Attribute Feature Perturbation-Based Augmentation of SAR Target Data
Abstract
1. Introduction
- (1)
- We propose a feature extraction framework based on multi-feature fusion CapsNet, which can effectively decouple target attributes. Furthermore, an attention mechanism is implemented to achieve a further decoupling of target features, therefore enhancing the interpretability of SAR target-data augmentation;
- (2)
- In the process of image reconstruction, we integrate pixel loss and perceptual loss to construct a joint loss function that constrains the generation procedure. This approach not only enhances the quality and reliability of the generated images but also increases the stability of the model training by directly comparing the original images with the generated ones;
- (3)
- We propose a mapping approach from feature perturbations of known distribution to target variations of unknown distribution. This approach substitutes real images for random signals to achieve more stable and reliable feature-level data augmentation. Moreover, it can achieve more effective learning with a smaller volume of data and is more suitable for small-sample SAR target data.
2. Basic Theory of CapsNet
3. Methodology
3.1. Overall Framework
3.2. Feature Extraction Based on RC-CapsNet
3.3. Attribute Decoupling Based on Attention Mechanism
3.4. Image Reconstruction after Feature-Level Perturbations
3.5. Augmentation Process and Loss Function
4. Experiments and Discussions
4.1. Data and Settings
4.1.1. Description of Dataset
4.1.2. Parameter Setting
4.2. Image Quality Evaluation
4.2.1. Qualitative Evaluation
4.2.2. Quantitative Evaluation
4.3. Discussion
4.3.1. Ablation Study
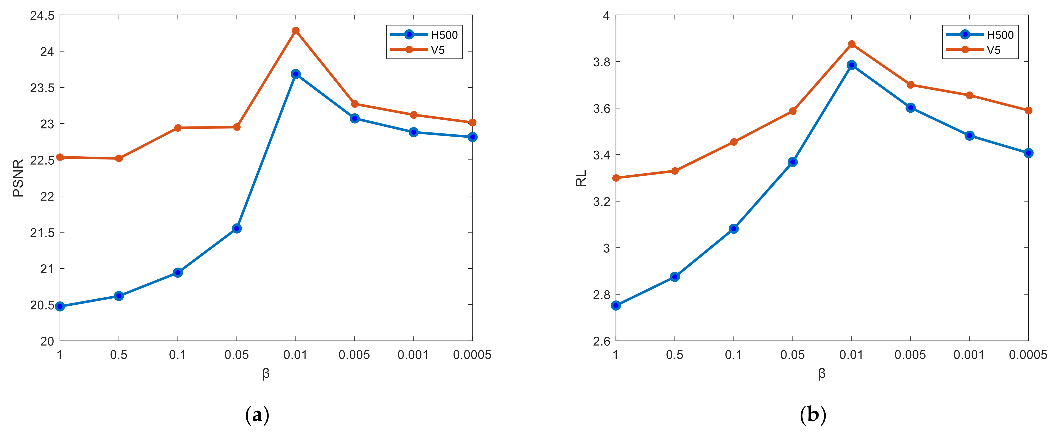
4.3.2. Determination of the Weight of the Loss Function
4.3.3. Computational Complexity Analysis
5. Conclusions
Author Contributions
Funding
Institutional Review Board Statement
Informed Consent Statement
Data Availability Statement
Acknowledgments
Conflicts of Interest
References
- Zhang, J.; Xing, M.; Sun, G.; Shi, X. Vehicle trace detection in two-pass SAR coherent change detection images with spatial feature enhanced unet and adaptive augmentation. IEEE Trans. Geosci. Remote Sens. 2022, 60, 1–15. [Google Scholar] [CrossRef]
- Wan, H.; Chen, J.; Huang, Z.; Xia, R.; Wu, B.; Sun, L.; Yao, B.; Liu, X.; Xing, M. Afsar: An anchor-free sar target detection algorithm based on multiscale enhancement representation learning. IEEE Trans. Geosci. Remote Sens. 2022, 60, 1–14. [Google Scholar] [CrossRef]
- Ai, J.; Mao, Y.; Luo, Q.; Xing, M.; Jiang, K.; Jia, L.; Yang, X. Robust cfar ship detector based on bilateral-trimmed-statistics of complex ocean scenes in SAR imagery: A closed-form solution. IEEE Trans. Aerosp. Electron. Syst. 2021, 57, 1872–1890. [Google Scholar] [CrossRef]
- Guo, Y.; Chen, S.; Zhan, R.; Wang, W.; Zhang, J. Lmsd-yolo: A lightweight yolo algorithm for multi-scale sar ship detection. Remote Sens. 2022, 14, 4801. [Google Scholar] [CrossRef]
- Oghim, S.; Kim, Y.; Bang, H.; Lim, D.; Ko, J. SAR image generation method using DH-GAN for automatic target recognition. Sensors 2024, 24, 670. [Google Scholar] [CrossRef] [PubMed]
- Huo, W.; Huang, Y.; Pei, J.; Zhang, Q.; Gu, Q.; Yang, J. Ship detection from ocean sar image based on local contrast variance weighted information entropy. Sensors 2018, 18, 1196. [Google Scholar] [CrossRef] [PubMed]
- Chiang, C.; Chen, K.; Chu, C.; Chang, Y.; Fan, K. Color enhancement for four-component decomposed polarimetric sar image based on a cie-lab encoding. Remote Sens. 2018, 10, 545. [Google Scholar] [CrossRef]
- Kwak, Y.; Song, W.; Kim, S. Speckle-noise-invariant convolutional neural network for sar target recognition. IEEE Geosci. Remote Sens. Lett. 2019, 16, 549–553. [Google Scholar] [CrossRef]
- Franceschetti, G.; Migli–ccio, M.; Riccio, D. The SAR simulation: An overview. In Quantitative Remote Sensing for Science and Applications, Proceedings of the 1995 International Geoscience and Remote Sensing Symposium, IGARSS’95, Firenze, Italy, 10–14 July 1995; IEEE: Hoboken, NJ, USA, 1995. [Google Scholar]
- Kingma, D.P.; Welling, M. Auto-encoding variational bayes. arXiv 2013, arXiv:1312.6114. [Google Scholar]
- Goodfellow, I.J.; Pouget-Abadie, J.; Mirza, M.; Xu, B.; Warde-Farley, D.; Ozair, S.; Courville, A.; Bengio, Y. Generative adversarial networks. arXiv 2014, arXiv:1406.2661. [Google Scholar] [CrossRef]
- Wu, B.; Zhang, G.; Sun, Y.; Leung, H. Component interpretation for SAR target images based on deep generative model. IEEE Geosci. Remote Sens. Lett. 2021, 18, 2112–2116. [Google Scholar] [CrossRef]
- Han, Y.; Liu, Y.; Chen, Q. Data augmentation in material images using the improved HP-VAE-GAN. Comput. Mater. Sci. 2023, 226, 112250. [Google Scholar] [CrossRef]
- Bowman, S.R.; Vilnis, L.; Vinyals, O.; Dai, A.M.; Jozefowicz, R.; Bengio, S. Generating sentences from a continuous space. arXiv 2015, arXiv:1511.06349. [Google Scholar]
- Qin, J.; Liu, Z.; Ran, L.; Xie, R.; Tang, J.; Guo, Z. A target sar image expansion method based on conditional wasserstein deep convolutional gan for automatic target recognition. IEEE J. Sel. Top. Appl. Earth Observ. Remote Sens. 2022, 15, 7153–7170. [Google Scholar] [CrossRef]
- Kumar, S.; Dhawan, S. A detailed study on generative adversarial networks. In Proceedings of the 2020 5th International Conference on Communication and Electronics Systems (ICCES), Coimbatore, India, 10–12 June 2020. [Google Scholar]
- Bau, D.; Zhu, J.; Wulff, J.; Peebles, W.; Zhou, B.; Strobelt, H.; Torralba, A. Seeing what a GAN cannot generate. In Proceedings of the 2019 IEEE/CVF International Conference on Computer Vision (ICCV), Seoul, Republic of Korea, 27 October–2 November 2019. [Google Scholar]
- Gao, F.; Yang, Y.; Wang, J.; Sun, J.; Yang, E.; Zhou, H. A deep convolutional generative adversarial networks (dcgans)-based semi-supervised method for object recognition in synthetic aperture radar (SAR) images. Remote Sens. 2018, 10, 846. [Google Scholar] [CrossRef]
- Arjovsky, M.; Chintala, S.; Bottou, L. Wasserstein GAN. arXiv 2017, arXiv:1701.07875. [Google Scholar]
- Gulrajani, I.; Ahmed, F.; Arjovsky, M.; Dumoulin, V.; Courville, A. Improved training of wasserstein GANs. arXiv 2017, arXiv:1704.00028. [Google Scholar]
- Mirza, M.; Osindero, S. Conditional generative adversarial nets. arXiv 2014, arXiv:1411.1784. [Google Scholar]
- Odena, A.; Olah, C.; Shlens, J. Conditional image synthesis with auxiliary classifier GANs. arXiv 2016, arXiv:1610.09585. [Google Scholar]
- Cao, C.; Cao, Z.; Cui, Z. LDGAN: A synthetic aperture radar image generation method for automatic target recognition. IEEE Trans. Geosci. Remote Sens. 2020, 58, 3495–3508. [Google Scholar] [CrossRef]
- Hu, X.; Feng, W.; Guo, Y.; Wang, Q. Feature learning for SAR target recognition with unknown classes by using CVAE-GAN. Remote Sens. 2021, 13, 3554. [Google Scholar] [CrossRef]
- Chen, X.; Duan, Y.; Houthooft, R.; Schulman, J.; Sutskever, I.; Abbeel, P. Infogan: Interpretable representation learning by information maximizing generative adversarial nets. arXiv 2016, arXiv:1606.03657. [Google Scholar]
- Sun, X.; Tian, Y.; Li, H. Zero-shot image classification via visual–semantic feature decoupling. Multimedia Syst. 2024, 30, 82. [Google Scholar] [CrossRef]
- Feng, Z.; Daković, M.; Ji, H.; Zhou, X.; Zhu, M.; Cui, X.; Stanković, L. Interpretation of latent codes in infogan with SAR images. Remote Sens. 2023, 15, 1254. [Google Scholar] [CrossRef]
- Sabour, S.; Frosst, N.; Hinton, G.E. Dynamic routing between capsules. arXiv 2017, arXiv:1710.09829. [Google Scholar]
- Krizhevsky, A.; Sutskever, I.; Hinton, G.E. Imagenet classification with deep convolutional neural networks. Commun. ACM 2017, 60, 84–90. [Google Scholar] [CrossRef]
- Gao, Y.; Gao, F.; Dong, J.; Li, H. SAR image change detection based on multiscale capsule network. IEEE Geosci. Remote Sens. Lett. 2021, 18, 484–488. [Google Scholar] [CrossRef]
- Wang, S.; Wang, D.; Shi, J.; Zhang, Z.; Li, X.; Guo, Y. Synthetic aperture radar image change detection using saliency detection and attention capsule network. J. Appl. Remote Sens. 2024, 18, 16505. [Google Scholar] [CrossRef]
- Pawan, S.J.; Rajan, J. Capsule networks for image classification: A review. Neurocomputing 2022, 509, 102–120. [Google Scholar] [CrossRef]
- Wang, W.; Lee, F.; Yang, S.; Chen, Q. An improved capsule network based on capsule filter routing. IEEE Access 2021, 9, 109374–109383. [Google Scholar] [CrossRef]
- He, K.; Zhang, X.; Ren, S.; Sun, J. Deep residual learning for image recognition(conference paper). In Proceedings of the IEEE Computer Society Conference on Computer Vision and Pattern Recognition 2016, Las Vegas, NV, USA, 27–30 June 2016; pp. 770–778. [Google Scholar]
- Wang, C.; Mark Liao, H.; Wu, Y.; Chen, P.; Hsieh, J.; Yeh, I. Cspnet: A new backbone that can enhance learning capability of CNN. In Proceedings of the 2020 IEEE/CVF Conference on Computer Vision and Pattern Recognition Workshops (CVPRW), Seattle, WA, USA, 13–19 June 2020. [Google Scholar]
- Li, B.; Guan, D.; Zheng, X.; Chen, Z.; Pan, L. Sd-capsnet: A siamese dense capsule network for SAR image registration with complex scenes. Remote Sens. 2023, 15, 1871. [Google Scholar] [CrossRef]
- Zhang, R.; Isola, P.; Efros, A.A.; Shechtman, E.; Wang, O. The unreasonable effectiveness of deep features as a perceptual metric (conference paper). In Proceedings of the IEEE Computer Society Conference on Computer Vision and Pattern Recognition, Salt Lake City, UT, USA, 18–23 June 2018; pp. 586–595. [Google Scholar]
- Wang, T.; Yang, X.; Xu, K.; Chen, S.; Zhang, Q.; Lau, R.W.H. Spatial attentive single-image deraining with a high quality real rain dataset. In Proceedings of the 2019 IEEE/CVF Conference on Computer Vision and Pattern Recognition (CVPR), Long Beach, CA, USA, 15–20 June 2019. [Google Scholar]
- Wang, Z.; Bovik, A.; Sheikh, H.R.; Simoncelli, E.P. Image quality assessment: From error visibility to structural similarity. IEEE Trans. Image Process. 2004, 13, 600–612. [Google Scholar] [CrossRef] [PubMed]
- Zhang, L.; Zhang, L.; Mou, X.; Zhang, D. Fsim: A feature similarity index for image quality assessment. IEEE Trans. Image Process. 2011, 20, 2378–2386. [Google Scholar] [CrossRef] [PubMed]
- Chen, G.; Zhang, S.; He, Q.; Sun, Z.; Zhang, X.; Zhao, L. Zero-shot sar target recognition based on a conditional generative network with category features from simulated images. Remote Sens. 2024, 16, 1930. [Google Scholar] [CrossRef]
- Du, S.; Hong, J.; Wang, Y.; Qi, Y. A high-quality multicategory SAR images generation method with multiconstraint GAN for ATR. IEEE Geosci. Remote Sens. Lett. 2022, 19, 1–5. [Google Scholar] [CrossRef]
- Wan, X.; Liu, B.; Guo, Z.; Xia, Z.; Zhang, T.; Ji, R.; Wan, W. Super resolution mapping of scatterometer ocean surface wind speed using generative adversarial network: Experiments in the southern china sea. J. Mar. Sci. Eng. 2024, 12, 228. [Google Scholar] [CrossRef]
- Oleg, C.; Vladimir, I.; Elena, C.; Dmitry, G.; Gulmira, K. On the radiometric resolution of SAR signals. E3S Web Conf. 2023, 402, 14007. [Google Scholar]












| Evaluation Index | PSNR | RL | DR |
|---|---|---|---|
| Real images | - | 3.7450 | 24.0654 |
| VAE | 18.1154 | 3.1166 | 20.8279 |
| DCGAN | 17.3358 | 3.5883 | 24.0654 |
| VAE-GAN | 17.5197 | 3.5952 | 24.0654 |
| MCGAN | 16.1487 | 3.0059 | 24.0654 |
| OURS | 21.6845 | 3.7114 | 24.0654 |
| Target | Evaluation Index | CapsNet | OURS |
|---|---|---|---|
| H500 | PSNR | 21.3543 | 22.4563 |
| RL | 3.4431 | 3.7198 | |
| V5 | PSNR | 21.7648 | 23.6577 |
| RL | 3.3195 | 3.8494 |
| Target | Evaluation Index | Without Attention Mechanism | OURS |
|---|---|---|---|
| H500 | PSNR | 20.2335 | 22.4563 |
| RL | 3.5168 | 3.7198 | |
| V5 | PSNR | 21.1681 | 23.6577 |
| RL | 3.3137 | 3.8494 |
Disclaimer/Publisher’s Note: The statements, opinions and data contained in all publications are solely those of the individual author(s) and contributor(s) and not of MDPI and/or the editor(s). MDPI and/or the editor(s) disclaim responsibility for any injury to people or property resulting from any ideas, methods, instructions or products referred to in the content. |
© 2024 by the authors. Licensee MDPI, Basel, Switzerland. This article is an open access article distributed under the terms and conditions of the Creative Commons Attribution (CC BY) license (https://creativecommons.org/licenses/by/4.0/).
Share and Cite
Jin, R.; Cheng, J.; Wang, W.; Zhang, H.; Zhang, J. Attribute Feature Perturbation-Based Augmentation of SAR Target Data. Sensors 2024, 24, 5006. https://doi.org/10.3390/s24155006
Jin R, Cheng J, Wang W, Zhang H, Zhang J. Attribute Feature Perturbation-Based Augmentation of SAR Target Data. Sensors. 2024; 24(15):5006. https://doi.org/10.3390/s24155006
Chicago/Turabian StyleJin, Rubo, Jianda Cheng, Wei Wang, Huiqiang Zhang, and Jun Zhang. 2024. "Attribute Feature Perturbation-Based Augmentation of SAR Target Data" Sensors 24, no. 15: 5006. https://doi.org/10.3390/s24155006
APA StyleJin, R., Cheng, J., Wang, W., Zhang, H., & Zhang, J. (2024). Attribute Feature Perturbation-Based Augmentation of SAR Target Data. Sensors, 24(15), 5006. https://doi.org/10.3390/s24155006

