Progressive Inter-Path Interference Cancellation Algorithm for Channel Estimation Using Orthogonal Time–Frequency Space
Abstract
1. Introduction
1.1. Problem Context
1.2. State of the Art
1.3. Contributions
- Progressive IPI cancellation: Instead of discovering possible paths and performing refinements in each iteration maximizing the observation-based cost function as in [11], we perform maximization of a residue-based cost function (RCF) at each step during the discovery phase. This progressive cancellation of the IPI allows a first channel estimate to be provided, aiming to reduce the residue energy as iteration progress, achieving high accuracy in channel matrix reconstruction.
- Latency reduction due to single global refinement of the estimates: The main drawback of the state-of-the-art DDIPIC algorithm is that it performs refinement procedures at each iteration, as discussed in Section 3.5. Progressive IPI cancellation allows the latency to be reduced, since, as discussed above, the algorithm can operate in two distinct phases and a single global refinement is needed.
- Computational complexity reduction in search phase: During the iterative search phase, the proposed algorithm looks for new paths by performing a RCF maximization. This allows us to reduce the computational cost since the computation of the RCF does not require matrix inversion. Moreover, the computational cost does not depend on the iteration index. As a consequence, coarse and fine estimation procedures described in Section 3.4 will take less time.
- Resilience towards high-IPI scenarios: In the literature, it is commonly assumed to have sufficiently fine delay and Doppler resolutions such that all the propagation paths are resolvable in the DD domain. In some cases, this may not hold, and robust low-complexity channel estimation algorithms must be designed to suit high-IPI scenarios. In this work, we consider both low- and high-IPI regimes, showing that the proposed approach is suitable for both regimes.
2. OTFS Modulation
2.1. Transmitted Signal Model
2.2. Channel Model
2.3. Receiver Processing
3. OTFS Channel Estimation
3.1. Pilot Model
3.2. Observation Model for Channel Estimation
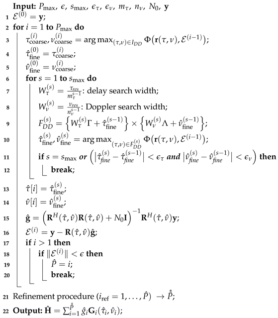
3.3. DDIPIC Algorithm
- Coarse estimation (line 2): The cost function in (19) is maximized over the DD grid of integer multiples of delay and Doppler resolutions, providing a coarse estimate of delay and Doppler shift. The search area is limited to , where and .
- Fine estimation (lines 5–11): An iterative procedure runs for a maximum of iterations to provide a better estimate of the off-grid DDs. In each iteration, the cost function in (19) is maximized over a search area comprising fractional delays and Dopplers around, for , the coarse estimate obtained in step 1 or, for , the fine estimate obtained in the previous iteration. The search space is narrowed down as the iteration progresses, reducing the delay and Doppler search widths (lines 6–7). The fine estimation procedure ends when the stopping criteria for and are met. The search space for the fine estimation procedure is called , and we define and where and are design parameters. Notice that after the Cartesian product (denoted ×) of the two sets, only positive delays need to be considered. The parameters and are chosen to achieve the desired accuracy compatibly with .
- Check stopping criterion (line 15–19): A residue vector is computed as and if is satisfied, the algorithm stops and a number of paths are detected; otherwise, before starting the search for a new path, all previous estimates are refined as described below. The convergence tolerance parameter for the stopping criterion must be chosen not to underestimate the number of propagation paths, not to miss those with smaller amplitudes, and not to overestimate the number of propagation paths due to residual IPI or noise. Since the noise is Gaussian, a reasonable value could be set taking into account the fact that the number of symbols per frame is , and the noise variance is , so that we have set its value to .
- Refinement procedure (line 20–21): All coarse and fine estimates are performed again for all the previously detected paths until the current one. In particular, at the i-th iteration, lines 2–13 are run again iteratively for .
| Algorithm 1: DDIPIC | 
|  | 
3.4. Proposed P-IPIC Algorithm
| Algorithm 2: Proposed P-IPIC | 
|  | 
- Coarse and fine estimation based on the residuals (lines 3 and 10): The key idea is that once a path is detected and the residue vector is obtained, during the next search, a new path is discovered looking at the residual pilot signal of the previous iteration. Thus, at the i-th iteration, the algorithm looks for a new path maximizing an RCF given byIn this way, at each iteration, the IPI between the paths is directly canceled, facilitating the new search.
- Global refinement (line 21): It is important to notice that this solution is prone to error propagation across all estimates. This may lead to residue vectors with residual peaks that are interpreted as small-amplitude paths by the algorithm. In order to avoid false alarms or multidetections due to residual uncancelled IPI, the P-IPIC algorithm needs a final refinement step in which all the estimates are refined while the residue in monitored. If the residue satisfies the stopping criterion, all remaining unrefined estimates are declared false alarms and, therefore, discarded. Specifically, during the search phase, a number of paths equal to is detected. After that, during the refinement phase the paths are refined as in the DDIPIC algorithm with the only difference in using the cost function in Equation (19) with a Tikhonov regularization, also known as ridge-regression, and in performing channel gain refinement as in line 15. As discussed above, during this phase some paths may be discarded. Therefore, the refinement procedure provides a number of estimated paths equal to . The number of paths detected during the search phase cannot be determined a priori but it is reasonable to assume that, if the IPI is not too large and the channel is made of a sufficiently high number of propagation paths, .
- Regularization (line 15): Another difference from the original version of the IPI cancellation algorithm is that the ordinary least squares (OLS) estimate of channel gains in Equation (18) is replaced by a regularized least squares (RLS) estimate to make the matrix inversion more stable. This is due to the fact that, due to residual IPI, some paths are detected multiple times, and as a result, the CDDPM matrix may have some almost collinear columns. Therefore, the RLS estimate of the channel gains vector is given bywhere is the identity matrix.
3.5. Latency/Complexity Comparison
- DDIPIC: This performs a coarse and fine estimation for every path in a time equal to . Moreover, from the second iteration to the end, it performs refinement procedures of the estimates. Therefore, at each refinement procedure, it performs i coarse and fine estimates.
- P-IPIC: This performs a coarse and fine estimation for every path in a time equal to during the search phase. Moreover, the refinement phase performs a second coarse and fine estimate for each path.
| Algorithm | Latency | 
|---|---|
| DDIPIC [11] | |
| P-IPIC (Prop.) | 
- DDIPIC cost function in (19): During the i-th iteration, the number of required operations is- (a)
- , , requires multiplications and additions. Then, is simply obtained applying the Hermitian operator.
- (b)
- requires multiplications and additions. After that, matrix inversion has a complexity in the order of .
- (c)
- requires multiplications and additions.
- (d)
- The matrix multiplication of the matrix obtained in the previous step by requires i multiplications and additions.
 
- P-IPIC RCF: during the i-th iteration, the number of required operations is- (a)
- ,, requires multiplications and additions. After that, an additional multiplication is needed to compute the squared module.
- (b)
- requires multiplications and additions.
- (c)
- One final division is required to compute the ratio between numerator and denominator.
 
| Cost Function | Equation (19) | RCF | 
|---|---|---|
| Multiplications | ||
| Additions | ||
| Total number of operations | 
4. Simulation Results
4.1. Simulation Parameters
4.2. Simulation Scenarios
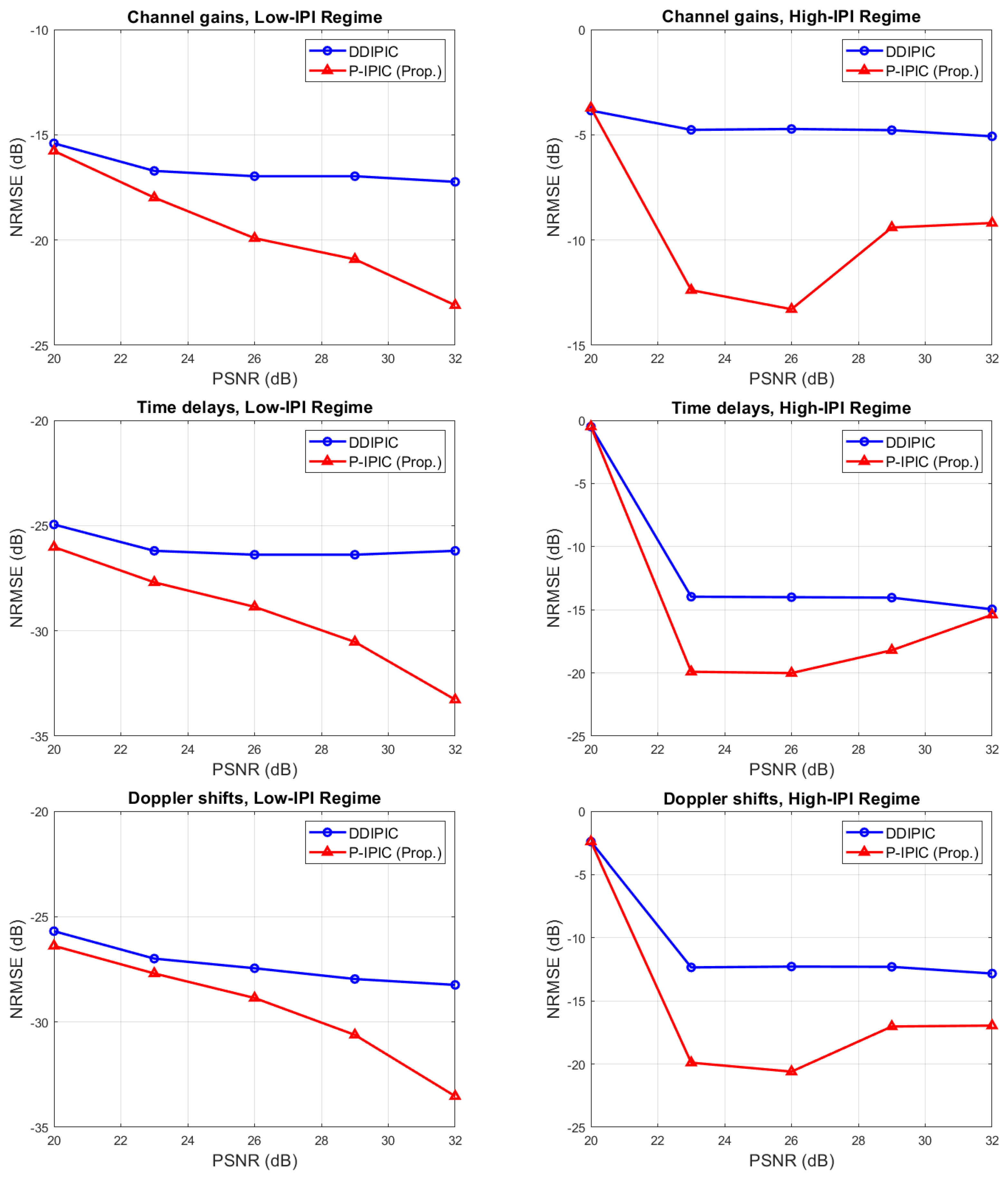
- Low-IPI Regime: Propagation delays and Doppler shifts assume fractional values but the paths are far enough to guarantee low IPI. Thus, all paths are separable in the DD domain.The delays and Doppler shifts of the paths are , , respectively.
- High-IPI Regime: Propagation delays and Doppler shifts assume fractional values, and the paths are close enough to create high IPI.The propagation delays of the paths are . The maximum user equipment (UE) speed is , resulting in a maximum Doppler spread of , where is the speed of light.The Doppler shifts of all paths are generated assuming Jakes’ Doppler power spectrum (DPS) using where .
4.3. Performance Metrics
- Channel estimation: The accuracy of the channel estimate is measured through the normalized mean square error (NMSE) computed as
- Channel parameter estimation: The accuracy of the channel parameter estimates is also considered evaluating the normalized root mean square error (NRMSE) aswhere is a variable that represents delay, Doppler, or channel gain.
- Model order performance: The estimation of P will be evaluated by the average number of estimated paths and the probability mass function (PMF) of the number of detected paths.
- Communication: Communication performance of the proposed approach are evaluated by measuring the bit error rate (BER) as a function of the SNR/bit in order to investigate for the detection robustness when real channel estimation with the proposed variant is performed at the receiver. The SNR/bit is given by where is the average energy per bit. We consider a quadrature amplitude modulation (QAM) with constellation points and . The input–output relation for data frames is the one in Equation (9). At the receiver, a linear minimum mean square error (LMMSE) equalizer provides the estimated symbols aswhere is the communication signal-to-noise ratio and is the average energy per symbol. After that, a symbol-by-symbol maximum likelihood (ML) detector takes the decision.
4.4. Results and Discussion
4.4.1. Channel Estimation Performance
4.4.2. Channel Parameter Estimation Performance
4.4.3. Number of Detected Paths
4.4.4. Communication Performance
5. Conclusions and Future Works
Author Contributions
Funding
Institutional Review Board Statement
Informed Consent Statement
Data Availability Statement
Acknowledgments
Conflicts of Interest
References
- Zhang, Z.; Xiao, Y.; Ma, Z.; Xiao, M.; Ding, Z.; Lei, X.; Karagiannidis, G.K.; Fan, P. 6G Wireless Networks: Vision, Requirements, Architecture, and Key Technologies. IEEE Veh. Technol. Mag. 2019, 14, 28–41. [Google Scholar] [CrossRef]
- Giordani, M.; Polese, M.; Mezzavilla, M.; Rangan, S.; Zorzi, M. Toward 6G Networks: Use Cases and Technologies. IEEE Commun. Mag. 2020, 58, 55–61. [Google Scholar] [CrossRef]
- Wang, T.; Proakis, J.; Masry, E.; Zeidler, J. Performance degradation of OFDM systems due to Doppler spreading. IEEE Trans. Wirel. Commun. 2006, 5, 1422–1432. [Google Scholar] [CrossRef]
- Zhou, Y.; Yin, H.; Xiong, J.; Song, S.; Zhu, J.; Du, J.; Chen, H.; Tang, Y. Overview and Performance Analysis of Various Waveforms in High Mobility Scenarios. arXiv 2023, arXiv:2302.14224. [Google Scholar] [CrossRef]
- Hadani, R.; Rakib, S.; Tsatsanis, M.; Monk, A.; Goldsmith, A.J.; Molisch, A.F.; Calderbank, R. Orthogonal Time Frequency Space Modulation. In Proceedings of the 2017 IEEE Wireless Communications and Networking Conference (WCNC), San Francisco, CA, USA, 19–22 March 2017; pp. 1–6. [Google Scholar] [CrossRef]
- Hadani, R.; Monk, A. OTFS: A New Generation of Modulation Addressing the Challenges of 5G. arXiv 2018, arXiv:1802.02623. [Google Scholar] [CrossRef]
- Hong, Y.; Thaj, T.; Viterbo, E. Delay-Doppler Communications: Principles and Applications; Elsevier: Amsterdam, The Netherlands, 2022. [Google Scholar] [CrossRef]
- Khan, I.A.; Mohammed, S.K. Low Complexity Channel Estimation for OTFS Modulation with Fractional Delay and Doppler. arXiv 2021, arXiv:2111.06009. [Google Scholar] [CrossRef]
- Zacharia, O.; Vani Devi, M. Fractional Delay and Doppler Estimation for OTFS Based ISAC Systems. In Proceedings of the 2023 IEEE Wireless Communications and Networking Conference (WCNC), Glasgow, UK, 26–29 March 2023; pp. 1–6. [Google Scholar] [CrossRef]
- Raviteja, P.; Phan, K.T.; Hong, Y. Embedded Pilot-Aided Channel Estimation for OTFS in Delay–Doppler Channels. IEEE Trans. Veh. Technol. 2019, 68, 4906–4917. [Google Scholar] [CrossRef]
- Muppaneni, S.P.; Mattu, S.R.; Chockalingam, A. Channel and Radar Parameter Estimation with Fractional Delay-Doppler Using OTFS. IEEE Commun. Lett. 2023, 27, 1392–1396. [Google Scholar] [CrossRef]
- Raviteja, P.; Phan, K.T.; Hong, Y.; Viterbo, E. Interference Cancellation and Iterative Detection for Orthogonal Time Frequency Space Modulation. IEEE Trans. Wirel. Commun. 2018, 17, 6501–6515. [Google Scholar] [CrossRef]
- Raviteja, P.; Phan, K.T.; Jin, Q.; Hong, Y.; Viterbo, E. Low-complexity iterative detection for orthogonal time frequency space modulation. In Proceedings of the 2018 IEEE Wireless Communications and Networking Conference (WCNC), Barcelona, Spain, 15–18 April 2018; pp. 1–6. [Google Scholar] [CrossRef]
- Tiwari, S.; Das, S.S.; Rangamgari, V. Low complexity LMMSE Receiver for OTFS. IEEE Commun. Lett. 2019, 23, 2205–2209. [Google Scholar] [CrossRef]
- Surabhi, G.D.; Chockalingam, A. Low-Complexity Linear Equalization for OTFS Modulation. IEEE Commun. Lett. 2020, 24, 330–334. [Google Scholar] [CrossRef]
- Shen, W.; Dai, L.; An, J.; Fan, P.; Heath, R.W. Channel Estimation for Orthogonal Time Frequency Space (OTFS) Massive MIMO. IEEE Trans. Signal Process. 2019, 67, 4204–4217. [Google Scholar] [CrossRef]
- Zhang, R.; Cheng, L.; Wang, S.; Lou, Y.; Wu, W.; Ng, D.W.K. Tensor Decomposition-Based Channel Estimation for Hybrid mmWave Massive MIMO in High-Mobility Scenarios. IEEE Trans. Commun. 2022, 70, 6325–6340. [Google Scholar] [CrossRef]
- Zhang, R.; Cheng, L.; Wang, S.; Lou, Y.; Gao, Y.; Wu, W.; Ng, D.W.K. Integrated Sensing and Communication with Massive MIMO: A Unified Tensor Approach for Channel and Target Parameter Estimation. IEEE Trans. Wirel. Commun. 2024. [Google Scholar] [CrossRef]
- Wu, X.; Ma, S.; Yang, X. Tensor-based low-complexity channel estimation for mmWave massive MIMO-OTFS systems. J. Commun. Inf. Netw. 2020, 5, 324–334. [Google Scholar] [CrossRef]
- Yogesh, V.; Mattu, S.R.; Chockalingam, A. Low-Complexity Delay-Doppler Channel Estimation in Discrete Zak Transform Based OTFS. IEEE Commun. Lett. 2024, 28, 672–676. [Google Scholar] [CrossRef]
- Zhao, L.; Gao, W.J.; Guo, W. Sparse Bayesian Learning of Delay-Doppler Channel for OTFS System. IEEE Commun. Lett. 2020, 24, 2766–2769. [Google Scholar] [CrossRef]
- Wei, Z.; Yuan, W.; Li, S.; Yuan, J.; Ng, D.W.K. Off-Grid Channel Estimation with Sparse Bayesian Learning for OTFS Systems. IEEE Trans. Wirel. Commun. 2022, 21, 7407–7426. [Google Scholar] [CrossRef]
- Sheng, H.T.; Wu, W.R. Time-Frequency Domain Channel Estimation for OTFS Systems. IEEE Trans. Wirel. Commun. 2024, 23, 937–948. [Google Scholar] [CrossRef]
- Mattu, S.R.; Chockalingam, A. Learning in Time-Frequency Domain for Fractional Delay-Doppler Channel Estimation in OTFS. IEEE Wirel. Commun. Lett. 2024, 13, 1245–1249. [Google Scholar] [CrossRef]






| Disclaimer/Publisher’s Note: The statements, opinions and data contained in all publications are solely those of the individual author(s) and contributor(s) and not of MDPI and/or the editor(s). MDPI and/or the editor(s) disclaim responsibility for any injury to people or property resulting from any ideas, methods, instructions or products referred to in the content. | 
© 2024 by the authors. Licensee MDPI, Basel, Switzerland. This article is an open access article distributed under the terms and conditions of the Creative Commons Attribution (CC BY) license (https://creativecommons.org/licenses/by/4.0/).
Share and Cite
Marchese, M.; Wymeersch, H.; Spallaccini, P.; Savazzi, P. Progressive Inter-Path Interference Cancellation Algorithm for Channel Estimation Using Orthogonal Time–Frequency Space. Sensors 2024, 24, 4414. https://doi.org/10.3390/s24134414
Marchese M, Wymeersch H, Spallaccini P, Savazzi P. Progressive Inter-Path Interference Cancellation Algorithm for Channel Estimation Using Orthogonal Time–Frequency Space. Sensors. 2024; 24(13):4414. https://doi.org/10.3390/s24134414
Chicago/Turabian StyleMarchese, Mauro, Henk Wymeersch, Paolo Spallaccini, and Pietro Savazzi. 2024. "Progressive Inter-Path Interference Cancellation Algorithm for Channel Estimation Using Orthogonal Time–Frequency Space" Sensors 24, no. 13: 4414. https://doi.org/10.3390/s24134414
APA StyleMarchese, M., Wymeersch, H., Spallaccini, P., & Savazzi, P. (2024). Progressive Inter-Path Interference Cancellation Algorithm for Channel Estimation Using Orthogonal Time–Frequency Space. Sensors, 24(13), 4414. https://doi.org/10.3390/s24134414
 
        

 
       