Stress Wave Propagation in a Rayleigh–Love Rod with Sudden Cross-Sectional Area Variations Impacted by a Striker Rod
Abstract
1. Introduction
2. Analysis of Stress Wave Propagation in a Rayleigh–Love Rod with Sudden Cross-Sectional Area Variations
2.1. Stress Wave Propagation in a Rod
2.2. Analysis of Rayleigh–Love Rod Impacted by a Striker Rod
3. Examples
3.1. Example 1: Study of the Stress Wave Propagation in a Rod with A1 ≤ A2
3.1.1. Verification of the Analytical Solution from Equations (21)–(25) with the FEM Solution
3.1.2. Investigation of Stress Wave Propagation in a Rod at Various Positions
3.2. Example 2: Analysis of the Signal Obtained for the Rod Where A1 ≥ A2
4. Identification of the Locations of Sudden Cross-Sectional Area Change in the Rod
4.1. Reflection and Transmission of Stress Wave in a Rod with Single Sudden Cross-Sectional Area Variation
4.1.1. Developing a Formula to Determine the Damaged Zone
4.1.2. Examples: Determination of Cross-Sectional Area A2 and Length L1 Based on Signals Obtained with Changing Cross-Sectional Area Ratios and Impact Velocities
- Case A: Cross-sectional area ratio A2/A1 = 5
- 2.
- Case B: Cross-sectional area ratio A2/A1 = 0.2
- 3.
- Case C: Influences of different impact velocities and striker lengths on the characteristics of response signals
4.2. Reflection and Transmission of Stress Wave in a Rod with Double Sudden Cross-Sectional Area Variations
- First, use a striker rod with a length of L to impact the semi-infinite rod with an initial velocity of 2v0 to generate a stress wave propagating in the rod.
- Place a strain sensor at position x = Ls on the semi-infinite rod to receive the deformation signal generated by the striker rod.
- The first part of the signal received at position x = Ls is the incident stress, with a peak stress value of and a duration of . The wave then oscillates around zero.
- The second part of the signal obtained is the reflected stress and a time interval from the first stress peak to the second stress peak of t1. From this signal, A2 and L1 can be determined as follows: the first peak incident stress is , and the first peak reflected stress is , leading to a reflected ratio of . Figure 15 shows the corresponding cross-sectional area ratio (or A2 = αA1). The received signal of the reflected stress at t1 corresponds to Lm in Figure 15. The location of the first cross-sectional area variation, L1, is calculated as Lm + Ls.
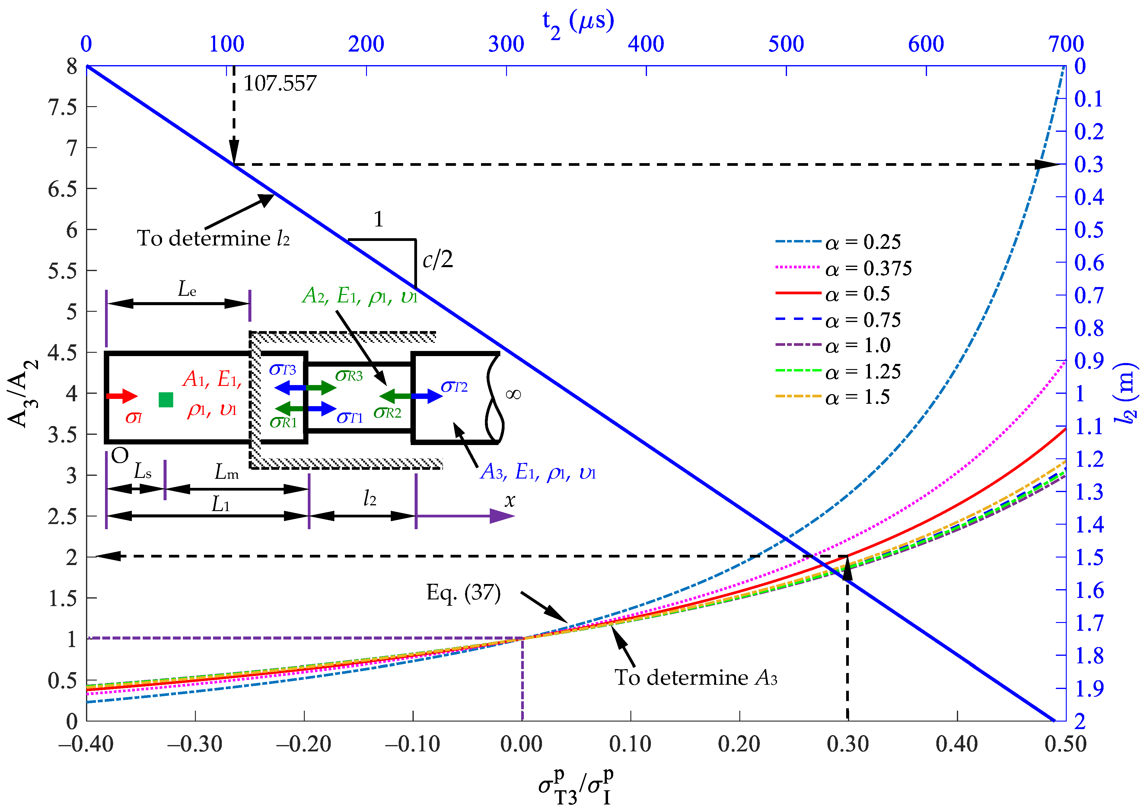
- The third part of the signal obtained is the reflected stress at a time interval t2 from the second stress peak to the third stress peak. From this signal, A3 and L2 can be determined as follows: the first peak reflected stress leads to a reflected ratio of . Based on Figure 21, the corresponding cross-sectional area ratio is with A2 = αA1 and . The received signal of the reflected stress at t2 corresponds to l2 in Figure 21.

5. Conclusions
Author Contributions
Funding
Institutional Review Board Statement
Informed Consent Statement
Data Availability Statement
Acknowledgments
Conflicts of Interest
Appendix A. Derivation of the Wave Velocity Taking into Account the Effect of Poisson’s Ratio
Appendix B. Derivation of the Rayleigh–Love Equation of Stress Wave Propagation in the Rod

References
- Tesfamariam, S.; Martín-Pérez, B. Stress wave propagation for evaluation of reinforced concrete structures. In Non-Destructive Evaluation of Reinforced Concrete Structures; Woodhead Publishing: Sawston, UK, 2010; pp. 417–440. [Google Scholar]
- Sawangsuriya, A. Wave propagation methods for determining stiffness of geomaterials. In Wave Processes in Classical and New Solids; IntechOpen: London, UK, 2012; Volume 44. [Google Scholar]
- Ostachowicz, W.; Radzieński, M. Structural health monitoring by means of elastic wave propagation. J. Phys. Conf. Ser. 2012, 382, 012003. [Google Scholar] [CrossRef]
- Hu, Y.; Yang, Y. Wave propagation modeling of the PZT sensing region for structural health monitoring. Smart Mater. Struct. 2007, 16, 706. [Google Scholar] [CrossRef]
- Scheeren, B.; Kaminski, M.L.; Pahlavan, L. Evaluation of ultrasonic stress wave transmission in cylindrical roller bearings for acoustic emission condition monitoring. Sensors 2022, 22, 1500. [Google Scholar] [CrossRef] [PubMed]
- Rauter, N.; Lammering, R. Impact damage detection in composite structures considering nonlinear lamb wave propagation. Mech. Adv. Mater. Struct. 2015, 22, 44–51. [Google Scholar] [CrossRef]
- Li, F.; Sun, X.; Qiu, J.; Zhou, L.; Li, H.; Meng, G. Guided wave propagation in high-speed train axle and damage detection based on wave mode conversion. Struct. Health Monit. 2015, 22, 1133–1147. [Google Scholar] [CrossRef]
- Palacz, M. Spectral methods for modelling of wave propagation in structures in terms of damage detection—A review. Appl. Sci. 2018, 8, 1124. [Google Scholar] [CrossRef]
- Gayakwad, H.; Thiyagarajan, J.S. Structural damage detection through EMI and wave propagation techniques using embedded PZT smart sensing units. Sensors 2022, 22, 2296. [Google Scholar] [CrossRef] [PubMed]
- Gaul, L.; Bischoff, S.; Sprenger, H.; Haag, T. Numerical and experimental investigation of wave propagation in rod-systems with cracks. Eng. Fract. Mech. 2010, 77, 3532–3540. [Google Scholar] [CrossRef]
- Wang, X.; Yu, T.; Yan, H.; Ding, J.; Li, Z.; Qin, Z.; Chu, F. Application of stress wave theory for pyroshock isolation at spacecraft-rocket interface. Chin. J. Aeronaut. 2021, 34, 75–86. [Google Scholar] [CrossRef]
- Amjad, U.; Yadav, S.K.; Kundu, T. Detection and quantification of diameter reduction due to corrosion in reinforcing steel bars. Struct. Health Monit. 2015, 14, 532–543. [Google Scholar] [CrossRef]
- Love, A.E.H. A Treatise on the Mathematical Theory of Elasticity; Dover Publications: New York, NY, USA, 1944; p. 428. [Google Scholar]
- D’Alembert, J. Researches on the curve that a tense cord forms when set into vibration. Hist. Acad. R. Des. Sci. BL Berl. 1747, 3, 214–219. [Google Scholar]
- Yang, H.; Li, Y.; Zhou, F. Propagation of stress pulses in a Rayleigh-Love elastic rod. Int. J. Impact Eng. 2021, 153, 103854. [Google Scholar] [CrossRef]
- Yang, H.; Li, Y.; Zhou, F. Stress waves generated in a Rayleigh-Love rod due to impacts. Int. J. Impact Eng. 2022, 159, 104027. [Google Scholar] [CrossRef]
- Fang, X. A one-dimensional stress wave model for analytical design and optimization of oscillation-free force measurement in high-speed tensile test specimens. Int. J. Impact Eng. 2021, 149, 103770. [Google Scholar] [CrossRef]
- Fraige, F.Y.; Es-Saheb, M.H. Analysis of Elastic Stress Wave Propagation in Stepped Bars, Transmission, Reflection, and Interaction: Experimental Investigation. Jordan J. Mech. Ind. Eng. 2022, 16. [Google Scholar]
- Benito, J.J.; Ureña, F.; Salete, E.; Muelas, A.; Gavete, L.; Galindo, R. Wave propagation in soils problems using the Generalized Finite Difference Method. Soil Dyn. Earthq. Eng. 2015, 79, 190–198. [Google Scholar] [CrossRef][Green Version]
- Petersson, N.A.; Sjögreen, B. Wave propagation in anisotropic elastic materials and curvilinear coordinates using a summation-by-parts finite difference method. J. Comput. Phys. 2015, 299, 820–841. [Google Scholar] [CrossRef]
- Takekawa, J.; Mikada, H. A mesh-free finite-difference method for elastic wave propagation in the frequency-domain. Comput. Geosci. 2018, 118, 65–78. [Google Scholar] [CrossRef]
- Wang, M.; Xu, S. Finite-difference time dispersion transforms for wave propagation. Geophysics 2015, 80, WD19–WD25. [Google Scholar] [CrossRef]
- Ning, L.; Dai, T.; Wang, L.; Yuan, S.; Pang, J. Numerical investigation of Rayleigh-wave propagation on canyon topography using finite-difference method. J. Appl. Geophys. 2018, 159, 350–361. [Google Scholar] [CrossRef]
- Tanaka, K.; Kurokawa, T.; Ueda, K. Plastic stress wave propagation in a circular bar induced by a longitudinal impact. In Macro-and Micro-Mechanics of High Velocity Deformation and Fracture: IUTAM Symposium on MMMHVDF Tokyo, Japan, 12–15 August 1985; Springer: Berlin/Heidelberg, Germany, 1987; pp. 317–326. [Google Scholar]
- Mirzajani, M.; Khaji, N.; Hori, M. Stress wave propagation analysis in one-dimensional micropolar rods with variable cross-section using micropolar wave finite element method. Int. J. Appl. Mech. 2018, 10, 1850039. [Google Scholar] [CrossRef]
- Gopalakrishnan, S. A deep rod finite element for structural dynamics and wave propagation problems. Int. J. Numer. Methods Eng. 2000, 48, 731–744. [Google Scholar] [CrossRef]
- Payton, R.G. Elastic wave propagation in a non-homogeneous rod. Q. J. Mech. Appl. Math. 1966, 19, 83–91. [Google Scholar] [CrossRef]
- Yang, K. A unified solution for longitudinal wave propagation in an elastic rod. J. Sound Vib. 2008, 314, 307–329. [Google Scholar] [CrossRef]
- Rogozhnikov, A.M. Application of the Laplace transform to the analysis of a mixed problem describing the vibrations of a compound rod. Differ. Equ. 2014, 50, 88–97. [Google Scholar] [CrossRef]
- Schiff, J.L. The Laplace transform: Theory and Applications; Springer Science & Business Media: Berlin/Heidelberg, Germany, 2013. [Google Scholar]
- Yang, W.Y.; Cao, W.; Kim, J.; Park, K.W.; Park, H.H.; Joung, J.; Im, T. Applied Numerical Methods Using MATLAB; John Wiley & Sons: Hoboken, NJ, USA, 2020. [Google Scholar]






















| Parameters | Values |
|---|---|
| Diameter of the striker rod | 30 mm |
| Diameter of segment 1 | 30 mm |
| Diameters of segment 2 | 30, 42, 52, 60, 67 mm |
| Young modulus, E | 195 GPa |
| Poisson’s ratio, υ | 0.3 |
| Mass density, ρ | 7850 kg/m3 |
| Striker rod length, L | 0.15 m |
| Length of segment 1, L1 | 1 m |
| Length of segment 2, L2 | 1.5 m |
| Impact velocity, 2v0 | 11.6 m/s |
| Wave speed of the semi-infinite rod material, c | 5782.69 m/s |
| Wave speed of the striker rod material, cs | 5782.69 m/s |
| A2/A1 | (MPa) | (MPa) | Diff. (%) |
|---|---|---|---|
| 1 | 0 | 0 | - |
| 2 | −108.688 | −87.762 | 23.84 |
| 3 | −163.362 | −131.643 | 24.09 |
| 4 | −196.481 | −157.972 | 24.38 |
| 5 | −218.610 | −175.524 | 24.55 |
| A2/A1 | (MPa) | (MPa) | Diff. (%) |
|---|---|---|---|
| 1 | −333.24 | −263.286 | 26.57 |
| 2 | −222.16 | −175.524 | 26.57 |
| 3 | −166.62 | −131.643 | 26.57 |
| 4 | −133.296 | −105.314 | 26.57 |
| 5 | −111.08 | −87.762 | 26.57 |
| A2/A1 | (MPa) | (MPa) | Diff. (%) |
|---|---|---|---|
| 1 | 0 | 0 | - |
| 1/2 | 114.9129 | 87.762 | 30.94 |
| 1/3 | 170.8699 | 131.643 | 29.80 |
| 1/4 | 204.1672 | 157.9716 | 29.24 |
| 1/5 | 226.3654 | 175.524 | 28.97 |
| A2/A1 | (MPa) | (MPa) | Diff. (%) |
|---|---|---|---|
| 1 | −333.240 | −263.286 | 26.57 |
| 1/2 | −444.320 | −351.048 | 26.57 |
| 1/3 | −499.860 | −394.929 | 26.57 |
| 1/4 | −533.184 | −421.2576 | 26.57 |
| 1/5 | −555.400 | −438.81 | 26.57 |
| No. | Cross-Section (m2) | Density (kg/m3) | Impact Length (m) | Initial Velocity (m/s) | Kinetic Energy (J) |
|---|---|---|---|---|---|
| 1 | 7.069 × 10−4 | 7850 | 0.15 | 2.9 | 3.500 |
| 2 | 5.8 | 14.000 | |||
| 3 | 11.6 | 55.999 | |||
| 4 | 0.075 | 2.9 | 1.750 | ||
| 5 | 5.8 | 7.000 | |||
| 6 | 11.6 | 27.999 |
| No. | Length L1 | Length l2 | Cross-Section A2 | Cross-Section A3 | ||||||||
|---|---|---|---|---|---|---|---|---|---|---|---|---|
| L1calculated (m) | L1real (m) | Error (%) | l2calculated (m) | l2real (m) | Error (%) | A2calculated (cm2) | A2real (cm2) | Error (%) | A3calculated (cm2) | A3real (cm2) | Error (%) | |
| 1 | 1.094 | 1.1 | 0.57 | 0.035 | 0.01 | 250.20 | 5.531 | 3.534 | 56.49 | 4.018 | 7.069 | 43.16 |
| 2 | 1.108 | 1.1 | 0.73 | 0.103 | 0.05 | 106.94 | 3.742 | 3.534 | 5.87 | 7.914 | 7.069 | 11.95 |
| 3 | 1.108 | 1.1 | 0.73 | 0.105 | 0.1 | 5.06 | 3.392 | 3.534 | 4.02 | 9.252 | 7.069 | 30.89 |
| 4 | 1.108 | 1.1 | 0.73 | 0.191 | 0.2 | 4.49 | 3.392 | 3.534 | 4.02 | 7.400 | 7.069 | 4.69 |
| 5 | 1.108 | 1.1 | 0.73 | 0.259 | 0.25 | 3.79 | 3.392 | 3.534 | 4.02 | 7.390 | 7.069 | 4.55 |
| 6 | 1.108 | 1.1 | 0.73 | 0.311 | 0.3 | 3.66 | 3.392 | 3.534 | 4.02 | 7.376 | 7.069 | 4.34 |
| 7 | 1.108 | 1.1 | 0.73 | 0.414 | 0.4 | 3.47 | 3.392 | 3.534 | 4.02 | 7.233 | 7.069 | 2.32 |
| 8 | 1.108 | 1.1 | 0.73 | 0.509 | 0.5 | 1.88 | 3.392 | 3.534 | 4.02 | 7.122 | 7.069 | 0.75 |
Disclaimer/Publisher’s Note: The statements, opinions and data contained in all publications are solely those of the individual author(s) and contributor(s) and not of MDPI and/or the editor(s). MDPI and/or the editor(s) disclaim responsibility for any injury to people or property resulting from any ideas, methods, instructions or products referred to in the content. |
© 2024 by the authors. Licensee MDPI, Basel, Switzerland. This article is an open access article distributed under the terms and conditions of the Creative Commons Attribution (CC BY) license (https://creativecommons.org/licenses/by/4.0/).
Share and Cite
Wang, C.-Y.; Thang, N.N.; Wang, H. Stress Wave Propagation in a Rayleigh–Love Rod with Sudden Cross-Sectional Area Variations Impacted by a Striker Rod. Sensors 2024, 24, 4230. https://doi.org/10.3390/s24134230
Wang C-Y, Thang NN, Wang H. Stress Wave Propagation in a Rayleigh–Love Rod with Sudden Cross-Sectional Area Variations Impacted by a Striker Rod. Sensors. 2024; 24(13):4230. https://doi.org/10.3390/s24134230
Chicago/Turabian StyleWang, Chung-Yue, Nguyen Ngoc Thang, and Helsin Wang. 2024. "Stress Wave Propagation in a Rayleigh–Love Rod with Sudden Cross-Sectional Area Variations Impacted by a Striker Rod" Sensors 24, no. 13: 4230. https://doi.org/10.3390/s24134230
APA StyleWang, C.-Y., Thang, N. N., & Wang, H. (2024). Stress Wave Propagation in a Rayleigh–Love Rod with Sudden Cross-Sectional Area Variations Impacted by a Striker Rod. Sensors, 24(13), 4230. https://doi.org/10.3390/s24134230

