Chipless RFID Sensor for Measuring Time-Varying Electric Fields Using a Contactless Air-Filled Substrate-Integrated Waveguide Resonator
Abstract
1. Introduction
2. Sensor Design and Fabrication
3. Measuring a Time-Varying Electric Field
3.1. Experimental Setup
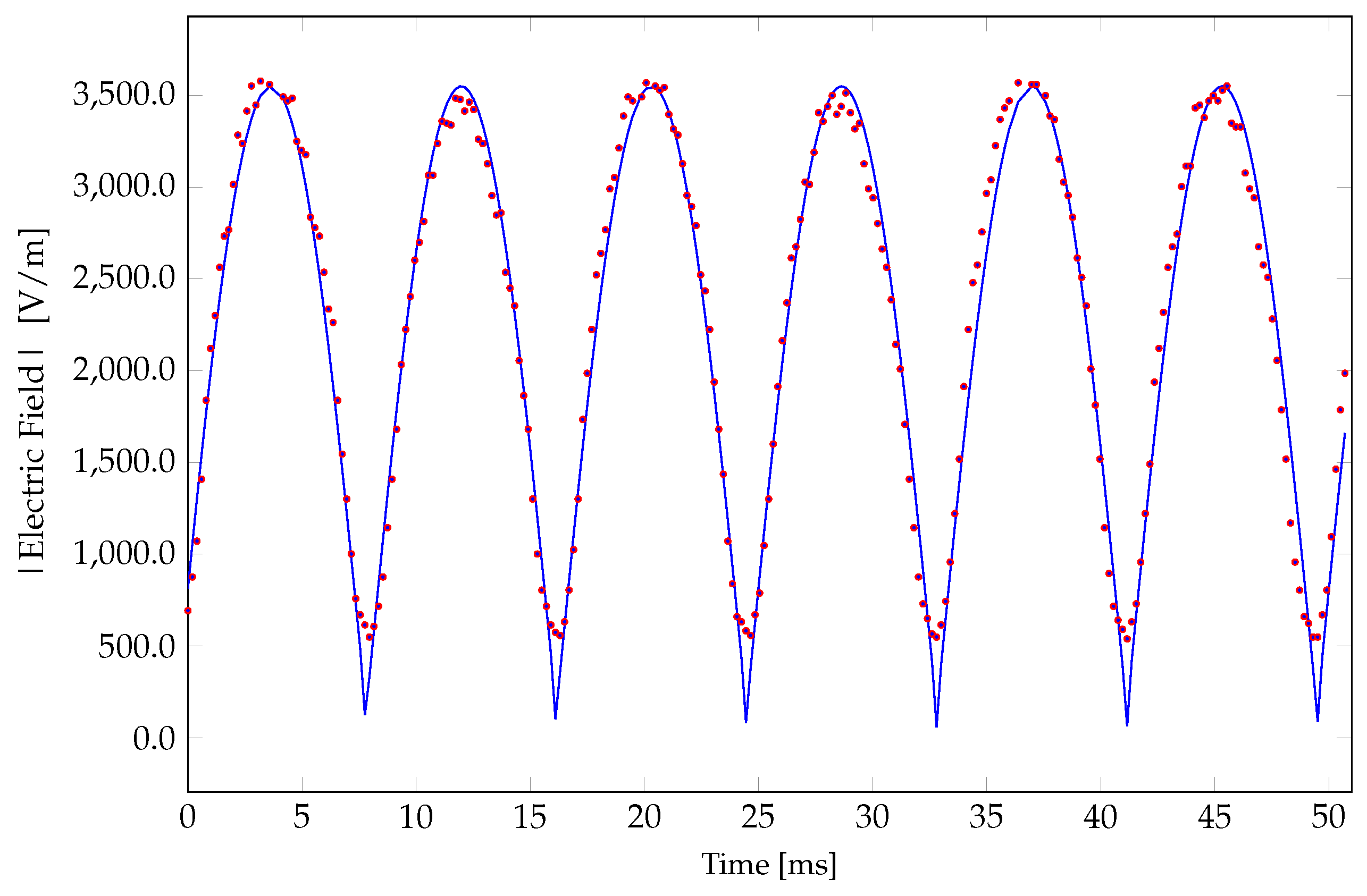
3.2. Measurement Results and Sensor Response
3.3. Performance Evaluation
4. Conclusions
Author Contributions
Funding
Institutional Review Board Statement
Informed Consent Statement
Data Availability Statement
Conflicts of Interest
References
- Huang, Q.A.; Dong, L.; Wang, L.F. LC Passive Wireless Sensors Toward a Wireless Sensing Platform: Status, Prospects, and Challenges. J. Microelectromech. Syst. 2016, 25, 822–841. [Google Scholar] [CrossRef]
- Islam, M.M.; Rasilainen, K.; Karki, S.K.; Viikari, V. Designing a Passive Retrodirective Wireless Sensor. IEEE Antennas Wirel. Propag. Lett. 2017, 16, 1739–1742. [Google Scholar] [CrossRef]
- Hallil, H.; Dejous, C.; Hage-Ali, S.; Elmazria, O.; Rossignol, J.; Stuerga, D.; Talbi, A.; Mazzamurro, A.; Joubert, P.Y.; Lefeuvre, E. Passive Resonant Sensors: Trends and Future Prospects. IEEE Sens. J. 2021, 21, 12618–12632. [Google Scholar] [CrossRef]
- Tan, Q.; Luo, T.; Wei, T.; Liu, J.; Lin, L.; Xiong, J. A Wireless Passive Pressure and Temperature Sensor via a Dual LC Resonant Circuit in Harsh Environments. J. Microelectromech. Syst. 2017, 26, 351–356. [Google Scholar] [CrossRef]
- Wen, H.; Chen, C.; Li, S.; Shi, Y.; Wang, H.; Guo, W.; Liu, X. Array Integration and Far-Field Detection of Biocompatible Wireless LC Pressure Sensors. Small Methods 2021, 5, 2001055. [Google Scholar] [CrossRef] [PubMed]
- Amirkabiri, A.; Idoko, D.; Kordi, B.; Bridges, G.E. High-Q Contactless Air-Filled Substrate-Integrated Waveguide (CLAF-SIW) Resonator for Wireless Sensing Applications. In Proceedings of the 2021 IEEE MTT-S International Microwave Symposium (IMS), Atlanta, GA, USA, 7–25 June 2021; pp. 577–580. [Google Scholar] [CrossRef]
- Bhadra, S.; Tan, D.S.Y.; Thomson, D.J.; Freund, M.S.; Bridges, G.E. A Wireless Passive Sensor for Temperature Compensated Remote pH Monitoring. IEEE Sens. J. 2013, 13, 2428–2436. [Google Scholar] [CrossRef]
- Athauda, T.; Chandra Karmakar, N. Review of RFID-based sensing in monitoring physical stimuli in smart packaging for food-freshness applications. Wirel. Power Transf. 2019, 6, 161–174. [Google Scholar] [CrossRef]
- Deng, W.; Wang, L.; Dong, L.; Huang, Q. Symmetric LC Circuit Configurations for Passive Wireless Multifunctional Sensors. J. Microelectromech. Syst. 2019, 28, 344–350. [Google Scholar] [CrossRef]
- Lin, Y.C.; Cai, M.X.; Yang, Y.J. A wireless passive pressure sensor using microstructured ferromagnetic films with tunable effective permeability. J. Micromech. Microeng. 2021, 31, 045017. [Google Scholar] [CrossRef]
- Dey, S.; Bhattacharyya, R.; Sarma, S.E.; Karmakar, N.C. A Novel “Smart Skin” Sensor for Chipless RFID-Based Structural Health Monitoring Applications. IEEE Internet Things J. 2021, 8, 3955–3971. [Google Scholar] [CrossRef]
- Yazdani, M.; Thomson, D.J.; Kordi, B. Passive Wireless Sensor for Measuring AC Electric Field in the Vicinity of High-Voltage Apparatus. IEEE Trans. Ind. Electron. 2016, 63, 4432–4441. [Google Scholar] [CrossRef]
- Amirkabiri, A.; Bridges, G.E.; Kordi, B. Resonator Substrate-Integrated Waveguide (SIW) Sensor for Measurement of AC Electric Fields. In Proceedings of the 2018 International Symposium on Electromagnetic Compatibility (EMC EUROPE), Amsterdam, The Netherlands, 27–30 August 2018; pp. 394–397. [Google Scholar] [CrossRef]
- Amirkabiri, A.; Idoko, D.; Bridges, G.E.; Kordi, B. Contactless Air-Filled Substrate-Integrated Waveguide (CLAF-SIW) Resonator for Wireless Passive Temperature Sensing. IEEE Trans. Microw. Theory Tech. 2022, 70, 3724–3731. [Google Scholar] [CrossRef]
- Zhang, G.; Tan, Q.; Lin, B.; Xiong, J. A Novel Temperature and Pressure Measuring Scheme Based on LC Sensor for Ultra-High Temperature Environment. IEEE Access 2019, 7, 162747–162755. [Google Scholar] [CrossRef]
- Patre, S.R. Passive Chipless RFID Sensors: Concept to Applications—A Review. IEEE J. Radio Freq. Identif. 2022, 6, 64–76. [Google Scholar] [CrossRef]
- Brinker, K.R.; Zoughi, R. A Review of Chipless RFID Measurement Methods, Response Detection Approaches, and Decoding Techniques. IEEE Open J. Instrum. Meas. 2022, 1, 8000331. [Google Scholar] [CrossRef]
- Subrahmannian, A.; Behera, S.K. Chipless RFID: A Unique Technology for Mankind. IEEE J. Radio Freq. Identif. 2022, 6, 151–163. [Google Scholar] [CrossRef]
- Mayani, M.G.; Herraiz-Martínez, F.J.; Domingo, J.M.; Giannetti, R. Resonator-Based Microwave Metamaterial Sensors for Instrumentation: Survey, Classification, and Performance Comparison. IEEE Trans. Instrum. Meas. 2021, 70, 9503414. [Google Scholar] [CrossRef]
- Behera, S.K.; Karmakar, N.C. Wearable Chipless Radio-Frequency Identification Tags for Biomedical Applications: A Review [Antenna Applications Corner]. IEEE Antennas Propag. Mag. 2020, 62, 94–104. [Google Scholar] [CrossRef]
- Zhu, L.; Hà, T.D.; Chen, Y.H.; Huang, H.; Chen, P.Y. A Passive Smart Face Mask for Wireless Cough Monitoring: A Harmonic Detection Scheme with Clutter Rejection. IEEE Trans. Biomed. Circuits Syst. 2022, 16, 129–137. [Google Scholar] [CrossRef]
- Subrahmannian, A.; Behera, S.K. Chipless RFID Sensors for IoT-Based Healthcare Applications: A Review of State of the Art. IEEE Trans. Instrum. Meas. 2022, 71, 8003920. [Google Scholar] [CrossRef]
- Zemljaric, B. Calculation of the Connected Magnetic and Electric Fields Around an Overhead-Line Tower for an Estimation of Their Influence on Maintenance Personnel. IEEE Trans. Power Deliv. 2011, 26, 467–474. [Google Scholar] [CrossRef]
- Thomson, D.J.; Card, D.; Bridges, G.E. RF Cavity Passive Wireless Sensors with Time-Domain Gating-Based Interrogation for SHM of Civil Structures. IEEE Sens. J. 2009, 9, 1430–1438. [Google Scholar] [CrossRef]
- Jiang, H.; Chang, Z.Y.; Pertijs, M.A.P. A 30 ppm < 80 nJ Ring-Down-Based Readout Circuit for Resonant Sensors. IEEE J. Solid-State Circuits 2016, 51, 187–195. [Google Scholar] [CrossRef]
- Ji, Y.; Tan, Q.; Wang, H.; Lv, W.; Dong, H.; Xiong, J. A Novel Surface LC Wireless Passive Temperature Sensor Applied in Ultra-High Temperature Measurement. IEEE Sens. J. 2019, 19, 105–112. [Google Scholar] [CrossRef]
- Yao, J.; Mbanya Tchafa, F.; Jain, A.; Tjuatja, S.; Huang, H. Far-Field Interrogation of Microstrip Patch Antenna for Temperature Sensing without Electronics. IEEE Sens. J. 2016, 16, 7053–7060. [Google Scholar] [CrossRef]
- Zhu, L.; Alkhaldi, N.; Kadry, H.M.; Liao, S.; Chen, P.Y. A Compact Hybrid-Fed Microstrip Antenna for Harmonics-Based Radar and Sensor Systems. IEEE Antennas Wirel. Propag. Lett. 2018, 17, 2444–2448. [Google Scholar] [CrossRef]
- Yao, W.; Lu, H.; Till, M.J.; Gao, W.; Liu, Y. Synchronized Wireless Measurement of High-Voltage Power System Frequency Using Mobile Embedded Systems. IEEE Trans. Ind. Electron. 2018, 65, 2775–2784. [Google Scholar] [CrossRef]
- Deslandes, D.; Wu, K. Single-substrate integration technique of planar circuits and waveguide filters. IEEE Trans. Microw. Theory Tech. 2003, 51, 593–596. [Google Scholar] [CrossRef]
- Ndoye, M.; Kerroum, I.; Deslandes, D.; Domingue, F. Air-filled substrate integrated cavity resonator for humidity sensing. Sens. Actuators B Chem. 2017, 252, 951–955. [Google Scholar] [CrossRef]
- Parment, F.; Ghiotto, A.; Vuong, T.; Duchamp, J.; Wu, K. Air-Filled Substrate Integrated Waveguide for Low-Loss and High Power-Handling Millimeter-Wave Substrate Integrated Circuits. IEEE Trans. Microw. Theory Tech. 2015, 63, 1228–1238. [Google Scholar] [CrossRef]
- Ghiotto, A.; Parment, F.; Martin, T.; Vuong, T.P.; Wu, K. Air-filled substrate integrated waveguide—A flexible and low loss technological platform. In Proceedings of the 2017 13th International Conference on Advanced Technologies, Systems and Services in Telecommunications (TELSIKS), Nis, Serbia, 18–20 October 2017; pp. 147–149. [Google Scholar] [CrossRef]
- Bayat-Makou, N.; Kishk, A.A. Contactless Air-Filled Substrate Integrated Waveguide. IEEE Trans. Microw. Theory Tech. 2018, 66, 2928–2935. [Google Scholar] [CrossRef]
- Zhao, X.F.; Deng, J.Y.; Yin, J.Y.; Sun, D.; Guo, L.X.; Ma, X.H.; Hao, Y. Novel Suspended-Line Gap Waveguide Packaged With Stacked-Mushroom EBG Structures. IEEE Trans. Microw. Theory Tech. 2021, 69, 2447–2457. [Google Scholar] [CrossRef]
- Zhao, X.; Yan, Z.; Fan, F.; Sun, D.; Wei, B.; Wang, E.; Zhu, H.; Dai, Y.; Liu, X. Contactless Air-Filled Substrate Integrated Cavity-Backed Slot Antenna Array with Improved Printed Ridge Gap Waveguide Feeding Network. IEEE Trans. Antennas Propag. 2024, 72, 221–233. [Google Scholar] [CrossRef]
- Segura-Gómez, C.; Pérez-Escribano, M.; Biedma-Pérez, A.; Palomares-Caballero, Á.; Padilla, P. Contactless AF-SIW phase shifters based on periodic structures at mmWaves. AEU-Int. J. Electron. Commun. 2024, 179, 155320. [Google Scholar] [CrossRef]
- Liu, C.; Tong, F. An SIW Resonator Sensor for Liquid Permittivity Measurements at C Band. IEEE Microw. Wirel. Compon. Lett. 2015, 25, 751–753. [Google Scholar] [CrossRef]
- Amirkabiri, A.; Idoko, D.; Bridges, G.; Kordi, B. Temperature Sensing Using Wireless Passive Contactless Air-Filled Substrate-Integrated Waveguide (CLAF-SIW). In Proceedings of the 2021 IEEE 19th International Symposium on Antenna Technology and Applied Electromagnetics (ANTEM), Winnipeg, MB, Canada, 8–11 August 2021; pp. 1–2. [Google Scholar] [CrossRef]
- Pozar, D.M. Microwave Engineering, 3rd ed.; J. Wiley: Hoboken, NJ, USA, 2005. [Google Scholar]














| Parameter | Label | Value (mm) |
|---|---|---|
| Width of Ground Plane | WG | |
| Length of Ground Plane | LG | |
| Width of Air Cavity | WC | |
| Length of Air Cavity | LC | |
| Sensing Patch Radius | RSP | |
| Sensing Patch Gap | GSP | |
| Mushroom Cell Length | LM | |
| Mushroom Cell Width | WM | |
| Mushroom Cell Via Radius | RM | |
| Mushroom Cell-Cell Gap | GM |
| Parameter | Value |
|---|---|
| Sensor operating Frequency | to (MHz) |
| Sensitivity to external electric field | (kHz)/(V/m) |
| Bandwidth of external E-Field | Low Frequency-25 kHz * |
| Dynamic Range of External E-field | up to 6.9 (kV/m) |
| Passive vs. Active | Passive |
| Demonstrated interrogation Distance | 80 cm |
| Sensor Form Factor | Conformal Thin Layer |
Disclaimer/Publisher’s Note: The statements, opinions and data contained in all publications are solely those of the individual author(s) and contributor(s) and not of MDPI and/or the editor(s). MDPI and/or the editor(s) disclaim responsibility for any injury to people or property resulting from any ideas, methods, instructions or products referred to in the content. |
© 2024 by the authors. Licensee MDPI, Basel, Switzerland. This article is an open access article distributed under the terms and conditions of the Creative Commons Attribution (CC BY) license (https://creativecommons.org/licenses/by/4.0/).
Share and Cite
Amirkabiri, A.; Idoko, D.; Kordi, B.; Bridges, G.E. Chipless RFID Sensor for Measuring Time-Varying Electric Fields Using a Contactless Air-Filled Substrate-Integrated Waveguide Resonator. Sensors 2024, 24, 4928. https://doi.org/10.3390/s24154928
Amirkabiri A, Idoko D, Kordi B, Bridges GE. Chipless RFID Sensor for Measuring Time-Varying Electric Fields Using a Contactless Air-Filled Substrate-Integrated Waveguide Resonator. Sensors. 2024; 24(15):4928. https://doi.org/10.3390/s24154928
Chicago/Turabian StyleAmirkabiri, Amirmasoud, Dawn Idoko, Behzad Kordi, and Greg E. Bridges. 2024. "Chipless RFID Sensor for Measuring Time-Varying Electric Fields Using a Contactless Air-Filled Substrate-Integrated Waveguide Resonator" Sensors 24, no. 15: 4928. https://doi.org/10.3390/s24154928
APA StyleAmirkabiri, A., Idoko, D., Kordi, B., & Bridges, G. E. (2024). Chipless RFID Sensor for Measuring Time-Varying Electric Fields Using a Contactless Air-Filled Substrate-Integrated Waveguide Resonator. Sensors, 24(15), 4928. https://doi.org/10.3390/s24154928

