Sperm YOLOv8E-TrackEVD: A Novel Approach for Sperm Detection and Tracking
Abstract
1. Introduction
- Based on the YOLOv8 network model, we have made targeted improvements for sperm detection by integrating an enhanced attention mechanism and techniques specifically designed for detecting small objects.
- Algorithms for tracking small-scale objects like sperm, improving the precision and reliability of sperm tracking for fertility analysis and related applications.
2. Related Works
3. Methodology
3.1. SpermYOLOv8-E
- Enhanced feature extraction: Attention mechanisms allow the network to capture and focus on both local and global information, thereby improving the overall feature extraction process. This is crucial for recognizing small and indistinct sperm features in cluttered backgrounds.
- Improved detection accuracy: By integrating these attention mechanisms, the study has seen significant improvements in key performance indicators such as precision, recall, and mean average precision (mAP). For example, after introducing the SegNext_Attention and EMA modules, precision and recall have noticeably increased, indicating more accurate sperm detection.
- Better handling of small objects: Attention mechanisms, especially in combination with a small target detection layer (STDL), enhance the network’s sensitivity and accuracy in detecting very small objects. Higher-resolution feature maps retain more detailed spatial information, which is critical for recognizing the complex details of sperm.
- Balancing local and global information: By strategically placing attention modules between the mid and high layers of the network, the model achieves a balance between focusing on local details and global background information. This reduces the risk of over-generalization and information loss while retaining important features needed for accurate sperm detection.
3.2. SpermTrack-EVD
4. Evaluation Metrics
5. Experiments
5.1. Dataset
5.2. Experimental Settings
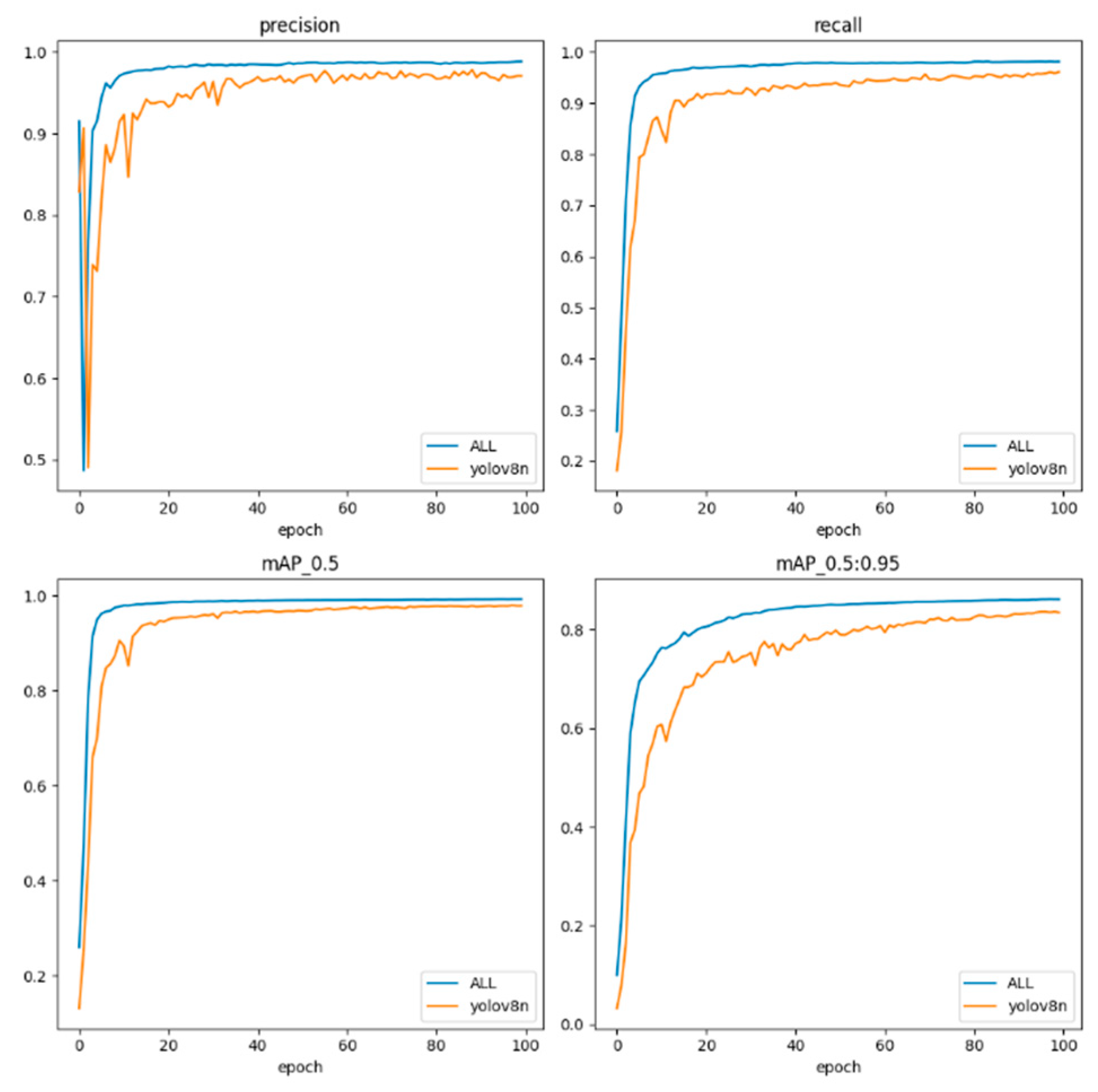
5.3. Experimental Results
6. Conclusions
- Model lightweighting and optimization: Although the current algorithm has improved in accuracy, the complexity of the model and the consumption of computational resources remain high. Future work could explore more lightweight model architectures to reduce the running cost and improve the real-time performance of the algorithm while maintaining high accuracy.
- Robustness of the tracking algorithm: Successful tracking of sperm in complex backgrounds or high sperm density conditions still faces challenges. Future research could further improve the tracking algorithm to enhance its adaptability and robustness in complex environments.
- We recognize the importance of further validating our models on other large datasets. While our current research primarily involves the VISEM-Tracking dataset, future work will include multi-dataset validation, testing our algorithms on other large datasets, including the Face Tracking dataset [45], to ensure stability and accuracy under different conditions. We also plan to extend the application scenarios of our algorithms, not limited to sperm detection and tracking but also applicable to other small target detection tasks, such as cell tracking and microscopic image analysis.
- In our study, we utilized the VISEM-Tracking dataset to classify sperm based solely on morphological characteristics. This classification does not include motility characteristics, and the categories based on morphology are relatively limited. We acknowledge the limitations of our current classification method and propose several future improvements.
- 5.
- Although powerful, attention mechanisms also have limitations in cases where sperm features are not prominent for reasons such as low contrast and resolution, cluttered background, and overlap and clustering. Since the VISEM-Tracking dataset has been standardized and prepared, these problems are not prominent. To address these issues in other datasets and clinical trials in the future, we propose the following solutions and improvement goals.
- 6.
- Considering the diversity of future datasets, we will consider targeting algorithms for weakly supervised object detection. This can be achieved by training the model using unlabeled or partially labeled data, using weak labels to infer the rough position of objects, thereby reducing reliance on precisely labeled data. For example, using image-level labels to predict the presence of targets, and then combining local clues to infer the approximate position of targets. In tracking algorithms, more emphasis is placed on the structured relationships between targets, using algorithms such as Minimum Spanning Tree (MST) to construct and maintain correlations between targets. In the case of significant changes in sperm dynamics, maintaining spatial and temporal consistency between targets can improve tracking stability and accuracy.
Author Contributions
Funding
Institutional Review Board Statement
Informed Consent Statement
Data Availability Statement
Acknowledgments
Conflicts of Interest
Appendix A. List of Hyperparameters
- Learning rate and momentum parameters
| parameter | value | explain |
| lr0 | 0.01 | Initial learning rate (initial value of 0.01). |
| lrf | 0.01 | Final learning rate (initial learning rate multiplied by this value). The final learning rate is 0.01 * 0.01 = 0.0001. |
| momentum | 0.937 | Momentum of the SGD optimizer. Momentum is used to accelerate convergence and reduce oscillations. |
| weight_decay | 0.0005 | The weights of the optimizer are attenuated to prevent overfitting with a value of 5 × 10−4. |
- 2.
- Preheating parameters
| parameter | value | explain |
| warmup_epochs | 3.0 | Number of cycles for warm-up training. During the warm-up period, the learning rate is gradually increased from a smaller value to a set initial learning rate. |
| warmup_momentum | 0.8 | Initial momentum value during warm-up. |
| warmup_bias_lr | 0.1 | Initial bias learning rate during warm-up. |
- 3.
- Loss function gain
| parameter | value | explain |
| box | 7.5 | Border regression loss gain coefficient. Controls the weight of the border regression loss. |
| cls | 0.5 | Category loss gain factor. Scales the weight of the category loss according to the number of pixels. |
| dfl | 1.5 | Distributed focus loss gain coefficient. Weights used for distributed focal length regression. |
- 4.
- Batch size
| parameter | value | explain |
| nbs | 64 | Nominal batch size. The batch size used to normalize the learning rate and other hyperparameters. |
- 5.
- Image enhancement parameters
| parameter | value | explain |
| hsv_h | 0.015 | Image HSV hue enhancement. Percentage of the range of hue changes. |
| hsv_s | 0.7 | Image HSV saturation enhancement. Percentage of saturation change range. |
| hsv_v | 0.4 | Image HSV value (brightness) enhancement. Percentage of the range of brightness changes. |
| translate | 0.1 | Image panning enhancement. Percentage of panning range (+/−). |
| scale | 0.5 | Image zoom enhancement. Percentage of zoom range (+/−). |
| fliplr | 0.5 | Image left/right flip enhancement. The probability of flipping left and right. |
| mosaic | 1.0 | Image mosaic enhancement. Probability of applying mosaic enhancement. |
| Enhancement methods | parameter | explain |
| Blur | p = 0.01, blur_limit = (3, 7) | Fuzzy enhancement, with a 1% probability of application, uses fuzzy kernels in the range of 3 to 7. |
| MedianBlur | p = 0.01, blur_limit = (3, 7) | Median fuzzy enhancement, with a 1% probability of application, uses a median fuzzy kernel in the range of 3 to 7. |
| ToGray | p = 0.01 | Grayscale enhancement with a 1% probability of converting the image to grayscale. |
| CLAHE | p = 0.01,clip_limit = (1,4.0), tile_grid_size = (8, 8) | Adaptive histogram equalization enhancement with 1% probability of application, contrast limits from 1 to 4, and plot size of 8x8. |
Appendix B. List of Model Layer Parameters
|
nc: 3 # number of classes scale ‘n’ # [depth, width, max_channels] n: [0.33, 0.25, 1024] |
| backbone: # [from, repeats, module, args] - [−1, 1, Conv, [64, 3, 2]] # 0-P1/2 - [−1, 1, SPDConv, [128]] # 1-P2/4 - [−1, 3, C2f, [128, True]] - [−1, 1, SPDConv, [256]] # 3-P3/8 - [−1, 6, C2f, [256, True]] - [−1, 1, SPDConv, [512]] # 5-P4/16 - [−1, 6, C2f, [512, True]] - [−1, 1, SPDConv, [1024]] # 7-P5/32 - [−1, 3, C2f, [1024, True]] - [−1, 1, SegNext_Attention, []] # 9 - [−1, 1, SPPF, [1024, 5]] # 10 |
|
# YOLOv8.0-p2 head head: - [−1, 1, nn.Upsample, [None, 2, ‘nearest’]] - [[−1, 6], 1, Concat, [1]] # cat backbone P4 - [−1, 3, C2f, [512]] # 13 |
| - [−1, 1, nn.Upsample, [None, 2, ‘nearest’]] - [[−1, 4], 1, Concat, [1]] # cat backbone P3 - [−1, 3, C2f, [256]] # 16 (P3/8-small) |
| - [−1, 1, nn.Upsample, [None, 2, ‘nearest’]] - [[−1, 2], 1, Concat, [1]] # cat backbone P2 - [−1, 1, EMA, []] - [−1, 3, C2f, [128]] # 20 (P2/4-xsmall) 20 |
|
- [−1, 1, SPDConv, [128]] - [[−1, 16], 1, Concat, [1]] # cat head P3 - [−1, 3, C2f, [256]] # 23 (P3/8-small) 23 |
|
- [−1, 1, SPDConv, [256]] - [[−1, 13], 1, Concat, [1]] # cat head P4 - [−1, 3, C2f, [512]] # 26 (P4/16-medium) 26 |
| - [−1, 1, SPDConv, [512]] - [[−1, 10], 1, Concat, [1]] # cat head P5 - [−1, 3, C2f, [1024]] # 29 (P5/32-large) 29 |
| - [[20, 23, 26, 29], 1, Detect_DyHead, [nc, 128, 1]] # Detect(P2, P3, P4, P5) |
References
- Sang, Q.; Ray, P.F.; Wang, L. Understanding the genetics of human infertility. Science 2023, 380, 158–163. [Google Scholar] [CrossRef] [PubMed]
- Abou Ghayda, R.; Cannarella, R.; Calogero, A.E.; Shah, R.; Rambhatla, A.; Zohdy, W.; Kavoussi, P.; Avidor-Reiss, T.; Boitrelle, F.; Mostafa, T.; et al. Artificial intelligence in andrology: From semen analysis to image diagnostics. World J. Mens Health 2024, 42, 39–61. [Google Scholar] [CrossRef]
- Mazzilli, R.; Rucci, C.; Vaiarelli, A.; Cimadomo, D.; Ubaldi, F.M.; Foresta, C.; Ferlin, A. Male factor infertility and assisted reproductive technologies: Indications, minimum access criteria and outcomes. J. Endocrinol. Investig. 2023, 46, 1079–1085. [Google Scholar] [CrossRef]
- Baldi, E.; Gallagher, M.T.; Krasnyak, S.; Kirkman-Brown, J.; Apolikhin, O.; Barratt, C.L.; Festin, M.P.; Kiarie, J.; Lamb, D.J.; Mbizvo, M.; et al. Extended semen examinations in the sixth edition of the WHO Laboratory Manual for the Examination and Processing of Human Semen: Contributing to the understanding of the function of the male reproductive system. Fertil. Steril. 2022, 117, 252–257. [Google Scholar] [CrossRef] [PubMed]
- Auger, J.; Eustache, F.; Chevrier, C.; Jégou, B. Spatiotemporal trends in human semen quality. Nat. Rev. Urol. 2022, 19, 597–626. [Google Scholar] [CrossRef]
- Agarwal, A.; Sharma, R.; Gupta, S.; Finelli, R.; Parekh, N.; Selvam, M.K.P.; Henkel, R.; Durairajanayagam, D.; Pompeu, C.; Madani, S.; et al. Sperm morphology assessment in the era of intracytoplasmic sperm injection: Reliable results require focus on standardization, quality control, and training. World J. Mens Health 2022, 40, 347–360. [Google Scholar] [CrossRef] [PubMed]
- Li, Y.; Lu, T.; Wu, Z.; Wang, Z.; Yu, T.; Wang, H.; Tang, C.; Zhou, Y. Trends in sperm quality by computer-assisted sperm analysis of 49,189 men during 2015–2021 in a fertility center from China. Front. Endocrinol. 2023, 14, 1194455. [Google Scholar] [CrossRef]
- Zou, S.; Li, C.; Sun, H.; Xu, P.; Zhang, J.; Ma, P.; Yao, Y.; Huang, X.; Grzegorzek, M. TOD-CNN: An effective convolutional neural network for tiny object detection in sperm videos. Comput. Biol. Med. 2022, 146, 105543. [Google Scholar] [CrossRef]
- Staine, L.; Kohn, J.R.; Kohn, T.P. Automated identification of rare sperm becomes possible: Is sperm selection the next frontier in male infertility? Fertil. Steril. 2022, 118, 100. [Google Scholar] [CrossRef]
- Li, J.; Tseng, K.K.; Dong, H.; Li, Y.; Zhao, M.; Ding, M. Human sperm health diagnosis with principal component analysis and K-nearest neighbor algorithm. In Proceedings of the 2014 International Conference on Medical Biometrics, Shenzhen, China, 30 May–1 June 2014; pp. 108–113. [Google Scholar] [CrossRef]
- Qi, Y.; Yao, H.; Sun, X.; Sun, X.; Zhang, Y.; Huang, Q. Structure-aware multi-object discovery for weakly supervised tracking. In Proceedings of the 2014 IEEE International Conference on Image Processing (ICIP), Paris, France, 27–30 October 2014; pp. 466–470. [Google Scholar]
- Shaker, F.; Monadjemi, S.A.; Alirezaie, J.; Naghsh-Nilchi, A.R. A dictionary learning approach for human sperm heads classification. Comput. Biol. Med. 2017, 91, 181–190. [Google Scholar] [CrossRef]
- Gallagher, M.T.; Smith, D.J.; Kirkman-Brown, J.C. CASA: Tracking the past and plotting the future. Reprod. Fertil. Dev. 2018, 30, 867–874. [Google Scholar] [CrossRef] [PubMed]
- Lee, R.; Witherspoon, L.; Robinson, M.; Lee, J.H.; Duffy, S.P.; Flannigan, R.; Ma, H. Automated rare sperm identification from low-magnification microscopy images of dissociated microsurgical testicular sperm extraction samples using deep learning. Fertil. Steril. 2022, 118, 90–99. [Google Scholar] [CrossRef] [PubMed]
- Mahali, M.I.; Leu, J.S.; Darmawan, J.T.; Avian, C.; Bachroin, N.; Prakosa, S.W.; Faisal, M.; Putro, N.A.S. A Dual Architecture Fusion and AutoEncoder for Automatic Morphological Classification of Human Sperm. Sensors 2023, 23, 6613. [Google Scholar] [CrossRef] [PubMed]
- Ilhan, H.O.; Serbes, G. Sperm morphology analysis by using the fusion of two-stage fine-tuned deep networks. Biomed. Signal Process. Control 2022, 71, 103246. [Google Scholar] [CrossRef]
- Zhu, R.; Cui, Y.; Hou, E.; Huang, J. Efficient detection and robust tracking of spermatozoa in microscopic video. IET Image Process. 2021, 15, 3200–3210. [Google Scholar] [CrossRef]
- Haugen, T.B.; Witczak, O.; Hicks, S.A.; Björndahl, L.; Andersen, J.M.; Riegler, M.A. Sperm motility assessed by deep convolutional neural networks into WHO categories. Sci. Rep. 2023, 13, 14777. [Google Scholar] [CrossRef] [PubMed]
- Valiuškaitė, V.; Raudonis, V.; Maskeliūnas, R.; Damaševičius, R.; Krilavičius, T. Deep learning based evaluation of spermatozoid motility for artificial insemination. Sensors 2020, 21, 72. [Google Scholar] [CrossRef]
- Zheng, Y.; Yin, H.; Zhou, C.; Zhou, W.; Huan, Z.; Ma, W. A Hand-Held Platform for Boar Sperm Viability Diagnosis Based on Smartphone. Biosensors 2023, 13, 978. [Google Scholar] [CrossRef] [PubMed]
- Sato, T.; Kishi, H.; Murakata, S.; Hayashi, Y.; Hattori, T.; Nakazawa, S.; Mori, Y.; Hidaka, M.; Kasahara, Y.; Kusuhara, A.; et al. A new deep-learning model using YOLOv3 to support sperm selection during intracytoplasmic sperm injection procedure. Reprod. Med. Biol. 2022, 21, e12454. [Google Scholar] [CrossRef]
- World Health Organization. WHO Laboratory Manual for the Examination and Processing of Human Semen; World Health Organization: Geneva, Switzerland, 2021. [Google Scholar]
- Lim, J.S.; Astrid, M.; Yoon, H.J.; Lee, S.I. Small object detection using context and attention. In Proceedings of the 2021 International Conference on Artificial Intelligence in Information and Communication (ICAIIC), Jeju Island, Republic of Korea, 13–16 April 2021; pp. 181–186. [Google Scholar] [CrossRef]
- Lian, J.; Yin, Y.; Li, L.; Wang, Z.; Zhou, Y. Small object detection in traffic scenes based on attention feature fusion. Sensors 2021, 21, 3031. [Google Scholar] [CrossRef]
- Tong, X.; Sun, B.; Wei, J.; Zuo, Z.; Su, S. EAAU-Net: Enhanced asymmetric attention U-Net for infrared small target detection. Remote Sens. 2021, 13, 3200. [Google Scholar] [CrossRef]
- Zhang, M.; Su, H.; Wen, J. Classification of flower image based on attention mechanism and multi-loss attention network. Comput. Commun. 2021, 179, 307–317. [Google Scholar] [CrossRef]
- Guo, M.H.; Lu, C.Z.; Hou, Q.; Liu, Z.; Cheng, M.M.; Hu, S.M. Segnext: Rethinking convolutional attention design for semantic segmentation. Adv. Neural Inf. Process. Syst. 2022, 35, 1140–1156. [Google Scholar]
- Peng, C.; Zhang, X.; Yu, G.; Luo, G.; Sun, J. Large kernel matters—Improve semantic segmentation by global convolutional network. In Proceedings of the IEEE Conference on Computer Vision and Pattern Recognition, Honolulu, HI, USA, 21–26 July 2017; pp. 4353–4361. [Google Scholar]
- Hou, Q.; Zhang, L.; Cheng, M.M.; Feng, J. Strip pooling: Rethinking spatial pooling for scene parsing. In Proceedings of the IEEE/CVF Conference on Computer Vision and Pattern Recognition, Seattle, WA, USA, 14–19 June 2020; pp. 4003–4012. [Google Scholar]
- Ouyang, D.; He, S.; Zhang, G.; Luo, M.; Guo, H.; Zhan, J.; Huang, Z. Efficient multi-scale attention module with cross-spatial learning. In Proceedings of the ICASSP 2023-2023 IEEE International Conference on Acoustics, Speech and Signal Processing (ICASSP), Rhodes Island, Greece, 4–10 June 2023; pp. 1–5. [Google Scholar] [CrossRef]
- Chen, Y.; Kalantidis, Y.; Li, J.; Yan, S.; Feng, J. A2-nets: Double attention networks. Adv. Neural Inf. Process. Syst. 2018, 31. [Google Scholar]
- Wang, X.; Girshick, R.; Gupta, A.; He, K. Non-local neural networks. In Proceedings of the IEEE Conference on Computer Vision and Pattern Recognition, Salt Lake City, UT, USA, 18–23 June 2018; pp. 7794–7803. [Google Scholar]
- Dai, X.; Chen, Y.; Xiao, B.; Chen, D.; Liu, M.; Yuan, L.; Zhang, L. Dynamic head: Unifying object detection heads with attentions. In Proceedings of the IEEE/CVF Conference on Computer Vision and Pattern Recognition, Nashville, TN, USA, 20–25 June 2021; pp. 7373–7382. [Google Scholar]
- Sunkara, R.; Luo, T. No more strided convolutions or pooling: A new CNN building block for low-resolution images and small objects. In Joint European Conference on Machine Learning and Knowledge Discovery in Databases; Springer Nature Switzerland: Cham, Switzerland, 2022; pp. 443–459. [Google Scholar] [CrossRef]
- Zheng, Z.; Wang, P.; Liu, W.; Li, J.; Ye, R.; Ren, D. Distance-IoU loss: Faster and better learning for bounding box regression. In Proceedings of the AAAI Conference on Artificial Intelligence, New York, NY, USA, 7–12 February 2020; Volume 34, No. 07. pp. 12993–13000. [Google Scholar] [CrossRef]
- Li, X.; Wang, W.; Wu, L.; Chen, S.; Hu, X.; Li, J.; Tang, J.; Yang, J. Generalized focal loss: Learning qualified and distributed bounding boxes for dense object detection. Adv. Neural Inf. Process. Syst. 2020, 33, 21002–21012. [Google Scholar]
- Zhang, H.; Xu, C.; Zhang, S. Inner-iou: More effective intersection over union loss with auxiliary bounding box. arXiv 2023, arXiv:2311.02877. [Google Scholar] [CrossRef]
- Siliang, M.; Yong, X. Mpdiou: A loss for efficient and accurate bounding box regression. arXiv 2023, arXiv:2307.07662. [Google Scholar] [CrossRef]
- Maggiolino, G.; Ahmad, A.; Cao, J.; Kitani, K. Deep oc-sort: Multi-pedestrian tracking by adaptive re-identification. In Proceedings of the 2023 IEEE International Conference on Image Processing (ICIP), Kuala Lumpur, Malaysia, 8–11 October 2023; pp. 3025–3029. [Google Scholar] [CrossRef]
- Thambawita, V.; Hicks, S.A.; Storås, A.M.; Nguyen, T.; Andersen, J.M.; Witczak, O.; Haugen, T.B.; Hammer, H.L.; Halvorsen, P.; Riegler, M.A. VISEM-Tracking, a human spermatozoa tracking dataset. Sci. Data 2023, 10, 260. [Google Scholar] [CrossRef]
- Abbasi, A.; Miahi, E.; Mirroshandel, S.A. Effect of deep transfer and multi-task learning on sperm abnormality detection. Comput. Biol. Med. 2021, 128, 104121. [Google Scholar] [CrossRef]
- Amari, S.I. Backpropagation and stochastic gradient descent method. Neurocomputing 1993, 5, 185–196. [Google Scholar] [CrossRef]
- Cao, J.; Pang, J.; Weng, X.; Khirodkar, R.; Kitani, K. Observation-centric sort: Rethinking sort for robust multi-object tracking. In Proceedings of the IEEE/CVF Conference on Computer Vision and Pattern Recognition, Vancouver, BC, Canada, 17–24 June 2023; pp. 9686–9696. [Google Scholar] [CrossRef]
- Aharon, N.; Orfaig, R.; Bobrovsky, B.Z. BoT-SORT: Robust associations multi-pedestrian tracking. arXiv 2022, arXiv:2206.14651. [Google Scholar] [CrossRef]
- Qi, Y.; Zhang, S.; Jiang, F.; Zhou, H.; Tao, D.; Li, X. Siamese local and global networks for robust face tracking. IEEE Trans. Image Process. 2020, 29, 9152–9164. [Google Scholar] [CrossRef] [PubMed]















| Subset | Ids | Images |
|---|---|---|
| Train | 3 | 459,291 |
| Query | 3 | 65,110 |
| Gallery | 3 | 128,707 |
| Method | Precision | Recall | mAP0.5 | mAP0.5:0.95 | Parameters | Size/MB | FLOPs/G |
|---|---|---|---|---|---|---|---|
| YOLOv8n | 0.85 | 0.821 | 0.828 | 0.634 | 3,011,433 | 6.2 | 8.2 |
| +SPDConv | 0.884 | 0.857 | 0.875 | 0.744 | 4,739,433 | 9.7 | 11.7 |
| +SPDConv +SegNext_Attention | 0.901 | 0.879 | 0.895 | 0.766 | 4,734,391 | 9.9 | 11.7 |
| +SPDConv +SegNext_Attention + STDL | 0.956 | 0.947 | 0.927 | 0.805 | 4,996,740 | 10 | 16.1 |
| +SPDConv +SegNext_Attention + STDL +Detect_DyHead | 0.971 | 0.956 | 0.931 | 0.827 | 5,325,443 | 10.7 | 21.7 |
| +SPDConv +SegNext_Attention + STDL +Detect_DyHead + EMA | 0.966 | 0.951 | 0.944 | 0.838 | 5,326,931 | 11.2 | 24.2 |
| +SPDConv +SegNext_Attention + STDL +Detect_DyHead + EMA +Inner-MPDIoU/NWD | 0.982 | 0.962 | 0.951 | 0.832 | 5,326,931 | 11.2 | 24.2 |
| Model | Precision | Recall | mAP0.5 | mAP0.5:0.95 | Parameters | Size/MB | FLOPs/G |
|---|---|---|---|---|---|---|---|
| spermE-STDL | 0.932 | 0.909 | 0.874 | 0.679 | 3,512,488 | 7 | 19.8 |
| spermE-Attention | 0.863 | 0.858 | 0.872 | 0.663 | 3,591,045 | 7.6 | 10.4 |
| spermE-SPDConv | 0.915 | 0.877 | 0.886 | 0.760 | 5,219,237 | 10.4 | 13.3 |
| spermE-STDL-Attention | 0.932 | 0.911 | 0.903 | 0.721 | 3,607,928 | 10.6 | 20.4 |
| spermE-STDL-SPDConv | 0.971 | 0.945 | 0.918 | 0.799 | 5,268,136 | 10.9 | 23.7 |
| spermE-Attention-SPDConv | 0.907 | 0.894 | 0.919 | 0.773 | 5,319,045 | 11 | 13.9 |
| Detector | MOTA | MOTP | IDF1 | HOTA | AssA | AssR | IDs |
|---|---|---|---|---|---|---|---|
| yolov8n | 59.782 | 81.387 | 61.143 | 62.322 | 59.902 | 62.735 | 828 |
| SpermYOLOv8-E | 71.167 | 90.879 | 69.784 | 74.303 | 68.552 | 70.424 | 542 |
Disclaimer/Publisher’s Note: The statements, opinions and data contained in all publications are solely those of the individual author(s) and contributor(s) and not of MDPI and/or the editor(s). MDPI and/or the editor(s) disclaim responsibility for any injury to people or property resulting from any ideas, methods, instructions or products referred to in the content. |
© 2024 by the authors. Licensee MDPI, Basel, Switzerland. This article is an open access article distributed under the terms and conditions of the Creative Commons Attribution (CC BY) license (https://creativecommons.org/licenses/by/4.0/).
Share and Cite
Zhang, C.; Zhang, Y.; Chang, Z.; Li, C. Sperm YOLOv8E-TrackEVD: A Novel Approach for Sperm Detection and Tracking. Sensors 2024, 24, 3493. https://doi.org/10.3390/s24113493
Zhang C, Zhang Y, Chang Z, Li C. Sperm YOLOv8E-TrackEVD: A Novel Approach for Sperm Detection and Tracking. Sensors. 2024; 24(11):3493. https://doi.org/10.3390/s24113493
Chicago/Turabian StyleZhang, Chongming, Yaxuan Zhang, Zhanyuan Chang, and Chuanjiang Li. 2024. "Sperm YOLOv8E-TrackEVD: A Novel Approach for Sperm Detection and Tracking" Sensors 24, no. 11: 3493. https://doi.org/10.3390/s24113493
APA StyleZhang, C., Zhang, Y., Chang, Z., & Li, C. (2024). Sperm YOLOv8E-TrackEVD: A Novel Approach for Sperm Detection and Tracking. Sensors, 24(11), 3493. https://doi.org/10.3390/s24113493

