Probing Biological Nitrogen Fixation in Legumes Using Raman Spectroscopy
Abstract
1. Introduction
2. Materials and Methods
2.1. Experimental Design
2.2. Raman Spectra Acquisition
2.3. Data Processing and Analysis
2.4. Model Regularisation
3. Results and Discussion
3.1. Model Optimisation
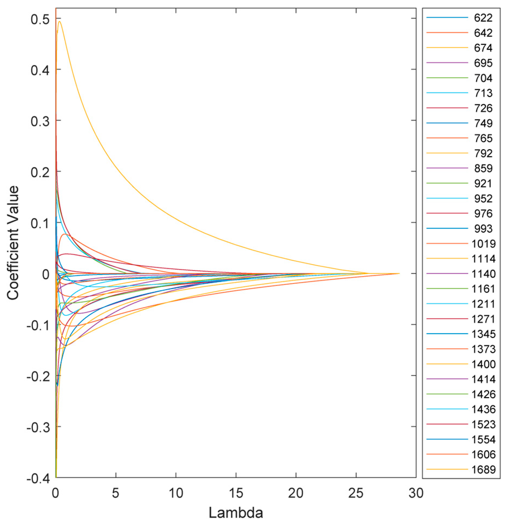
3.2. Regularisation Results
| Band (cm−1) | Vibrational Mode | Assignment |
|---|---|---|
| 674 | ν(C–C–O) + δ(C–C–O) | Carbohydrates [30], Glycerol [28] |
| 695 | δ(C–C–H) twisting | Cellulose Avicel (II) [31] |
| 704 | ring deformation | Cytosine [32] |
| 713 | C–S–C asymmetric stretch; H2O rocking | Isoleucine, Methionine [33] |
| 726 | ring breath | Adenine [34] |
| 859 | τ (C–N) | Arginine, Serine [33] |
| 952 | δ(CCH), δ(COH) | Pectin [26] |
| 976 | CH2 rocking | Glycerol [28] |
| 1019 | C–O–H deformation | Alcoholic hydroxyl [33] |
| 1114 | νs(C–O–C) | Glycosidic ring breathing [35], Cellulose [36] |
| 1211 | δ(>C=C–C–) β-ring | β-Carotene [37,38,39] |
| 1345 | ν(C–O); δ(C–O–H) | Carbohydrates [30] |
| 1400 | ν; δ(C–OH)COOH; δs(CH3) | Pectin [26], β-carotene [37], Cellulose [36] |
| 1414 | δ(C–H) | Deoxyadenosine triphosphate [28] |
| 1426 | νs(COO–); CH2 deformation | Aspartic acid, Glutamic acid, Methionine [28,33] |
4. Conclusions
Author Contributions
Funding
Institutional Review Board Statement
Informed Consent Statement
Data Availability Statement
Conflicts of Interest
References
- Hardarson, G.; Danso, S. Methods for measuring biological nitrogen fixation in grain legumes. Plant Soil 1993, 152, 19–23. [Google Scholar] [CrossRef]
- Unkovich, M.; Baldock, J. Measurement of asymbiotic N2 fixation in Australian agriculture. Soil Biol. Biochem. 2008, 40, 2915–2921. [Google Scholar] [CrossRef]
- Alonso, J.; Gonzalez, P. Isotope Dilution Mass Spectrometry; Royal Society of Chemistry: London, UK, 2019. [Google Scholar]
- Saletnik, A.; Saletnik, B.; Puchalski, C. Overview of popular techniques of Raman spectroscopy and their potential in the study of plant tissues. Molecules 2021, 26, 1537. [Google Scholar] [CrossRef] [PubMed]
- Zavafer, A.; Ball, M.C. Good vibrations: Raman spectroscopy enables insights into plant biochemical composition. Funct. Plant Biol. 2022, 50, 1–16. [Google Scholar] [CrossRef] [PubMed]
- Sharma, S.; Bharti, A.; Singh, R.; Uttam, K.N. Non-destructive, label free evaluation of the biochemical profile associated with the growth and ripening process of jamun fruit by confocal micro Raman spectroscopy. Anal. Lett. 2022, 55, 812–827. [Google Scholar] [CrossRef]
- Schulz, H.; Baranska, M. Identification and quantification of valuable plant substances by IR and Raman spectroscopy. Vib. Spectrosc. 2007, 43, 13–25. [Google Scholar] [CrossRef]
- De Moliner, F.; Knox, K.; Gordon, D.; Lee, M.; Tipping, W.J.; Geddis, A.; Reinders, A.; Ward, J.M.; Oparka, K.; Vendrell, M. A Palette of Minimally Tagged Sucrose Analogues for Real-Time Raman Imaging of Intracellular Plant Metabolism. Angew. Chem. 2021, 133, 7715–7720. [Google Scholar] [CrossRef] [PubMed]
- Gersony, J.T.; McClelland, A.; Holbrook, N.M. Raman spectroscopy reveals high phloem sugar content in leaves of canopy red oak trees. New Phytol. 2021, 232, 418–424. [Google Scholar] [CrossRef]
- Dina, N.E.; Muntean, C.M.; Bratu, I.; Tican, A.; Halmagyi, A.; Purcaru, M.A.P.; Coste, A. Structure and surface dynamics of genomic DNA as probed with surface-enhanced Raman spectroscopy: Trace level sensing of nucleic acids extracted from plants. Spectrochim. Acta Part A Mol. Biomol. Spectrosc. 2022, 279, 121477. [Google Scholar] [CrossRef] [PubMed]
- Li, M. Developing Raman Sorting and Imaging Techniques to Characterise and Differentiate Unculturable Microbial Single Cells. Ph.D. Thesis, University of Sheffiel, Sheffield, UK, 2012. [Google Scholar]
- Polisetti, S.; Baig, N.; Bible, A.; Morrell-Falvey, J.; Doktycz, M.; Bohn, P.W. Using Raman spectroscopy and SERS for in situ studies of rhizosphere bacteria. In Biosensing and Nanomedicine VIII; SPIE: Bellingham, DC, USA, 2015. [Google Scholar]
- Jochum, T.; Fastnacht, A.; Trumbore, S.E.; Popp, J.; Frosch, T. Direct Raman spectroscopic measurements of biological nitrogen fixation under natural conditions: An analytical approach for studying nitrogenase activity. Anal. Chem. 2017, 89, 1117–1122. [Google Scholar] [CrossRef]
- Agarwal, U.P.; Atalla, R.H. In-situ Raman microprobe studies of plant cell walls: Macromolecular organization and compositional variability in the secondary wall of Picea mariana (Mill.) BSP. Planta 1986, 169, 325–332. [Google Scholar] [CrossRef] [PubMed]
- Saito, S. Field evaluation of the symbiotic fixation abilities among Rhizobium phaseoli strains [Rhizobium; Symbiotic fixation of nitrogen]. Pesqui. Agropecu. Bras. 1982, 17, 999–1006. [Google Scholar]
- Farid, M. Symbiotic Nitrogen Fixation in Common Bean. Ph.D. Thesis, University of Guelph, Guelph, ON, Canada, 2015. [Google Scholar]
- Akter, Z.; Pageni, B.B.; Lupwayi, N.Z.; Balasubramanian, P.M. Biological nitrogen fixation by irrigated dry bean (Phaseolus vulgaris L.) genotypes. Can. J. Plant Sci. 2018, 98, 1159–1167. [Google Scholar] [CrossRef]
- Reinprecht, Y.; Schram, L.; Marsolais, F.; Smith, T.H.; Hill, B.; Pauls, K.P. Effects of nitrogen application on nitrogen fixation in common bean production. Front. Plant Sci. 2020, 11, 1172. [Google Scholar] [CrossRef] [PubMed]
- Friel, C.A.; Friesen, M.L. Legumes modulate allocation to rhizobial nitrogen fixation in response to factorial light and nitrogen manipulation. Front. Plant Sci. 2019, 10, 481099. [Google Scholar] [CrossRef] [PubMed]
- McKnight, T. Efficiency of isolates of Rhizobium in the cowpea (Vigna unguiculata) group, with proposed additions to this group. Qld. J. Agric. Sci. 1949, 6, 61–76. [Google Scholar]
- Unkovich, M.; Herridge DA VI, D.; Peoples, M.; Cadisch, G.; Boddey, B.; Giller, K.; Alves, B.; Chalk, P. Measuring Plant-Associated Nitrogen Fixation in Agricultural Systems; Australian Centre for International Agricultural Research (ACIAR): Canberra, Australia, 2008. [Google Scholar]
- Kerr, L.T.; Byrne, H.J.; Hennelly, B.M. Optimal choice of sample substrate and laser wavelength for Raman spectroscopic analysis of biological specimen. Anal. Methods 2015, 7, 5041–5052. [Google Scholar] [CrossRef]
- Lieber, C.A.; Mahadevan-Jansen, A. Automated method for subtraction of fluorescence from biological Raman spectra. Appl. Spectrosc. 2003, 57, 1363–1367. [Google Scholar] [CrossRef] [PubMed]
- Wold, S.; Sjöström, M.; Eriksson, L. PLS-regression: A basic tool of chemometrics. Chemom. Intell. Lab. Syst. 2001, 58, 109–130. [Google Scholar] [CrossRef]
- Zou, H.; Hastie, T. Regularization and variable selection via the elastic net. J. R. Stat. Soc. Ser. B Stat. Methodol. 2005, 67, 301–320. [Google Scholar] [CrossRef]
- Synytsya, A.; Čopíková, J.; Matějka, P.; Machovič, V. Fourier transform Raman and infrared spectroscopy of pectins. Carbohydr. Polym. 2003, 54, 97–106. [Google Scholar] [CrossRef]
- Qin, J.; Chao, K.; Kim, M.S. Nondestructive evaluation of internal maturity of tomatoes using spatially offset Raman spectroscopy. Postharvest Biol. Technol. 2012, 71, 21–31. [Google Scholar] [CrossRef]
- Pezzotti, G. Raman spectroscopy in cell biology and microbiology. J. Raman Spectrosc. 2021, 52, 2348–2443. [Google Scholar] [CrossRef]
- Brentin, R.P. Soy-based chemicals and materials: Growing the value chain. In Soy-Based Chemicals and Materials; ACS Publications: Washington, DC, USA, 2014; pp. 1–23. [Google Scholar]
- Almeida, M.R.; Alves, R.S.; Nascimbem, L.B.L.R.; Stephani, R.; Poppi, R.J.; de Oliveira, L.F.C. Determination of amylose content in starch using Raman spectroscopy and multivariate calibration analysis. Anal. Bioanal. Chem. 2010, 397, 2693–2701. [Google Scholar] [CrossRef]
- Agarwal, U.P. 1064 nm FT-Raman spectroscopy for investigations of plant cell walls and other biomass materials. Front. Plant Sci. 2014, 5, 103972. [Google Scholar] [CrossRef]
- Madzharova, F.; Heiner, Z.; Gühlke, M.; Kneipp, J. Surface-enhanced hyper-Raman spectra of adenine, guanine, cytosine, thymine, and uracil. J. Phys. Chem. C 2016, 120, 15415–15423. [Google Scholar] [CrossRef]
- Zhu, G.; Zhu, X.; Fan, Q.; Wan, X. Raman spectra of amino acids and their aqueous solutions. Spectrochim. Acta Part A Mol. Biomol. Spectrosc. 2011, 78, 1187–1195. [Google Scholar] [CrossRef] [PubMed]
- Kundu, J.; Neumann, O.; Janesko, B.G.; Zhang, D.; Lal, S.; Barhoumi, A.; Scuseria, G.E.; Halas, N.J. Adenine− and adenosine monophosphate (AMP)—Gold binding interactions studied by surface-enhanced Raman and infrared spectroscopies. J. Phys. Chem. C 2009, 113, 14390–14397. [Google Scholar] [CrossRef]
- Schenzel, K.; Fischer, S. NIR FT Raman spectroscopy–a rapid analytical tool for detecting the transformation of cellulose polymorphs. Cellulose 2001, 8, 49–57. [Google Scholar] [CrossRef]
- Zhbankov, R.; Firsov, S.; Buslov, D.; Nikonenko, N.; Marchewka, M.; Ratajczak, H. Structural physico-chemistry of cellulose macromolecules. Vibrational spectra and structure of cellulose. J. Mol. Struct. 2002, 614, 117–125. [Google Scholar] [CrossRef]
- da Silva, K.J.; Paschoal, W., Jr.; Belo, E.A.; Moreira, S.G. Phase transition in all-trans-β-carotene crystal: Temperature-dependent Raman spectra. J. Phys. Chem. A 2015, 119, 9778–9784. [Google Scholar] [CrossRef]
- Grudzinski, W.; Janik, E.; Bednarska, J.; Welc, R.; Zubik, M.; Sowinski, K.; Luchowski, R.; Gruszecki, W.I. Light-driven reconfiguration of a Xanthophyll Violaxanthin in the photosynthetic pigment–protein complex LHCII: A resonance raman study. J. Phys. Chem. B 2016, 120, 4373–4382. [Google Scholar] [CrossRef] [PubMed]
- Gruszecki, W.I.; Gospodarek, M.; Grudzinski, W.; Mazur, R.; Gieczewska, K.; Garstka, M. Light-induced change of configuration of the LHCII-bound xanthophyll (tentatively assigned to violaxanthin): A resonance Raman study. J. Phys. Chem. B 2009, 113, 2506–2512. [Google Scholar] [CrossRef] [PubMed]
- Goldflus, F.; Ceccantini, M.; Santos, W. Amino acid content of soybean samples collected in different Brazilian states: Harvest 2003/2004. Braz. J. Poult. Sci. 2006, 8, 105–111. [Google Scholar] [CrossRef]
- Flores-Tinoco, C.E.; Tschan, F.; Fuhrer, T.; Margot, C.; Sauer, U.; Christen, M.; Christen, B. Co-catabolism of arginine and succinate drives symbiotic nitrogen fixation. Mol. Syst. Biol. 2020, 16, e9419. [Google Scholar] [CrossRef] [PubMed]
- Jorge, C.J.F. Comparative Analyses of the Nitrogen Fixing Potential of Different Legume Species Grown under Different Agronomic Practices. Ph.D. Thesis, North-West University, Potchefstroom, South Africa, 2017. [Google Scholar]
- Voisin, A.S.; Salon, C.; Delfosse, O.; Mary, B. Theoretical evaluation of 15N isotopic methods for measuring symbiotic nitrogen fixation in the field. In Proceedings of the Nitrogen Fixation Research Progress: Proceedings of the 6th International Symposium on Nitrogen Fixation, Corvallis, OR, USA, 4–10 August 1985; Nova Science Publischers Inc.: Hauppauge, NY, USA, 2008. [Google Scholar]
- Zhang, H.; Plett, J.M.; Catunda, K.L.M.; Churchill, A.C.; Moore, B.D.; Powell, J.R.; A Power, S.; Yang, J.; Anderson, I.C. Rapid quantification of biological nitrogen fixation using optical spectroscopy. J. Exp. Bot. 2024, 75, 760–771. [Google Scholar] [CrossRef]







Disclaimer/Publisher’s Note: The statements, opinions and data contained in all publications are solely those of the individual author(s) and contributor(s) and not of MDPI and/or the editor(s). MDPI and/or the editor(s) disclaim responsibility for any injury to people or property resulting from any ideas, methods, instructions or products referred to in the content. |
© 2024 by the authors. Licensee MDPI, Basel, Switzerland. This article is an open access article distributed under the terms and conditions of the Creative Commons Attribution (CC BY) license (https://creativecommons.org/licenses/by/4.0/).
Share and Cite
Jafari, A.; Seth, K.; Werner, A.; Shi, S.; Hofmann, R.; Hoyos-Villegas, V. Probing Biological Nitrogen Fixation in Legumes Using Raman Spectroscopy. Sensors 2024, 24, 4944. https://doi.org/10.3390/s24154944
Jafari A, Seth K, Werner A, Shi S, Hofmann R, Hoyos-Villegas V. Probing Biological Nitrogen Fixation in Legumes Using Raman Spectroscopy. Sensors. 2024; 24(15):4944. https://doi.org/10.3390/s24154944
Chicago/Turabian StyleJafari, Abdolabbas, Kritarth Seth, Armin Werner, Shengjing Shi, Rainer Hofmann, and Valerio Hoyos-Villegas. 2024. "Probing Biological Nitrogen Fixation in Legumes Using Raman Spectroscopy" Sensors 24, no. 15: 4944. https://doi.org/10.3390/s24154944
APA StyleJafari, A., Seth, K., Werner, A., Shi, S., Hofmann, R., & Hoyos-Villegas, V. (2024). Probing Biological Nitrogen Fixation in Legumes Using Raman Spectroscopy. Sensors, 24(15), 4944. https://doi.org/10.3390/s24154944

