Wavelet Transforms Significantly Sparsify and Compress Tactile Interactions
Abstract
1. Introduction
2. Methods
2.1. High-Density Tactile Dataset
2.2. Discrete Wavelet Transform
| Algorithm 1. Sparsifying Survey |
| Input: sensor data D, candidate wavelet transform W, desired NMSE Output: sparsity, NBP, ER, x_recon 1: Apply transform W to D → obtain wavelet_rep 2: while NMSE is not reached 3: sparse_rep = Q * fix(wavelet_rep/Q) 4: x_recon = waverec(sparse_rep) //recover x 5: Calculate NMSE between x_recon and D 6: Check if NMSE is too big or too small 7: Adjust Q using binary search method 8: end 9: Calculate sparsity of sparse_rep 10: Calculate average number of bits per pixel (NBP) of x_recon 11: Calculate energy ratio (ER) between sparse_rep and wavelet_rep |
3. Results
- (1)
- Tabular Summary of Results. We present key measurements from our testing, namely the top performing wavelets in sparsity, compression, and energy-retainment sense for each dimensional transform tested (1D/2D/3D). Additionally, 1D/2D/3D DCT is presented as a comparison in the table.
- (2)
- Compactness of Wavelet Representation. We present the efficiency of wavelet representations of tactile data by investigating the importance of a few, large-magnitude wavelet coefficients on producing accurate reconstructions. We also present the ranking order of these coefficients and the compactness among the top-performing transforms.
- (3)
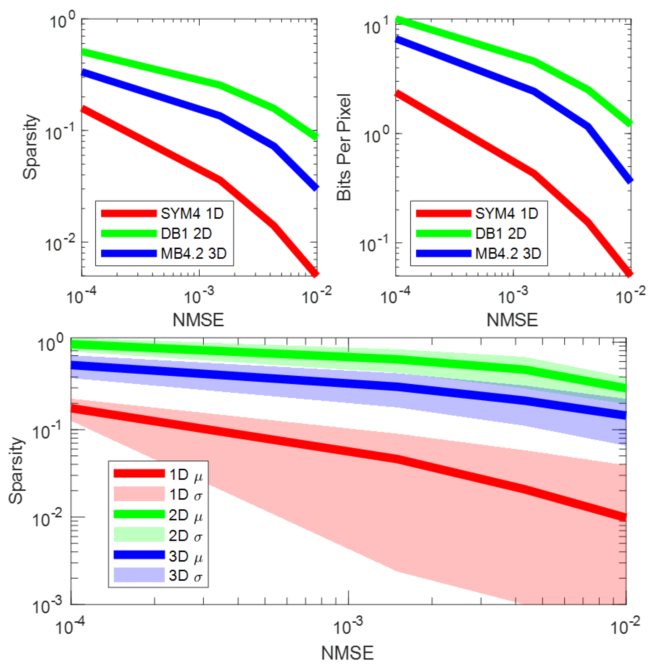
- Sparsity of Wavelet Representation. We present the sparsity of each candidate wavelet transform tested and highlight the effect of dimensionality on average. Additionally, we show aggregate results across different NMSE values and highlight the top performers in each dimension.
- (4)
- Effect of Dimensionality on Spatiotemporal Error. We highlight the differences in spatial and temporal errors that result when evaluating the wavelet transform temporally (1D), spatially (2D), and spatiotemporally (3D).
- (5)
- Spatiotemporal Reconstruction of Tactile Data. Building on the effect of dimensionality, we present a reconstruction of tactile data using the compressed wavelet representations after evaluating the different dimensionality transforms. Temporal and spatial plots are shown emphasizing the different effects of each transform dimension.
- (6)
- Effect of Filter Size on Reconstruction Error and Sparsity. We present the evolving dependence of filter size on reconstruction error and sparsity. We highlight how the size of the sparsest wavelets changes depending on the desired reconstruction error.
- (7)
- Similarity of Scaling Functions to Tactile Data. Lastly, we present the similarity between the best performing wavelets and the grand-average tactile interaction. Furthermore, we show how similarity evolves for different reconstruction fidelities.
- (1)
- Wavelet transforms produce compact and highly sparse representations (up to 0.5%) of tactile interactions with high compressibility (average of 0.04 bits per pixel). The Symlets 4 wavelet applied in 1D produces the sparsest representation of tactile data in coarse approximations, and Biorthogonal 6.8 produces the sparsest representations for high-accuracy reconstructions.
- (2)
- Evaluating the wavelet transform temporally (1D) produces much sparser representations than evaluating the wavelet transform spatially (2D); and evaluating the wavelet transform spatiotemporally (3D) lies in between. However, when focusing on temporal or spatial representations, the other will have sporadic occurring errors.
- (3)
- The size of the 1D wavelet filter impacts the reconstruction error, and larger wavelets produce sparser representations when high accuracy is desired. Conversely, to yield approximate reconstructions, shorter wavelet filters produce sparser representations.
- (4)
- Highly sparsifying wavelets share visual similarity to temporal tactile data.
4. Discussion
5. Conclusions
Author Contributions
Funding
Institutional Review Board Statement
Informed Consent Statement
Data Availability Statement
Acknowledgments
Conflicts of Interest
References
- Sagisaka, T.; Ohmura, Y.; Kuniyoshi, Y.; Nagakubo, A.; Ozaki, K. High-Density Conformable Tactile Sensing Glove. In Proceedings of the 2011 11th IEEE-RAS International Conference on Humanoid Robots, Bled, Slovenia, 26–28 October 2011; pp. 537–542. [Google Scholar]
- Sundaram, S.; Kellnhofer, P.; Li, Y.; Zhu, J.-Y.; Torralba, A.; Matusik, W. Learning the Signatures of the Human Grasp Using a Scalable Tactile Glove. Nature 2019, 569, 698–702. [Google Scholar] [CrossRef] [PubMed]
- Ward-Cherrier, B.; Pestell, N.; Lepora, N.F. NeuroTac: A Neuromorphic Optical Tactile Sensor Applied to Texture Recognition. In Proceedings of the 2020 IEEE International Conference on Robotics and Automation (ICRA), Paris, France, 31 May–31 August 2020; pp. 2654–2660. [Google Scholar]
- Funabashi, S.; Morikuni, S.; Geier, A.; Schmitz, A.; Ogasa, S.; Torno, T.P.; Somlor, S.; Sugano, S. Object Recognition Through Active Sensing Using a Multi-Fingered Robot Hand with 3D Tactile Sensors. In Proceedings of the 2018 IEEE/RSJ International Conference on Intelligent Robots and Systems (IROS), Madrid, Spain, 1–5 October 2018; pp. 2589–2595. [Google Scholar]
- Hollis, B.; Patterson, S.; Trinkle, J. Compressed Learning for Tactile Object Recognition. IEEE Robot. Autom. Lett. 2018, 3, 1616–1623. [Google Scholar] [CrossRef]
- Aygun, L.E.; Kumar, P.; Zheng, Z.; Chen, T.-S.; Wagner, S.; Sturm, J.C.; Verma, N. Hybrid LAE-CMOS Force-Sensing System Employing TFT-Based Compressed Sensing for Scalability of Tactile Sensing Skins. IEEE Trans. Biomed. Circuits Syst. 2019, 13, 1264–1276. [Google Scholar] [CrossRef] [PubMed]
- Baraniuk, R.G.; Candes, E.; Elad, M.; Ma, Y. Applications of Sparse Representation and Compressive Sensing [Scanning the Issue]. Proc. IEEE 2010, 98, 906–909. [Google Scholar] [CrossRef]
- Shao, L.; Lei, T.; Huang, T.-C.; Bao, Z.; Cheng, K.-T. Robust Design of Large Area Flexible Electronics via Compressed Sensing. In Proceedings of the 2020 57th ACM/IEEE Design Automation Conference (DAC), San Francisco, CA, USA, 20–24 July 2020; pp. 1–6. [Google Scholar]
- Hollis, B. Compressed Sensing for Scalable Robotic Tactile Skins. Ph.D. Thesis, Rensselaer Polytechnic Institute, Troy, NY, USA, 2018. [Google Scholar]
- Ravishankar, S.; Wen, B.; Bresler, Y. Online Sparsifying Transform Learning—Part I: Algorithms. IEEE J. Sel. Top. Signal Process. 2015, 9, 625–636. [Google Scholar] [CrossRef]
- Aghagolzadeh, M.; Oweiss, K. Compressed and Distributed Sensing of Neuronal Activity for Real Time Spike Train Decoding. IEEE Trans. Neural Syst. Rehabil. Eng. 2009, 17, 116–127. [Google Scholar] [CrossRef] [PubMed][Green Version]
- Lee, W.W.; Kukreja, S.L.; Thakor, N.V. A Kilohertz Kilotaxel Tactile Sensor Array for Investigating Spatiotemporal Features in Neuromorphic Touch. In Proceedings of the 2015 IEEE Biomedical Circuits and Systems Conference (BioCAS), Atlanta, GA, USA, 22–24 October 2015; pp. 1–4. [Google Scholar]
- Ngui, W.K.; Leong, M.S.; Hee, L.M.; Abdelrhman, A.M. Wavelet Analysis: Mother Wavelet Selection Methods. Appl. Mech. Mater. 2013, 393, 953–958. [Google Scholar] [CrossRef]
- Lee, W.W.; Kukreja, S.L.; Thakor, N.V. Discrimination of Dynamic Tactile Contact by Temporally Precise Event Sensing in Spiking Neuromorphic Networks. Front. Neurosci. 2017, 11, 5. [Google Scholar] [CrossRef] [PubMed]
- Liao, H.; Mandal, M.K.; Cockburn, B.F. Efficient Architectures for 1-D and 2-D Lifting-Based Wavelet Transforms. IEEE Trans. Signal Process. 2004, 52, 1315–1326. [Google Scholar] [CrossRef]
- Mathworks Wavelet Toolbox. Version: 6.2 (R2022b). 2022. Available online: https://www.mathworks.com/products/wavelet.html (accessed on 20 May 2024).
- Donoho, D.L. De-Noising by Soft-Thresholding. IEEE Trans. Inform. Theory 1995, 41, 613–627. [Google Scholar] [CrossRef]
- Oraintara, S.; Tran, T.D.; Nguyen, T.Q. A Class of Regular Biorthogonal Linear-Phase Filterbanks: Theory, Structure, and Application in Image Coding. IEEE Trans. Signal Process. 2003, 51, 3220–3235. [Google Scholar] [CrossRef]
- Guo, T.; Zhang, T.; Lim, E.; Lopez-Benitez, M.; Ma, F.; Yu, L. A Review of Wavelet Analysis and Its Applications: Challenges and Opportunities. IEEE Access 2022, 10, 58869–58903. [Google Scholar] [CrossRef]












| Dimension DWT | Ranking | Sparsity | Bits per Pixel | Energy Ratio | |||
|---|---|---|---|---|---|---|---|
| Value | Name | Value | Name | Value | Name | ||
| 1D DWT | 1 | 0.00497 | ‘sym4’ | 0.040618 | ‘db2’ | 1 | ‘bior3.1’ |
| 2 | 0.00508 | ‘db2’ | 0.040618 | ‘sym2’ | 0.985 | ‘rbio3.1’ | |
| 3 | 0.00508 | ‘mb4.2’ | 0.040619 | ‘mb4.2’ | 0.971 | ‘bior3.3’ | |
| 4 | 0.00508 | ‘sym2’ | 0.043318 | ‘bior1.1’ | 0.97 | ‘dmey’ | |
| 5 | 0.00511 | ‘bior2.4’ | 0.043318 | ‘db1’ | 0.962 | ‘vaid’ | |
| 1D DCT | 0.01693 | ‘DCT’ | 0.135513 | ‘DCT’ | 0.7985 | ‘DCT’ | |
| 2D DWT | 1 | 0.086048 | ‘db1’ | 1.204673 | ‘db1’ | 0.965 | ‘bior3.1’ |
| 2 | 0.086048 | ‘bior1.1’ | 1.204673 | ‘bior1.1’ | 0.951 | ‘rbio3.1’ | |
| 3 | 0.086048 | ‘rbio1.1’ | 1.204673 | ‘rbio1.1’ | 0.878 | ‘bior3.3’ | |
| 4 | 0.121297 | ‘fk4’ | 1.698156 | ‘fk4’ | 0.877 | ‘rbio3.3’ | |
| 5 | 0.127758 | ‘mb4.2’ | 2.044125 | ‘mb4.2’ | 0.868 | ‘fk4’ | |
| 2D DCT | 0.13654 | ‘DCT’ | 0.955781 | ‘DCT’ | 0.8567 | ‘DCT’ | |
| 3D DWT | 1 | 0.0298 | ‘mb4.2’ | 0.357712 | ‘mb4.2’ | 0.977 | ‘bior3.1’ |
| 2 | 0.0299 | ‘db2’ | 0.358703 | ‘db2’ | 0.977 | ‘rbio3.1’ | |
| 3 | 0.0299 | ‘sym2’ | 0.358703 | ‘sym2’ | 0.905 | ‘rbio3.3’ | |
| 4 | 0.0304 | ‘bior1.1’ | 0.419103 | ‘fk4’ | 0.895 | ‘fk4’ | |
| 5 | 0.0304 | ‘db1’ | 0.425066 | ‘bior1.1’ | 0.891 | ‘bior3.3’ | |
| 3D DCT | 0.0193 | ‘DCT’ | 0.232131 | ‘DCT’ | 0.915 | ‘DCT’ | |
Disclaimer/Publisher’s Note: The statements, opinions and data contained in all publications are solely those of the individual author(s) and contributor(s) and not of MDPI and/or the editor(s). MDPI and/or the editor(s) disclaim responsibility for any injury to people or property resulting from any ideas, methods, instructions or products referred to in the content. |
© 2024 by the authors. Licensee MDPI, Basel, Switzerland. This article is an open access article distributed under the terms and conditions of the Creative Commons Attribution (CC BY) license (https://creativecommons.org/licenses/by/4.0/).
Share and Cite
Slepyan, A.; Zakariaie, M.; Tran, T.; Thakor, N. Wavelet Transforms Significantly Sparsify and Compress Tactile Interactions. Sensors 2024, 24, 4243. https://doi.org/10.3390/s24134243
Slepyan A, Zakariaie M, Tran T, Thakor N. Wavelet Transforms Significantly Sparsify and Compress Tactile Interactions. Sensors. 2024; 24(13):4243. https://doi.org/10.3390/s24134243
Chicago/Turabian StyleSlepyan, Ariel, Michael Zakariaie, Trac Tran, and Nitish Thakor. 2024. "Wavelet Transforms Significantly Sparsify and Compress Tactile Interactions" Sensors 24, no. 13: 4243. https://doi.org/10.3390/s24134243
APA StyleSlepyan, A., Zakariaie, M., Tran, T., & Thakor, N. (2024). Wavelet Transforms Significantly Sparsify and Compress Tactile Interactions. Sensors, 24(13), 4243. https://doi.org/10.3390/s24134243
