEEE Access 2019, 7, 91291–91324. [Google Scholar] [CrossRef]
- Femenias, G.; Riera-Palou, F. Cell-Free Millimeter-Wave Massive MIMO Systems with Limited Fronthaul Capacity. IEEE Access 2019, 7, 44596–44612. [Google Scholar] [CrossRef]
- Femenias, G.; Riera-Palou, F. Fronthaul-Constrained Cell-Free Massive MIMO with Low Resolution ADCs. IEEE Access 2020, 8, 116195–116215. [Google Scholar] [CrossRef]
- Zhang, Y.; Zhou, M.; Qiao, X.; Cao, H.; Yang, L. On the Performance of Cell-Free Massive MIMO with Low-Resolution ADCs. IEEE Access 2019, 7, 117968–117977. [Google Scholar] [CrossRef]
- Li, N.; Fan, P. Spatially Correlated Cell-Free Massive MIMO Network with Centralized Operation and Low-Resolution ADCs. In Proceedings of the 2023 IEEE 98th Vehicular Technology Conference (VTC2023-Fall), Hong Kong, 10–13 October 2023; pp. 1–6. [Google Scholar] [CrossRef]
- Bussgang, J.J. Crosscorrelation Functions of Amplitude-Distorted Gaussian Signals; Research Laboratory of Electronics Massachusetts Institute of Technology: Cambridge, MA, USA, 1952. [Google Scholar]
- Mezghani, A.; Nossek, J.A. Capacity Lower Bound of MIMO Channels with Output Quantization and Correlated Noise. Proc. IEEE Int. Symp. Inf. Theory 2012, 1–5. [Google Scholar]
- Max, J. Quantizing for minimum distortion. IEEE Trans. Inf. Theory 1960, 6, 7–12. [Google Scholar] [CrossRef]
- Nayebi, E.; Ashikhmin, A.; Marzetta, T.L.; Rao, B.D. Performance of cell-free massive MIMO systems with MMSE and LSFD receivers. In Proceedings of the 2016 50th Asilomar Conference on Signals, Systems and Computers, Pacific Grove, CA, USA, 6–9 November 2016; pp. 203–207. [Google Scholar] [CrossRef]
- Ashikhmin, A.; Marzetta, T. Pilot contamination precoding in multi-cell large scale antenna systems. In Proceedings of the 2012 IEEE International Symposium on Information Theory Proceedings, Cambridge, MA, USA, 1–6 July 2012; pp. 1137–1141. [Google Scholar] [CrossRef]
- Adhikary, A.; Ashikhmin, A.; Marzetta, T.L. Uplink Interference Reduction in Large-Scale Antenna Systems. IEEE Trans. Commun. 2017, 65, 2194–2206. [Google Scholar] [CrossRef]
- 3GPP. Study on Channel Model for Frequencies from 0.5 to 100 GHz (Release 17); Technical Report TR 38.901; 3rd Generation Partnership Project (3GPP): Valbonne, France, 2024. [Google Scholar]
- Björnson, E.; Sanguinetti, L. Making Cell-Free Massive MIMO Competitive with MMSE Processing and Centralized Implementation. IEEE Trans. Commun. 2020, 19, 77–90. [Google Scholar] [CrossRef]






| b | 1 | 2 | 3 | 4 | 5 |
|---|---|---|---|---|---|
| 0.3634 | 0.1175 | 0.03454 | 0.009497 | 0.002499 | |
| 0.6366 | 0.8825 | 0.96546 | 0.990503 | 0.997501 |
| Parameters | Value |
|---|---|
| area | |
| Number of APs | 50 |
| Number of Antennas for AP | 4 |
| Number of Antennas for UE | 1 |
| Bandwidth | |
| UE transmit power | |
| Coherence block | 200 sample |
| Pilot length | 10 sample |
Disclaimer/Publisher’s Note: The statements, opinions and data contained in all publications are solely those of the individual author(s) and contributor(s) and not of MDPI and/or the editor(s). MDPI and/or the editor(s) disclaim responsibility for any injury to people or property resulting from any ideas, methods, instructions or products referred to in the content. |
© 2024 by the authors. Licensee MDPI, Basel, Switzerland. This article is an open access article distributed under the terms and conditions of the Creative Commons Attribution (CC BY) license (https://creativecommons.org/licenses/by/4.0/).
Share and Cite
Kim, J.-W.; Kim, H.-D.; Shin, K.-H.; Park, S.-W.; Seo, S.-H.; Choi, Y.-J.; You, Y.-H.; Song, H.-K. User-Centric Cell-Free Massive MIMO with Low-Resolution ADCs for Massive Access. Sensors 2024, 24, 5088. https://doi.org/10.3390/s24165088
Kim J-W, Kim H-D, Shin K-H, Park S-W, Seo S-H, Choi Y-J, You Y-H, Song H-K. User-Centric Cell-Free Massive MIMO with Low-Resolution ADCs for Massive Access. Sensors. 2024; 24(16):5088. https://doi.org/10.3390/s24165088
Chicago/Turabian StyleKim, Jin-Woo, Hyoung-Do Kim, Kyung-Ho Shin, Sang-Wook Park, Seung-Hwan Seo, Yoon-Ju Choi, Young-Hwan You, and Hyoung-Kyu Song. 2024. "User-Centric Cell-Free Massive MIMO with Low-Resolution ADCs for Massive Access" Sensors 24, no. 16: 5088. https://doi.org/10.3390/s24165088
APA StyleKim, J.-W., Kim, H.-D., Shin, K.-H., Park, S.-W., Seo, S.-H., Choi, Y.-J., You, Y.-H., & Song, H.-K. (2024). User-Centric Cell-Free Massive MIMO with Low-Resolution ADCs for Massive Access. Sensors, 24(16), 5088. https://doi.org/10.3390/s24165088


