Modified Gold Screen-Printed Electrodes for the Determination of Heavy Metals
Abstract
1. Introduction
2. Materials and Methods
2.1. Chemicals and Materials
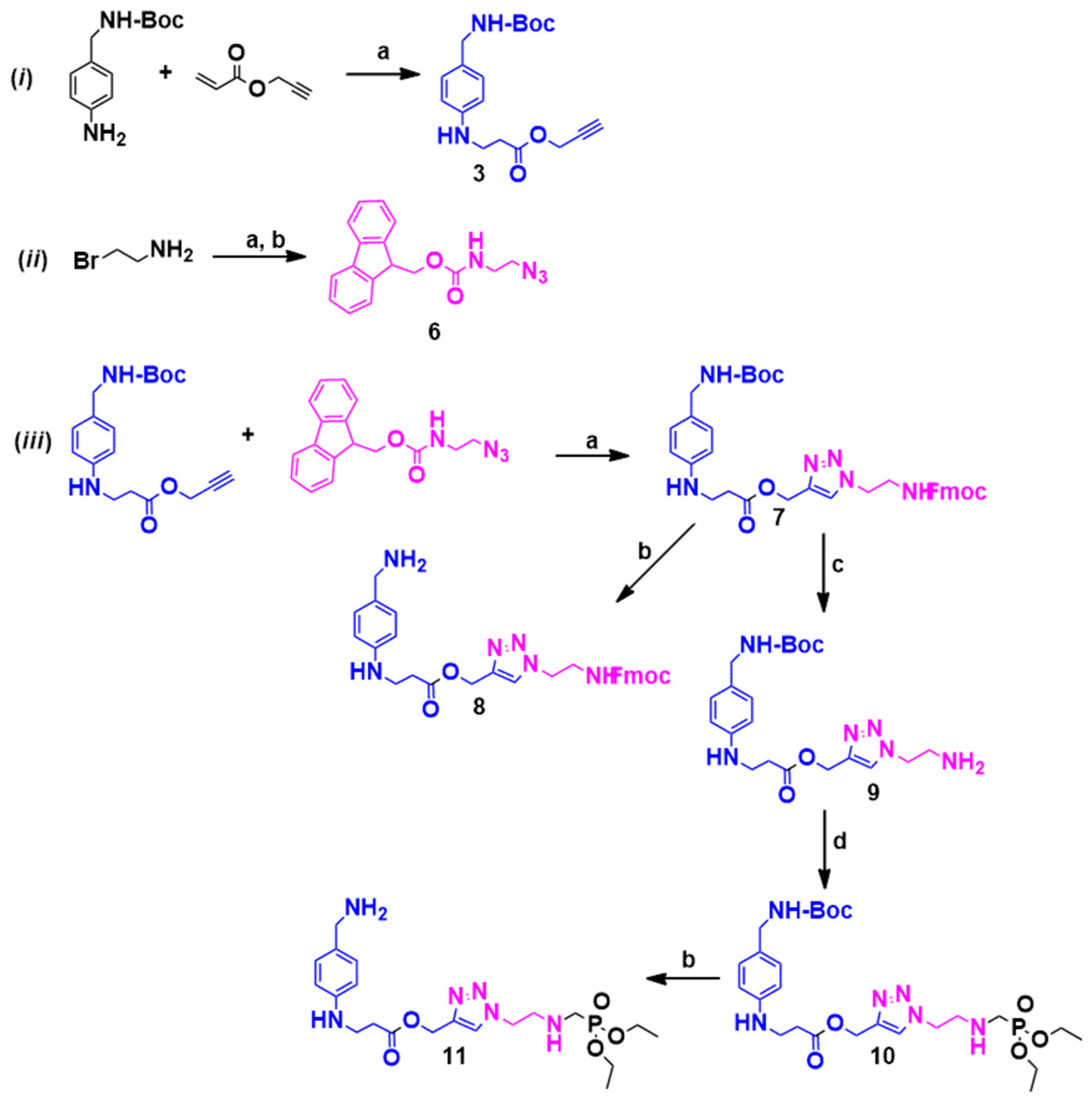
2.2. Synthesis of the Sensitive Elements Tr-N and Tr-P
2.2.1. Synthesis of Tr-N
2.2.2. Synthesis of Tr-P
2.3. Development of the Modified SPGEs (SPGE-N and SPGE-P)
2.4. Electrochemical Tests
3. Results and Discussion
3.1. Synthesis of Tr-N and Tr-P
3.2. Synthesis of the Ligand-Modified SPGE
3.3. Electrochemical Properties of Bare SPGE, SPGE-N, and SPGE-P
4. Real Samples Analyses
5. Conclusions
Supplementary Materials
Author Contributions
Funding
Institutional Review Board Statement
Informed Consent Statement
Data Availability Statement
Conflicts of Interest
References
- Lu, M.; Deng, Y.; Luo, Y.; Lv, J.; Li, T.; Xu, J.; Chen, S.W.; Wang, J. Graphene Aerogel-Metal-Organic Framework-Based Electrochemical Method for Simultaneous Detection of Multiple Heavy-Metal Ions. Anal. Chem. 2019, 91, 888–895. [Google Scholar] [CrossRef] [PubMed]
- Yang, J.; Zhang, Y.; Zhang, L.; Wang, H.; Nie, J.; Qin, Z.; Li, J.; Xiao, W. Analyte-Triggered Autocatalytic Amplification Combined with Gold Nanoparticle Probes for Colorimetric Detection of Heavy-Metal Ions. Chem. Commun. 2017, 53, 7477–7480. [Google Scholar] [CrossRef]
- Bansod, B.K.; Kumar, T.; Thakur, R.; Rana, S.; Singh, I. A Review on Various Electrochemical Techniques for Heavy Metal Ions Detection with Different Sensing Platforms. Biosens. Bioelectron. 2017, 94, 443–455. [Google Scholar] [CrossRef] [PubMed]
- Zhang, Y.N.; Niu, Q.; Gu, X.; Yang, N.; Zhao, G. Recent Progress on Carbon Nanomaterials for the Electrochemical Detection and Removal of Environmental Pollutants. Nanoscale 2019, 11, 11992–12014. [Google Scholar] [CrossRef]
- Ielo, I.; Giacobello, F.; Castellano, A.; Sfameni, S.; Rando, G.; Plutino, M.R. Development of Antibacterial and Antifouling Innovative and Eco-Sustainable Sol–Gel Based Materials: From Marine Areas Protection to Healthcare Applications. Gels 2022, 8, 26. [Google Scholar] [CrossRef]
- Zhang, W.; Liu, Q.X.; Guo, Z.H.; Lin, J.S. Practical Application of Aptamer-Based Biosensors in Detection of Low Molecular Weight Pollutants in Water Sources. Molecules 2018, 23, 344. [Google Scholar] [CrossRef] [PubMed]
- Veerakumar, P.; Veeramani, V.; Chen, S.M.; Madhu, R.; Liu, S. Bin Palladium Nanoparticle Incorporated Porous Activated Carbon: Electrochemical Detection of Toxic Metal Ions. ACS Appl. Mater. Interfaces 2016, 8, 1319–1326. [Google Scholar] [CrossRef]
- Moulaee, K.; Bressi, V.; Ferlazzo, A.; Iannazzo, D.; Espro, C.; Neri, G. Electrochemical Stripping Determination of Trace Heavy Metals Using Screen-Printed Electrodes as a Versatile Approach toward a Mobile Sensing Platform. In Proceedings of the 2022 IEEE International Workshop on Metrology for the Sea; Learning to Measure Sea Health Parameters (MetroSea), Milazzo, Italy, 3–5 October 2022; pp. 164–167. [Google Scholar] [CrossRef]
- Li, S.S.; Li, W.J.; Jiang, T.J.; Liu, Z.G.; Chen, X.; Cong, H.P.; Liu, J.H.; Huang, Y.Y.; Li, L.N.; Huang, X.J. Iron Oxide with Different Crystal Phases (α- and γ-Fe2O3) in Electroanalysis and Ultrasensitive and Selective Detection of Lead(II): An Advancing Approach Using XPS and EXAFS. Anal. Chem. 2016, 88, 906–914. [Google Scholar] [CrossRef]
- Waheed, A.; Mansha, M.; Ullah, N. Nanomaterials-Based Electrochemical Detection of Heavy Metals in Water: Current Status, Challenges and Future Direction. TrAC—Trends Anal. Chem. 2018, 105, 37–51. [Google Scholar] [CrossRef]
- Lu, L.; Zhou, L.; Chen, J.; Yan, F.; Liu, J.; Dong, X.; Xi, F.; Chen, P. Nanochannel-Confined Graphene Quantum Dots for Ultrasensitive Electrochemical Analysis of Complex Samples. ACS Nano 2018, 12, 12673–12681. [Google Scholar] [CrossRef]
- Priya, T.; Dhanalakshmi, N.; Thennarasu, S.; Thinakaran, N. A Novel Voltammetric Sensor for the Simultaneous Detection of Cd2+ and Pb2+ Using Graphene Oxide/κ-Carrageenan/L-Cysteine Nanocomposite. Carbohydr. Polym. 2018, 182, 199–206. [Google Scholar] [CrossRef] [PubMed]
- Abdulla, M.; Ali, A.; Jamal, R.; Bakri, T.; Wu, W.; Abdiryim, T. Electrochemical Sensor of Double-Thiol Linked PProDOT@Si Composite for Simultaneous Detection of Cd(II), Pb(II), and Hg(II). Polymers 2019, 11, 815. [Google Scholar] [CrossRef] [PubMed]
- Cancelliere, R.; Di Tinno, A.; Cataldo, A.; Bellucci, S.; Micheli, L. Powerful Electron-Transfer Screen-Printed Platforms as Biosensing Tools: The Case of Uric Acid Biosensor. Biosensors 2022, 12, 2. [Google Scholar] [CrossRef] [PubMed]
- Ramanavicius, S.; Ramanavicius, A. Conducting Polymers in the Design of Biosensors and Biofuel Cells. Polymers 2021, 13, 49. [Google Scholar] [CrossRef] [PubMed]
- Miao, P.; Tang, Y.; Wang, L. DNA Modified Fe3O4@Au Magnetic Nanoparticles as Selective Probes for Simultaneous Detection of Heavy Metal Ions. ACS Appl. Mater. Interfaces 2017, 9, 3940–3947. [Google Scholar] [CrossRef] [PubMed]
- Li, Z.; Li, Q.; Jiang, R.; Qin, Y.; Luo, Y.; Li, J.; Kong, W.; Yang, Z.; Huang, C.; Qu, X.; et al. An Electrochemical Sensor Based on a MOF/ZnO Composite for the Highly Sensitive Detection of Cu(Ii) in River Water Samples. RSC Adv. 2022, 12, 5062–5071. [Google Scholar] [CrossRef] [PubMed]
- United States Environmental Protection Agency. Lead and Copper Rule: A Quick Reference Guide; United States Environmental Protection Agency: Washington, DC, USA, 2008; Volume 85, pp. 1–2.
- WHO. Mercury in Drinking-Water, Background Document for Development of WHO Guidelines for Drinking-Water Quality; WHO/SDE/WS, WHO/SDE/WSH/05.08/10; WHO: Geneva, Switzerland, 2005. [Google Scholar]
- Beitollahi, H.; Tajik, S.; Dourandish, Z.; Zhang, K.; Le, Q.V.; Jang, H.W.; Kim, S.Y.; Shokouhimehr, M. Recent Advances in the Aptamer-Based Electrochemical Biosensors for Detecting Aflatoxin B1 and Its Pertinent Metabolite Aflatoxin M1. Sensors 2020, 20, 3256. [Google Scholar] [CrossRef] [PubMed]
- Zounr, R.A.; Tuzen, M.; Deligonul, N.; Khuhawar, M.Y. A Highly Selective and Sensitive Ultrasonic Assisted Dispersive Liquid Phase Microextraction Based on Deep Eutectic Solvent for Determination of Cadmium in Food and Water Samples Prior to Electrothermal Atomic Absorption Spectrometry. Food Chem. 2018, 253, 277–283. [Google Scholar] [CrossRef]
- Zhang, M.; Zhang, X.; Niu, P.; Shen, T.; Yuan, Y.; Bai, Y.; Wang, Z. On-Site Low-Power Sensing Nodes for Distributed Monitoring of Heavy Metal Ions in Water. Nanotechnol. Precis. Eng. 2021, 4, 013005. [Google Scholar] [CrossRef]
- Bono, M.S.; Hanhauser, E.B.; Vaishnav, C.; Hart, A.J.; Karnik, R. Iron Oxide Xerogels for Improved Water Quality Monitoring of Arsenic(Iii) in Resource-Limited Environments via Solid-Phase Extraction, Preservation, Storage, Transportation, and Analysis of Trace Contaminants (SEPSTAT). Anal. Methods 2021, 13, 2165–2174. [Google Scholar] [CrossRef]
- Jackson, B.; Taylor, V.; Baker, R.A.; Miller, E. Low-Level Mercury Speciation in Freshwaters by Isotope Dilution GC-ICP-MS. Environ. Sci. Technol. 2009, 43, 2463–2469. [Google Scholar] [CrossRef] [PubMed][Green Version]
- Kong, L.; Hu, X.; Peng, X.; Wang, X. Specific H2S Release from Thiosulfate Promoted by UV Irradiation for Removal of Arsenic and Heavy Metals from Strongly Acidic Wastewater. Environ. Sci. Technol. 2020, 54, 14076–14084. [Google Scholar] [CrossRef] [PubMed]
- Rodríguez Giraldo, Y.; Rodriguez Sánchez, E.; Torres, L.G.; Montenegro, A.C.; Pichimata, M.A. Development of Validation Methods to Determine Cadmium in Cocoa Almond from the Beans by ICP-MS and ICP-OES. Talanta Open 2022, 5, 100078. [Google Scholar] [CrossRef]
- Weller, A.; Zok, D.; Reinhard, S.; Woche, S.K.; Guggenberger, G.; Steinhauser, G. Separation of Ultratraces of Radiosilver from Radiocesium for Environmental Nuclear Forensics. Anal. Chem. 2020, 92, 5249–5257. [Google Scholar] [CrossRef]
- Qian, J.; Gao, X.; Pan, B. Nanoconfinement-Mediated Water Treatment: From Fundamental to Application. Environ. Sci. Technol. 2020, 54, 8509–8526. [Google Scholar] [CrossRef] [PubMed]
- Turner, A. Heavy Metals in the Glass and Enamels of Consumer Container Bottles. Environ. Sci. Technol. 2019, 53, 8398–8404. [Google Scholar] [CrossRef]
- Ullah, H.; Lun, L.; Rashid, A.; Zada, N.; Chen, B.; Shahab, A.; Li, P.; Ali, M.U.; Lin, S.; Wong, M.H. A Critical Analysis of Sources, Pollution, and Remediation of Selenium, an Emerging Contaminant; Springer: Amsterdam, The Netherlands, 2022; ISBN 0123456789. [Google Scholar]
- Qu, L.; Ren, X.; Fan, D.; Kuang, X.; Sun, X.; Wang, B.; Wei, Q.; Ju, H. Split-Type Electrochemical Immunoassay System Triggering Ascorbic Acid-Mediated Signal Magnification Based on a Controlled-Release Strategy. ACS Appl. Mater. Interfaces 2021, 13, 29179–29186. [Google Scholar] [CrossRef]
- Umegaki, I.; Higuchi, Y.; Kondo, Y.; Ninomiya, K.; Takeshita, S.; Tampo, M.; Nakano, H.; Oka, H.; Sugiyama, J.; Kubo, M.K.; et al. Nondestructive High-Sensitivity Detections of Metallic Lithium Deposited on a Battery Anode Using Muonic X-Rays. Anal. Chem. 2020, 92, 8194–8200. [Google Scholar] [CrossRef]
- Tiihonen, T.E.; Nissinen, T.J.; Turhanen, P.A.; Vepsäläinen, J.J.; Riikonen, J.; Lehto, V.P. Real-Time On-Site Multielement Analysis of Environmental Waters with a Portable X-Ray Fluorescence (PXRF) System. Anal. Chem. 2022, 94, 11739–11744. [Google Scholar] [CrossRef]
- Gao, K.; Zhang, Z.; Ma, L.; Chen, L.; Chen, X.; Zhang, Y.; Zhang, M. Reversible Supramolecular Adhesives Formed by Metallacycle-Crosslinked Polymer Networks via Amino-yne Click Reaction. Giant 2020, 4, 100034. [Google Scholar] [CrossRef]
- Yang, L.; Sun, X.; Wei, D.; Ju, H.; Du, Y.; Ma, H.; Wei, Q. Aggregation-Induced Electrochemiluminescence Bioconjugates of Apoferritin-Encapsulated Iridium(III) Complexes for Biosensing Application. Anal. Chem. 2021, 93, 1553–1560. [Google Scholar] [CrossRef] [PubMed]
- Wu, C.; Sun, D.X.; Su, M.G.; Yin, Y.P.; Han, W.W.; Lu, Q.F.; Dong, C.Z. Quantitative Analysis of Pb in Soil Samples by Laser-Induced Breakdown Spectroscopy with a Simplified Standard Addition Method. J. Anal. At. Spectrom. 2019, 34, 1478–1484. [Google Scholar] [CrossRef]
- Hong, A.; Tang, Q.; Khan, A.U.; Miao, M.; Xu, Z.; Dang, F.; Liu, Q.; Wang, Y.; Lin, D.; Filser, J.; et al. Identification and Speciation of Nanoscale Silver in Complex Solid Matrices by Sequential Extraction Coupled with Inductively Coupled Plasma Optical Emission Spectrometry. Anal. Chem. 2021, 93, 1962–1968. [Google Scholar] [CrossRef]
- Gu, W.; Wang, X.; Wen, J.; Cao, S.; Jiao, L.; Wu, Y.; Wei, X.; Zheng, L.; Hu, L.; Zhang, L.; et al. Modulating Oxygen Reduction Behaviors on Nickel Single-Atom Catalysts to Probe the Electrochemiluminescence Mechanism at the Atomic Level. Anal. Chem. 2021, 93, 8663–8670. [Google Scholar] [CrossRef] [PubMed]
- Zhao, D.; Guo, X.; Wang, T.; Alvarez, N.; Shanov, V.N.; Heineman, W.R. Simultaneous Detection of Heavy Metals by Anodic Stripping Voltammetry Using Carbon Nanotube Thread. Electroanalysis 2014, 26, 488–496. [Google Scholar] [CrossRef]
- Ding, Q.; Cao, L.; Liu, M.; Lin, H.; Yang, D.P. Au Nanoparticle-Loaded Eggshell for Electrochemical Detection of Nitrite. RSC Adv. 2021, 11, 4112–4117. [Google Scholar] [CrossRef] [PubMed]
- Iannazzo, D.; Espro, C.; Ferlazzo, A.; Celesti, C.; Branca, C.; Neri, G. Electrochemical and Fluorescent Properties of Crown Ether Functionalized Graphene Quantum Dots for Potassium and Sodium Ions Detection. Nanomaterials 2021, 11, 2897. [Google Scholar] [CrossRef] [PubMed]
- Ramachandran, R.; Chen, T.-W.; Chen, S.-M.; Baskar, T.; Kannan, R.; Elumalai, P.; Raja, P.; Jeyapragasam, T.; Dinakaran, K.; Gnana kumar, G.p. A Review of the Advanced Developments of Electrochemical Sensors for the Detection of Toxic and Bioactive Molecules. Inorg. Chem. Front. 2019, 6, 3418–3439. [Google Scholar] [CrossRef]
- Abid, K.; Iannazzo, D.; Celesti, C.; Khaskhoussi, A.; Foti, A.; Maalej, R.; Gucciardi, P.G.; Neri, G. A Novel 2D-GO@WS2 Electrochemical Platform for the Determination of Thiram Fungicide. J. Environ. Sci. 2022, 136, 226–236. [Google Scholar] [CrossRef] [PubMed]
- Polykretis, P.; Matteini, P.; Iannazzo, D.; Maalej, R. A Study of Screen-Printed Electrodes Modified with MoSe2 and AuNPs-MoSe2 Nanosheets for Dopamine Sensing. Electrochim. Acta 2023, 475, 143371. [Google Scholar] [CrossRef]
- Michenzi, C.; Espro, C.; Bressi, V.; Celesti, C.; Vetica, F.; Salvitti, C.; Chiarotto, I. Electrochemical Bottom-up Synthesis of Biomass-Derived Carbon Dots for Promoting Knoevenagel Condensation. Mol. Catal. 2023, 544, 113182. [Google Scholar] [CrossRef]
- Ferlazzo, A.; Celesti, C.; Iannazzo, D.; Ampelli, C.; Giusi, D.; Costantino, V.; Neri, G. Functionalization of Carbon Nanofibers with an Aromatic Diamine: Toward a Simple Electrochemical-Based Sensing Platform for the Selective Sensing of Glucose. ACS Omega 2024, 9, 27085–27092. [Google Scholar] [CrossRef] [PubMed]
- Wang, Y.; Wang, L.; Huang, W.; Zhang, T.; Hu, X.; Perman, J.A.; Ma, S. A Metal-Organic Framework and Conducting Polymer Based Electrochemical Sensor for High Performance Cadmium Ion Detection. J. Mater. Chem. A 2017, 5, 8385–8393. [Google Scholar] [CrossRef]
- Rabiee, N.; Ahmadi, S.; Akhavan, O.; Luque, R. Silver and Gold Nanoparticles for Antimicrobial Purposes against Multi-Drug Resistance Bacteria. Materials 2022, 15, 1799. [Google Scholar] [CrossRef] [PubMed]
- Kjeldstad, T.; Thogersen, A.; Stange, M.; Azarov, A.; Monakhov, E.; Galeckas, A. Monitoring Selective Etching of Self-Assembled Nanostructured a-Si:Al Films. Nanotechnology 2019, 30, 135601. [Google Scholar] [CrossRef] [PubMed]
- WU, Q.; BI, H.M.; HAN, X.J. Research Progress of Electrochemical Detection of Heavy Metal Ions. Chin. J. Anal. Chem. 2021, 49, 330–340. [Google Scholar] [CrossRef]
- Singh, S.; Wang, J.; Cinti, S. Review—An Overview on Recent Progress in Screen-Printed Electroanalytical (Bio)Sensors. ECS Sens. Plus 2022, 1, 023401. [Google Scholar] [CrossRef]
- Kasera, N.; Kolar, P.; Hall, S.G. Nitrogen-Doped Biochars as Adsorbents for Mitigation of Heavy Metals and Organics from Water: A Review. Biochar 2022, 4, 17. [Google Scholar] [CrossRef]
- García-Miranda Ferrari, A.; Rowley-Neale, S.J.; Banks, C.E. Screen-Printed Electrodes: Transitioning the Laboratory in-to-the Field. Talanta Open 2021, 3, 100032. [Google Scholar] [CrossRef]
- Iannazzo, D.; Celesti, C.; Espro, C.; Ferlazzo, A.; Giofrè, S.V.; Scuderi, M.; Scalese, S.; Gabriele, B.; Mancuso, R.; Ziccarelli, I.; et al. Orange-Peel-Derived Nanobiochar for Targeted Cancer Therapy. Pharmaceutics 2022, 14, 2249. [Google Scholar] [CrossRef]
- Bressi, V.; Celesti, C.; Ferlazzo, A.; Len, T.; Moulaee, K.; Neri, G.; Luque, R.; Espro, C. Waste-Derived Carbon Nanodots for Fluorimetric and Simultaneous Electrochemical Detection of Heavy Metals in Water. Environ. Sci. Nano 2024, 13, 1245–1258. [Google Scholar] [CrossRef]
- Zamani, M.; Yang, V.; Maziashvili, L.; Fan, G.; Klapperich, C.M.; Furst, A.L. Surface Requirements for Optimal Biosensing with Disposable Gold Electrodes. ACS Meas. Sci. Au 2022, 2, 91–95. [Google Scholar] [CrossRef]
- Paimard, G.; Ghasali, E.; Baeza, M. Screen-Printed Electrodes: Fabrication, Modification, and Biosensing Applications. Chemosensors 2023, 11, 113. [Google Scholar] [CrossRef]
- Iannazzo, D.; Pistone, A.; Ziccarelli, I.; Espro, C.; Galvagno, S.; Giofré, S.V.; Romeo, R.; Cicero, N.; Bua, G.D.; Lanza, G.; et al. Removal of Heavy Metal Ions from Wastewaters Using Dendrimer-Functionalized Multi-Walled Carbon Nanotubes. Environ. Sci. Pollut. Res. 2017, 24, 14735–14747. [Google Scholar] [CrossRef] [PubMed]
- Sawan, S.; Maalouf, R.; Errachid, A.; Jaffrezic-Renault, N. Metal and Metal Oxide Nanoparticles in the Voltammetric Detection of Heavy Metals: A Review. TrAC—Trends Anal. Chem. 2020, 131, 116014. [Google Scholar] [CrossRef]
- Romeo, R.; Giofrè, S.V.; Carnovale, C.; Chiacchio, M.A.; Campisi, A.; Mancuso, R.; Cirmi, S.; Navarra, M. Synthesis and Biological Activity of Triazole-Appended N,O-Nucleosides. Eur. J. Org. Chem. 2014, 2014, 5442–5447. [Google Scholar] [CrossRef]
- Sánchez-Paniagua, M.; Palenzuela-Batista, S.; Manzanares-Palenzuela, C.L.; López-Ruiz, B. Electrochemical Genosensor for Klotho Detection Based on Aliphatic and Aromatic Thiols Self-Assembled Monolayers. Talanta 2020, 212, 120735. [Google Scholar] [CrossRef] [PubMed]
- Singhal, C.; Khanuja, M.; Chaudhary, N.; Pundir, C.S.; Narang, J. Detection of Chikungunya Virus DNA Using Two-Dimensional MoS2 Nanosheets Based Disposable Biosensor. Sci. Rep. 2018, 8, 7734. [Google Scholar] [CrossRef]
- Giofrè, S.V.; Romeo, R.; Carnovale, C.; Mancuso, R.; Cirmi, S.; Navarra, M.; Garozzo, A.; Chiacchio, M.A. Synthesis and Biological Properties of 5-(1H-1,2,3-Triazol-4-Yl)Isoxazolidines: A New Class of C-Nucleosides. Molecules 2015, 20, 5260–5275. [Google Scholar] [CrossRef]
- Hou, X.; Xiong, B.; Wang, Y.; Wang, L.; Wang, H. Determination of Trace Lead and Cadmium in Decorative Material Using Disposable Screen-Printed Electrode Electrically Modified with Reduced Graphene Oxide/L-cysteine/Bi-film. Sensors 2020, 20, 1322. [Google Scholar] [CrossRef]
- Niu, X.; Ding, Y.; Chen, C.; Zhao, H.; Lan, M. A Novel Electrochemical Biosensor for Hg2+ Determination Based on Hg2+-Induced DNA Hybridization. Sens. Actuators B Chem. 2011, 158, 383–387. [Google Scholar] [CrossRef]
- Dianat, S.; Hatefi-Mehrjardi, A.; Mahmoodzadeh, K.; Kakhki, S. Electrocatalytic Determination of Cd2+ and Pb2+ Using an L-Cysteine Tungstophosphate Self-Assembled Monolayer on a Polycrystalline Gold Electrode. New J. Chem. 2019, 43, 14417–14425. [Google Scholar] [CrossRef]
- Laschi, S.; Palchetti, I.; Mascini, M. Gold-Based Screen-Printed Sensor for Detection of Trace Lead. Sens. Actuators B Chem. 2006, 114, 460–465. [Google Scholar] [CrossRef]
- Wu, J.; Li, L.; Shen, B.; Cheng, G.; He, P.; Fang, Y. Polythymine Oligonucleotide-Modified Gold Electrode for Voltammetric Determination of Mercury(II) in Aqueous Solution. Electroanalysis 2010, 22, 479–482. [Google Scholar] [CrossRef]
- Li, W.; Jin, G.; Chen, H.; Kong, J. Highly Sensitive and Reproducible Cyclodextrin-Modified Gold Electrodes for Probing Trace Lead in Blood. Talanta 2009, 78, 717–722. [Google Scholar] [CrossRef]
- Zhou, L.; Xiong, W.; Liu, S. Preparation of a Gold Electrode Modified with Au–TiO2 Nanoparticles as an Electrochemical Sensor for the Detection of Mercury(II) Ions. J. Mater. Sci. 2014, 50, 769–776. [Google Scholar] [CrossRef]









| Electrodes | LOD (nM) | Linear Range (nM) | Analyte | Technique | Ref. |
|---|---|---|---|---|---|
| Screen-printed gold electrode | 0.6 | 10–10,000 | Hg2+ | CV | [65] |
| Au-(Cys)PW | 4.0 | 0.01–0.2 | Pb2+ | SWV | [66] |
| Screen-printed gold electrode | 500 | 0–50,000 | Pb2+ | SWASV | [67] |
| PTO/Au | 0.06 | 0.2–1 | Hg2+ | DPV | [68] |
| MCGE | 7.1 | 1.7–9.3 | Pb2+ | DPSV | [69] |
| Au–TiO2 NPs/Chit/gold-modified electrode | 1.0 | 5.0–400.0 | Hg2+ | DPSV | [70] |
| SPGE-N | 0.41 | 0–10 | Pb2+ | SWASV | This work |
| SPGE-P | 0.035 | 0–10 | Hg2+ | SWASV | This work |
| Modified Electrodes | Spiked (nM) | Found (nM) | Recovery (%) | RSD (%) |
|---|---|---|---|---|
| SPGE-N | 1 of Pb2+ | 1.16 of Pb2+ | 116.0 | 1.39 (n = 3) |
| SPGE-N | 3 of Pb2+ | 2.88 of Pb2+ | 96.0 | 1.85 (n = 3) |
| SPGE-N | 5 of Pb2+ | 6.61 of Pb2+ | 132.2 | 3.31 (n = 3) |
| SPGE-N | 10 of Pb2+ | 10.47 of Pb2+ | 104.7 | 1.28 (n = 3) |
| SPGE-P | 1 of Hg2+ | 0.93 of Hg2+ | 93.0 | 1.59 (n = 3) |
| SPGE-P | 3 of Hg2+ | 2.78 of Hg2+ | 92.6 | 2.11 (n = 3) |
| SPGE-P | 10 of Hg2+ | 10.43 of Hg2+ | 104.3 | 1.98 (n = 3) |
Disclaimer/Publisher’s Note: The statements, opinions and data contained in all publications are solely those of the individual author(s) and contributor(s) and not of MDPI and/or the editor(s). MDPI and/or the editor(s) disclaim responsibility for any injury to people or property resulting from any ideas, methods, instructions or products referred to in the content. |
© 2024 by the authors. Licensee MDPI, Basel, Switzerland. This article is an open access article distributed under the terms and conditions of the Creative Commons Attribution (CC BY) license (https://creativecommons.org/licenses/by/4.0/).
Share and Cite
Celesti, C.; Giofrè, S.V.; Espro, C.; Legnani, L.; Neri, G.; Iannazzo, D. Modified Gold Screen-Printed Electrodes for the Determination of Heavy Metals. Sensors 2024, 24, 4935. https://doi.org/10.3390/s24154935
Celesti C, Giofrè SV, Espro C, Legnani L, Neri G, Iannazzo D. Modified Gold Screen-Printed Electrodes for the Determination of Heavy Metals. Sensors. 2024; 24(15):4935. https://doi.org/10.3390/s24154935
Chicago/Turabian StyleCelesti, Consuelo, Salvatore Vincenzo Giofrè, Claudia Espro, Laura Legnani, Giovanni Neri, and Daniela Iannazzo. 2024. "Modified Gold Screen-Printed Electrodes for the Determination of Heavy Metals" Sensors 24, no. 15: 4935. https://doi.org/10.3390/s24154935
APA StyleCelesti, C., Giofrè, S. V., Espro, C., Legnani, L., Neri, G., & Iannazzo, D. (2024). Modified Gold Screen-Printed Electrodes for the Determination of Heavy Metals. Sensors, 24(15), 4935. https://doi.org/10.3390/s24154935

