Convolutional Block Attention Module–Multimodal Feature-Fusion Action Recognition: Enabling Miner Unsafe Action Recognition
Abstract
1. Introduction
2. Miner Action-Recognition Methods
2.1. General Architecture of Miner Action-Recognition Model
2.2. Image Enhancement Processing
2.3. Skeleton Modal Data Acquisition
2.4. Action-Recognition Model
2.4.1. Hybrid Attention Module
2.4.2. Construction of the CBAM-PoseC3D
2.4.3. Construction of the CBAM-MFFAR
3. Action-Recognition Experiments
3.1. Experimental Datasets
3.2. Action-Recognition Experimental Platform and Parameters
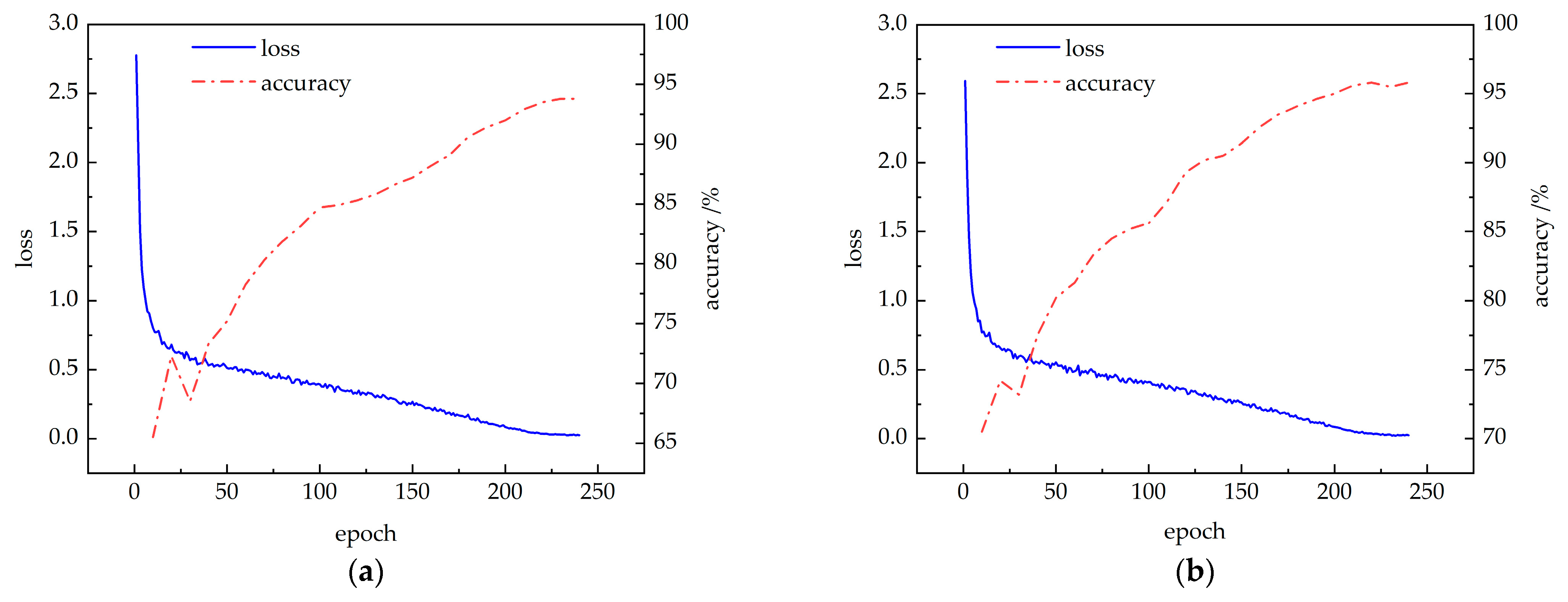
3.3. Experimental Results
3.3.1. Experimental Results Based on the NTU60 RGB+D Public Dataset
3.3.2. Experimental Results Based on the UAUM Dataset
3.4. Recognition Results of Miner Unsafe Action
4. Conclusions
Author Contributions
Funding
Institutional Review Board Statement
Informed Consent Statement
Data Availability Statement
Conflicts of Interest
References
- Zhang, J.; Xu, K.; Reniers, G.; You, G. Statistical analysis the characteristics of extraordinarily severe coal mine accidents (ESCMAs) in China from 1950 to 2018. Process Saf. Environ. Prot. 2020, 133, 332–340. [Google Scholar] [CrossRef]
- Cao, X.; Zhang, C.; Wang, P.; Wei, H.; Huang, S.; Li, H. Unsafe Mining Behavior Identification Method Based on an Improved ST-GCN. Sustainability 2023, 15, 1041. [Google Scholar] [CrossRef]
- Wang, G.; Ren, H.; Zhao, G.; Zhang, D.; Wen, Z.; Meng, L.; Gong, S. Research and practice of intelligent coal mine technology systems in China. Int. J. Coal Sci. Technol. 2022, 9, 24. [Google Scholar] [CrossRef]
- Wang, W.; Zhang, Y.; Sun, S.; Xiao, G. Design of mine safety dynamic diagnosis system based on cloud computing and internet of things technology. J. Intell. Fuzzy Syst. 2021, 40, 5837–5844. [Google Scholar] [CrossRef]
- Hao, Y.; Wu, Y.; Ranjith, P.G.; Zhang, K.; Zhang, H.; Chen, Y.; Li, M.; Li, P. New insights on ground control in intelligent mining with Internet of Things. Comput. Commun. 2020, 150, 788–798. [Google Scholar] [CrossRef]
- Li, J.; Zhan, K. Intelligent Mining Technology for an Underground Metal Mine Based on Unmanned Equipment. Engineering 2018, 4, 381–391. [Google Scholar] [CrossRef]
- Wang, X.; Zhang, C.; Deng, J.; Su, C.; Gao, Z. Analysis of Factors Influencing Miners’ Unsafe Behaviors in Intelligent Mines using a Novel Hybrid MCDM Model. Int. J. Environ. Res. Public Health 2022, 19, 7368. [Google Scholar] [CrossRef] [PubMed]
- Ben Mabrouk, A.; Zagrouba, E. Abnormal behavior recognition for intelligent video surveillance systems: A review. Expert Syst. Appl. 2018, 91, 480–491. [Google Scholar] [CrossRef]
- Zhang, H.-B.; Zhang, Y.-X.; Zhong, B.; Lei, Q.; Yang, L.; Du, J.-X.; Chen, D.-S. A Comprehensive Survey of Vision-Based Human Action Recognition Methods. Sensors 2019, 19, 1005. [Google Scholar] [CrossRef]
- Qian, H.; Zhou, X.; Zheng, M. Abnormal Behavior Detection and Recognition Method Based on Improved ResNet Model. Comput. Mater. Contin. 2020, 65, 2153–2167. [Google Scholar] [CrossRef]
- Guan, Y.; Hu, W.; Hu, X. Abnormal behavior recognition using 3D-CNN combined with LSTM. Multimed. Tools Appl. 2021, 80, 18787–18801. [Google Scholar] [CrossRef]
- Chen, B.; Wang, X.; Bao, Q.; Jia, B.; Li, X.; Wang, Y. An Unsafe Behavior Detection Method Based on Improved YOLO Framework. Electronics 2022, 11, 1912. [Google Scholar] [CrossRef]
- Yang, M.; Wu, C.; Guo, Y.; Jiang, R.; Zhou, F.; Zhang, J.; Yang, Z. Transformer-based deep learning model and video dataset for unsafe action identification in construction projects. Autom. Constr. 2023, 146, 104703. [Google Scholar] [CrossRef]
- Li, X.; Hao, T.; Li, F.; Zhao, L.; Wang, Z. Faster R-CNN-LSTM Construction Site Unsafe Behavior Recognition Model. Appl. Sci. 2023, 13, 10700. [Google Scholar] [CrossRef]
- Wen, T.; Wang, G.; Kong, X.; Liu, M.; BO, J. Identification of miners’ unsafe behaviors based on transfer learning and residual network. China Saf. Sci. J. 2020, 30, 41–46. [Google Scholar] [CrossRef]
- Shi, X.; Huang, J.; Huang, B. An Underground Abnormal Behavior Recognition Method Based on an Optimized Alphapose-ST-GCN. J. Circuits Syst. Comput. 2022, 31, 2250214. [Google Scholar] [CrossRef]
- Wang, Z.; Liu, Y.; Duan, S.; Pan, H. An efficient detection of non-standard miner behavior using improved YOLOv8. Comput. Electr. Eng. 2023, 112, 109021. [Google Scholar] [CrossRef]
- Wang, Z.; Liu, Y.; Yang, Y.; Duan, S. Dual-branch deep learning architecture enabling miner behavior recognition. Multimed. Tools Appl. 2024, 1–16. [Google Scholar] [CrossRef]
- Yao, W.; Wang, A.; Nie, Y.; Lv, Z.; Nie, S.; Huang, C.; Liu, Z. Study on the Recognition of Coal Miners’ Unsafe Behavior and Status in the Hoist Cage Based on Machine Vision. Sensors 2023, 23, 8794. [Google Scholar] [CrossRef]
- Feichtenhofer, C.; Fan, H.; Malik, J.; He, K. Slowfast networks for video recognition. In Proceedings of the IEEE/CVF International Conference on Computer Vision, Seoul, Republic of Korea, 27 October–2 November 2019; pp. 6202–6211. [Google Scholar] [CrossRef]
- Ge, Z.; Liu, S.; Wang, F.; Li, Z.; Sun, J. Yolox: Exceeding yolo series in 2021. arXiv 2021, arXiv:2107.08430. [Google Scholar] [CrossRef]
- Yu, C.; Xiao, B.; Gao, C.; Yuan, L.; Zhang, L.; Sang, N.; Wang, J. Lite-hrnet: A lightweight high-resolution network. In Proceedings of the IEEE/CVF Conference on Computer Vision and Pattern Recognition, Nashville, TN, USA, 20–25 June 2021; pp. 10440–10450. [Google Scholar] [CrossRef]
- Duan, H.; Zhao, Y.; Chen, K.; Lin, D.; Dai, B. Revisiting skeleton-based action recognition. In Proceedings of the IEEE/CVF Conference on Computer Vision and Pattern Recognition, New Orleans, LA, USA, 18–24 June 2022; pp. 2969–2978. [Google Scholar] [CrossRef]
- Rahman, S.; Rahman, M.M.; Abdullah-Al-Wadud, M.; Al-Quaderi, G.D.; Shoyaib, M. An adaptive gamma correction for image enhancement. EURASIP J. Image Video Process. 2016, 2016, 35. [Google Scholar] [CrossRef]
- Cheng, H.D.; Shi, X.J. A simple and effective histogram equalization approach to image enhancement. Digit. Signal Process. 2004, 14, 158–170. [Google Scholar] [CrossRef]
- Xu, J.; Ling, Y.; Zheng, X. Forensic detection of Gaussian low-pass filtering in digital images. In Proceedings of the 2015 8th International Congress on Image and Signal Processing (CISP), Shenyang, China, 14–16 October 2015; pp. 819–823. [Google Scholar] [CrossRef]
- Sun, K.; Xiao, B.; Liu, D.; Wang, J. Deep high-resolution representation learning for human pose estimation. In Proceedings of the IEEE/CVF Conference on Computer Vision and Pattern Recognition, Long Beach, CA, USA, 15–20 June 2019; pp. 5693–5703. [Google Scholar] [CrossRef]
- Ma, N.; Zhang, X.; Zheng, H.-T.; Sun, J. Shufflenet v2: Practical guidelines for efficient cnn architecture design. In Proceedings of the European Conference on Computer Vision (ECCV), Munich, Germany, 8–14 September 2018; pp. 116–131. [Google Scholar] [CrossRef]
- Woo, S.; Park, J.; Lee, J.-Y.; Kweon, I.S. Cbam: Convolutional block attention module. In Proceedings of the European Conference on Computer Vision (ECCV), Munich, Germany, 8–14 September 2018; pp. 3–19. [Google Scholar] [CrossRef]
- Shahroudy, A.; Liu, J.; Ng, T.-T.; Wang, G. Ntu rgb+ d: A large scale dataset for 3d human activity analysis. In Proceedings of the IEEE Conference on Computer Vision and Pattern Recognition, Las Vegas, NV, USA, 27–30 June 2016; pp. 1010–1019. [Google Scholar] [CrossRef]
- Yan, S.; Xiong, Y.; Lin, D. Spatial temporal graph convolutional networks for skeleton-based action recognition. In Proceedings of the AAAI Conference on Artificial Intelligence, New Orleans, LA, USA, 2–7 February 2018. [Google Scholar] [CrossRef]
- Shi, L.; Zhang, Y.; Cheng, J.; Lu, H. Two-stream adaptive graph convolutional networks for skeleton-based action recognition. In Proceedings of the IEEE/CVF Conference on Computer Vision and Pattern Recognition, Long Beach, CA, USA, 15–20 June 2019; pp. 12026–12035. [Google Scholar] [CrossRef]
















| Action Categories | Action Meanings |
|---|---|
| Smoking (SK) | Smoking in the work area. |
| Taking off helmet (TOH) | Taking off the helmet in the work area. |
| Taking off clothes (TOC) | Taking off work clothes in the work area. |
| Falling (FL) | Injury from a fall. |
| Lying down (LD) | Sleeping in the work area. |
| Running (RN) | Running and chasing in the operation process. |
| Kicking equipment (KE) | Illegal kicking of operational equipment. |
| Over fence (OF) | Climbing over the fence. |
| Climbing mine car (CMC) | Climbing the moving mine car |
| Fighting (FT) | Fighting and brawling |
| Experimental Parameters | Dataset | |
|---|---|---|
| NTU60 RGB+D | UAUM | |
| Initial learning rate in SGD | 0.2 | 0.1 |
| Weight decay | 0.0003 | 0.0001 |
| Momentum value | 0.9 | 0.9 |
| Batch size | 8 | 8 |
| Training rounds | 240 | 160 |
| Recognition Model | Accuracy/% |
|---|---|
| ST-GCN | 81.5 |
| 2S-AGCN | 88.5 |
| PoseC3D | 93.1 |
| CBAM-PoseC3D | 93.8 |
| CBAM-MFFAR | 95.8 |
| Method | Accuracy/% |
|---|---|
| Late fusion | 94.8 |
| Early fusion + Late fusion | 95.4 |
| CBAM + Late fusion | 95.2 |
| CBAM + Early fusion + Late fusion | 95.8 |
| Recognition Model | Accuracy/% |
|---|---|
| ST-GCN | 77.3 |
| 2S-AGCN | 82.6 |
| PoseC3D | 90.6 |
| CBAM-PoseC3D | 92.0 |
| CBAM-MFFAR | 94.6 |
Disclaimer/Publisher’s Note: The statements, opinions and data contained in all publications are solely those of the individual author(s) and contributor(s) and not of MDPI and/or the editor(s). MDPI and/or the editor(s) disclaim responsibility for any injury to people or property resulting from any ideas, methods, instructions or products referred to in the content. |
© 2024 by the authors. Licensee MDPI, Basel, Switzerland. This article is an open access article distributed under the terms and conditions of the Creative Commons Attribution (CC BY) license (https://creativecommons.org/licenses/by/4.0/).
Share and Cite
Wang, Y.; Chen, X.; Li, J.; Lu, Z. Convolutional Block Attention Module–Multimodal Feature-Fusion Action Recognition: Enabling Miner Unsafe Action Recognition. Sensors 2024, 24, 4557. https://doi.org/10.3390/s24144557
Wang Y, Chen X, Li J, Lu Z. Convolutional Block Attention Module–Multimodal Feature-Fusion Action Recognition: Enabling Miner Unsafe Action Recognition. Sensors. 2024; 24(14):4557. https://doi.org/10.3390/s24144557
Chicago/Turabian StyleWang, Yu, Xiaoqing Chen, Jiaoqun Li, and Zengxiang Lu. 2024. "Convolutional Block Attention Module–Multimodal Feature-Fusion Action Recognition: Enabling Miner Unsafe Action Recognition" Sensors 24, no. 14: 4557. https://doi.org/10.3390/s24144557
APA StyleWang, Y., Chen, X., Li, J., & Lu, Z. (2024). Convolutional Block Attention Module–Multimodal Feature-Fusion Action Recognition: Enabling Miner Unsafe Action Recognition. Sensors, 24(14), 4557. https://doi.org/10.3390/s24144557
