Towards Stabilized Few-Shot Object Detection with Less Forgetting via Sample Normalization
Abstract
1. Introduction
- We reveal two gaps caused by few-shot settings in the meta-learning framework between different data, which hurt both performance stability for novel classes and the reduction of the results concerning the base classes.
- We propose a method named sample normalization under the meta-learning framework [18] to improve the ability of the network to migrate meta-knowledge to mitigate forgetting and enhance the stability of the network for different small samples.
- Experimental results demonstrate that our method achieves competitive performance for the detection of both novel classes and base classes over a single run and multiple experiments and can stabilize the network when facing various few-shot training objects.
2. Related Work
2.1. Object Detection
2.2. Few-Shot Object Detection
3. Materials and Methods
3.1. Overview and Motivation
3.2. Sample Normalization
- (1)
- It mitigates the disparity in data volume between base training and fine-tuning stages. Specifically, meta-knowledge acquisition entails progressively learning to discern query images using randomly sampled support objects, as depicted in Figure 2. Due to data volume disparities between source and target domains, the support feature combinations encountered during base training often mismatch with the limited support features of few-shot samples. Regardless of the training stage, SN selects support samples that reside on the same hypersphere. This alignment reduces representation gaps across training stages, enhancing meta-knowledge transfer and maintaining base class detection performance.
- (2)
- SN mitigates inconsistencies within random few-shot training data within a fixed target domain. In practical applications, target domain data remain constant for a single experiment but may vary across multiple experiments. When training support samples for the same category are randomly selected from different images, network weights can diverge, affecting stability. By implementing SN during fine-tuning, the transformer’s input reduces intraclass disparities while maintaining relative sample characteristics beyond mere categorical centroids.
3.3. Z-Score Normalization
3.4. Network Training
4. Experiment
4.1. Experimental Settings
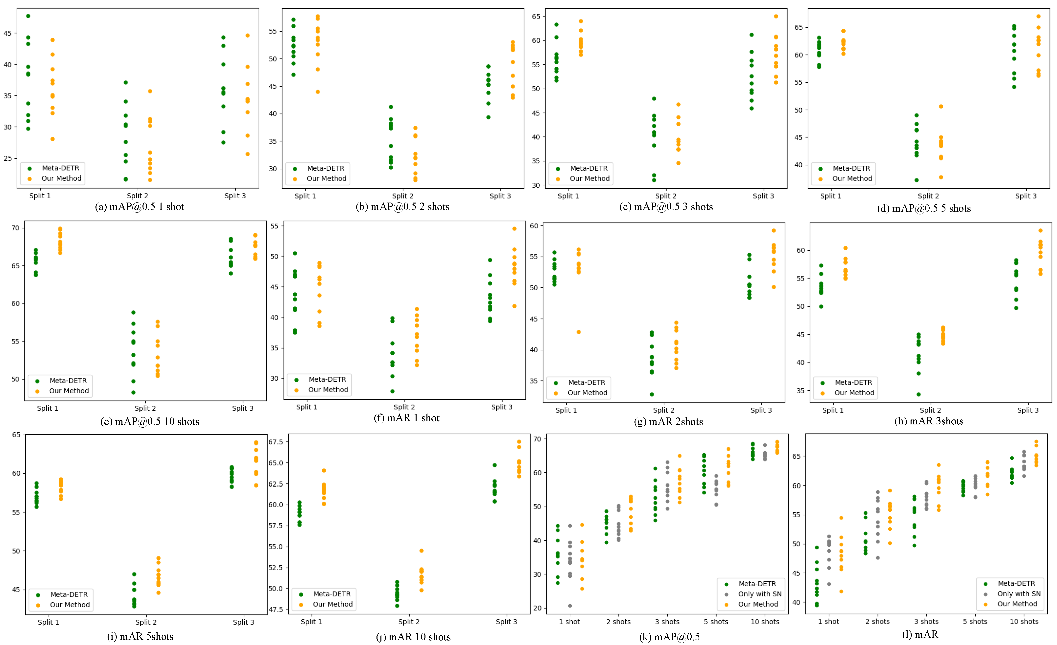
4.2. Results and Discussion
4.3. Ablation Study
5. Conclusions
Author Contributions
Funding
Data Availability Statement
Conflicts of Interest
References
- Lin, T.Y.; Maire, M.; Belongie, S.; Hays, J.; Perona, P.; Ramanan, D.; Dollár, P.; Zitnick, C.L. Microsoft coco: Common objects in context. In Proceedings of the Computer Vision–ECCV 2014: 13th European Conference, Zurich, Switzerland, 6–12 September 2014; Proceedings, Part V 13. Springer: Cham, Switzerland, 2014; pp. 740–755. [Google Scholar]
- Everingham, M.; Van Gool, L.; Williams, C.K.I.; Winn, J.; Zisserman, A. The PASCAL Visual Object Classes Challenge 2007 (VOC2007). Available online: http://www.pascal-network.org/challenges/VOC/voc2007/workshop/index.html (accessed on 7 April 2007).
- Everingham, M.; Van Gool, L.; Williams, C.K.I.; Winn, J.; Zisserman, A. The PASCAL Visual Object Classes Challenge 2012 (VOC2012). Available online: http://www.pascal-network.org/challenges/VOC/voc2012/workshop/index.html (accessed on 20 February 2012).
- Redmon, J.; Divvala, S.; Girshick, R.; Farhadi, A. You only look once: Unified, real-time object detection. In Proceedings of the IEEE/CVF Conference on Computer Vision and Pattern Recognition, Las Vegas, NV, USA, 27–30 June 2016; pp. 779–788. [Google Scholar]
- Redmon, J.; Farhadi, A. Yolov3: An incremental improvement. arXiv 2018, arXiv:1804.02767. [Google Scholar]
- Wang, C.Y.; Bochkovskiy, A.; Liao, H.Y.M. YOLOv7: Trainable bag-of-freebies sets new state-of-the-art for real-time object detectors. In Proceedings of the IEEE/CVF Conference on Computer Vision and Pattern Recognition, Vancouver, BC, Canada, 17–24 June 2023; pp. 7464–7475. [Google Scholar]
- Ren, S.; He, K.; Girshick, R.; Sun, J. Faster R-CNN: Towards Real-Time Object Detection with Region Proposal Networks. IEEE Trans. Pattern Anal. Mach. Intell. 2017, 39, 1137–1149. [Google Scholar] [CrossRef] [PubMed]
- He, K.; Gkioxari, G.; Dollár, P.; Girshick, R. Mask r-cnn. In Proceedings of the IEEE International Conference on Computer Vision, Venice, Italy, 22–29 October 2017; pp. 2961–2969. [Google Scholar]
- Carion, N.; Massa, F.; Synnaeve, G.; Usunier, N.; Kirillov, A.; Zagoruyko, S. End-to-end object detection with transformers. In Proceedings of the European Conference on Computer Vision, Glasgow, UK, 23–28 August 2020; pp. 213–229. [Google Scholar]
- Zhu, X.; Su, W.; Lu, L.; Li, B.; Wang, X.; Dai, J. Deformable DETR: Deformable Transformers for End-to-End Object Detection. In Proceedings of the International Conference on Learning Representations, Addis Ababa, Ethiopia, 26–30 April 2020. [Google Scholar]
- Chen, H.; Wang, Y.; Wang, G.; Qiao, Y. Lstd: A low-shot transfer detector for object detection. In Proceedings of the AAAI Conference on Artificial Intelligence, New Orleans, LA, USA, 2–7 February 2018; Volume 32. [Google Scholar]
- Wang, X.; Huang, T.E.; Darrell, T.; Gonzalez, J.E.; Yu, F. Frustratingly Simple Few-Shot Object Detection. In Proceedings of the International Conference on Machine Learning, Virtual, 13–18 July 2020. [Google Scholar]
- Zhu, C.; Chen, F.; Ahmed, U.; Shen, Z.; Savvides, M. Semantic relation reasoning for shot-stable few-shot object detection. In Proceedings of the IEEE/CVF Conference on Computer Vision and Pattern Recognition, Nashville, TN, USA, 20–25 June 2021; pp. 8782–8791. [Google Scholar]
- Wu, A.; Han, Y.; Zhu, L.; Yang, Y. Universal-prototype enhancing for few-shot object detection. In Proceedings of the IEEE/CVF International Conference on Computer Vision, Montreal, BC, Canada, 11–17 October 2021; pp. 9567–9576. [Google Scholar]
- Sun, B.; Li, B.; Cai, S.; Yuan, Y.; Zhang, C. Fsce: Few-shot object detection via contrastive proposal encoding. In Proceedings of the IEEE/CVF Conference on Computer Vision and Pattern Recognition, Nashville, TN, USA, 20–25 June 2021; pp. 7352–7362. [Google Scholar]
- Gao, B.B.; Chen, X.; Huang, Z.; Nie, C.; Liu, J.; Lai, J.; Jiang, G.; Wang, X.; Wang, C. Decoupling Classifier for Boosting Few-shot Object Detection and Instance Segmentation. Adv. Neural Inf. Process. Syst. 2022, 35, 18640–18652. [Google Scholar]
- Zhang, X.; Liu, F.; Peng, Z.; Guo, Z.; Wan, F.; Ji, X.; Ye, Q. Integral migrating pre-trained transformer encoder-decoders for visual object detection. arXiv 2022, arXiv:2205.09613. [Google Scholar]
- Zhang, G.; Luo, Z.; Cui, K.; Lu, S.; Xing, E.P. Meta-DETR: Image-Level Few-Shot Detection with Inter-Class Correlation Exploitation. IEEE Trans. Pattern Anal. Mach. Intell. 2022, 45, 12832–12843. [Google Scholar] [CrossRef] [PubMed]
- Wang, Y.X.; Ramanan, D.; Hebert, M. Meta-learning to detect rare objects. In Proceedings of the IEEE/CVF International Conference on Computer Vision, Seoul, Republic of Korea, 27 October–2 November 2019; pp. 9925–9934. [Google Scholar]
- Kang, B.; Liu, Z.; Wang, X.; Yu, F.; Feng, J.; Darrell, T. Few-shot object detection via feature reweighting. In Proceedings of the IEEE/CVF International Conference on Computer Vision, Seoul, Republic of Korea, 27 October–2 November 2019; pp. 8420–8429. [Google Scholar]
- Yan, X.; Chen, Z.; Xu, A.; Wang, X.; Liang, X.; Lin, L. Meta r-cnn: Towards general solver for instance-level low-shot learning. In Proceedings of the IEEE/CVF International Conference on Computer Vision, Seoul, Republic of Korea, 27 October–2 November 2019; pp. 9577–9586. [Google Scholar]
- Fan, Q.; Zhuo, W.; Tang, C.K.; Tai, Y.W. Few-shot object detection with attention-RPN and multi-relation detector. In Proceedings of the IEEE/CVF Conference on Computer Vision and Pattern Recognition, Seattle, WA, USA, 13–19 June 2020; pp. 4013–4022. [Google Scholar]
- Li, B.; Yang, B.; Liu, C.; Liu, F.; Ji, R.; Ye, Q. Beyond max-margin: Class margin equilibrium for few-shot object detection. In Proceedings of the IEEE/CVF Conference on Computer Vision and Pattern Recognition, Nashville, TN, USA, 20–25 June 2021; pp. 7363–7372. [Google Scholar]
- Hu, H.; Bai, S.; Li, A.; Cui, J.; Wang, L. Dense relation distillation with context-aware aggregation for few-shot object detection. In Proceedings of the IEEE/CVF Conference on Computer Vision and Pattern Recognition, Nashville, TN, USA, 20–25 June 2021; pp. 10185–10194. [Google Scholar]
- Park, D.; Lee, J.M. Hierarchical attention network for few-shot object detection via meta-contrastive learning. arXiv 2022, arXiv:2208.07039. [Google Scholar]
- Yosinski, J.; Clune, J.; Bengio, Y.; Lipson, H. How transferable are features in deep neural networks? Adv. Neural Inf. Process. Syst. 2014, 27, 3320–3328. [Google Scholar]
- Donahue, J.; Jia, Y.; Vinyals, O.; Hoffman, J.; Zhang, N.; Tzeng, E.; Darrell, T. Decaf: A deep convolutional activation feature for generic visual recognition. In Proceedings of the International Conference on Machine Learning, Beijing, China, 21–26 June 2014; pp. 647–655. [Google Scholar]
- Fu, M.; Cao, Y.H.; Wu, J. Worst Case Matters for Few-Shot Recognition. In Proceedings of the European Conference on Computer Vision, Tel Aviv, Israel, 23–27 October 2022; pp. 99–115. [Google Scholar]
- Fan, Z.; Ma, Y.; Li, Z.; Sun, J. Generalized Few-Shot Object Detection Without Forgetting. In Proceedings of the IEEE/CVF Conference on Computer Vision and Pattern Recognition (CVPR), Nashville, TN, USA, 20–25 June 2021; pp. 4527–4536. [Google Scholar]
- Fei, N.; Gao, Y.; Lu, Z.; Xiang, T. Z-score normalization, hubness, and few-shot learning. In Proceedings of the IEEE/CVF International Conference on Computer Vision, Montreal, BC, Canada, 11–17 October 2021; pp. 142–151. [Google Scholar]
- Trosten, D.J.; Chakraborty, R.; Løkse, S.; Wickstrøm, K.K.; Jenssen, R.; Kampffmeyer, M.C. Hubs and Hyperspheres: Reducing Hubness and Improving Transductive Few-shot Learning with Hyperspherical Embeddings. In Proceedings of the IEEE/CVF Conference on Computer Vision and Pattern Recognition, Vancouver, BC, Canada, 17–24 June 2023; pp. 7527–7536. [Google Scholar]
- Girshick, R.; Donahue, J.; Darrell, T.; Malik, J. Rich feature hierarchies for accurate object detection and semantic segmentation. In Proceedings of the IEEE/CVF Conference on Computer Vision and Pattern Recognition, Columbus, OH, USA, 23–28 June 2014; pp. 580–587. [Google Scholar]
- Girshick, R. Fast r-cnn. In Proceedings of the IEEE/CVF International Conference on Computer Vision, Santiago, Chile, 7–13 December 2015; pp. 1440–1448. [Google Scholar]
- Lin, T.Y.; Dollár, P.; Girshick, R.; He, K.; Hariharan, B.; Belongie, S. Feature pyramid networks for object detection. In Proceedings of the IEEE/CVF Conference on Computer Vision and Pattern Recognition, Honolulu, HI, USA, 21–26 July 2017; pp. 2117–2125. [Google Scholar]
- Qiao, S.; Chen, L.C.; Yuille, A. Detectors: Detecting objects with recursive feature pyramid and switchable atrous convolution. In Proceedings of the IEEE/CVF Conference on Computer Vision and Pattern Recognition, Nashville, TN, USA, 20–25 June 2021; pp. 10213–10224. [Google Scholar]
- Liu, W.; Anguelov, D.; Erhan, D.; Szegedy, C.; Reed, S.; Fu, C.Y.; Berg, A.C. Ssd: Single shot multibox detector. In Computer Vision—ECCV 2016; Springer: Cham, Switzerland, 2016. [Google Scholar]
- Redmon, J.; Farhadi, A. YOLO9000: Better, faster, stronger. In Proceedings of the IEEE/CVF Conference on Computer Vision and Pattern Recognition, Honolulu, HI, USA, 21–26 July 2017; pp. 7263–7271. [Google Scholar]
- Bochkovskiy, A.; Wang, C.Y.; Liao, H.Y.M. Yolov4: Optimal speed and accuracy of object detection. arXiv 2020, arXiv:2004.10934. [Google Scholar]
- Tan, M.; Pang, R.; Le, Q.V. Efficientdet: Scalable and efficient object detection. In Proceedings of the IEEE/CVF Conference on Computer Vision and Pattern Recognition, Seattle, WA, USA, 13–19 June 2020; pp. 10781–10790. [Google Scholar]
- Dosovitskiy, A.; Beyer, L.; Kolesnikov, A.; Weissenborn, D.; Zhai, X.; Unterthiner, T.; Dehghani, M.; Minderer, M.; Heigold, G.; Gelly, S.; et al. An Image is Worth 16x16 Words: Transformers for Image Recognition at Scale. In Proceedings of the International Conference on Learning Representations, Addis Ababa, Ethiopia, 26–30 April 2020. [Google Scholar]
- Beal, J.; Kim, E.; Tzeng, E.; Park, D.H.; Zhai, A.; Kislyuk, D. Toward transformer-based object detection. arXiv 2020, arXiv:2012.09958. [Google Scholar]
- Liu, Z.; Lin, Y.; Cao, Y.; Hu, H.; Wei, Y.; Zhang, Z.; Lin, S.; Guo, B. Swin transformer: Hierarchical vision transformer using shifted windows. In Proceedings of the IEEE/CVF International Conference on Computer Vision, Montreal, BC, Canada, 11–17 October 2021; pp. 10012–10022. [Google Scholar]
- Zhou, D.; Kang, B.; Jin, X.; Yang, L.; Lian, X.; Jiang, Z.; Hou, Q.; Feng, J. Deepvit: Towards deeper vision transformer. arXiv 2021, arXiv:2103.11886. [Google Scholar]
- Wu, J.; Liu, S.; Huang, D.; Wang, Y. Multi-scale positive sample refinement for few-shot object detection. In Proceedings of the European Conference on Computer Vision, Glasgow, UK, 23–28 August 2020; pp. 456–472. [Google Scholar]
- Karlinsky, L.; Shtok, J.; Harary, S.; Schwartz, E.; Aides, A.; Feris, R.; Giryes, R.; Bronstein, A.M. Repmet: Representative-based metric learning for classification and few-shot object detection. In Proceedings of the IEEE/CVF Conference on Computer Vision and Pattern Recognition, Long Beach, CA, USA, 16–17 June 2019; pp. 5197–5206. [Google Scholar]
- Snell, J.; Swersky, K.; Zemel, R.S. Prototypical networks for few-shot learning. arXiv 2017, arXiv:1703.05175. [Google Scholar]
- Zhang, X.; Wang, Y.; Boularias, A. Detect Every Thing with Few Examples. arXiv 2023, arXiv:2309.12969. [Google Scholar]
- Lin, T.Y.; Goyal, P.; Girshick, R.; He, K.; Dollár, P. Focal loss for dense object detection. In Proceedings of the IEEE/CVF International Conference on Computer Vision, Venice, Italy, 22–29 October 2017; pp. 2980–2988. [Google Scholar]
- Rezatofighi, H.; Tsoi, N.; Gwak, J.; Sadeghian, A.; Reid, I.; Savarese, S. Generalized intersection over union: A metric and a loss for bounding box regression. In Proceedings of the IEEE/CVF Conference on Computer Vision and Pattern Recognition, Long Beach, CA, USA, 15–20 June 2019; pp. 658–666. [Google Scholar]
- Chen, W.Y.; Liu, Y.C.; Kira, Z.; Wang, Y.C.F.; Huang, J.B. A Closer Look at Few-shot Classification. In Proceedings of the International Conference on Learning Representations, New Orleans, LA, USA, 6–9 May 2019. [Google Scholar]
- He, K.; Zhang, X.; Ren, S.; Sun, J. Deep residual learning for image recognition. In Proceedings of the IEEE/CVF Conference on Computer Vision and Pattern Recognition, Las Vegas, NV, USA, 27–30 June 2016; pp. 770–778. [Google Scholar]
- Xiao, Y.; Lepetit, V.; Marlet, R. Few-shot object detection and viewpoint estimation for objects in the wild. IEEE Trans. Pattern Anal. Mach. Intell. 2022, 45, 3090–3106. [Google Scholar] [CrossRef] [PubMed]
- Zhang, W.; Wang, Y.X. Hallucination improves few-shot object detection. In Proceedings of the IEEE/CVF Conference on Computer Vision and Pattern Recognition, Nashville, TN, USA, 20–25 June 2021; pp. 13008–13017. [Google Scholar]








| Method/Shots | Class Split 1 | Class Split 2 | Class Split 3 | |||||||||||||
|---|---|---|---|---|---|---|---|---|---|---|---|---|---|---|---|---|
| 1 | 2 | 3 | 5 | 10 | 1 | 2 | 3 | 5 | 10 | 1 | 2 | 3 | 5 | 10 | ||
| Single | LSTD [11] | 8.2 | 1.0 | 12.4 | 29.1 | 38.5 | 11.4 | 3.8 | 5.0 | 15.7 | 31.0 | 12.6 | 8.5 | 15.0 | 27.3 | 36.3 |
| TFA w/cos [12] | 39.8 | 36.1 | 44.7 | 55.7 | 56.0 | 23.5 | 26.9 | 34.1 | 35.1 | 39.1 | 30.8 | 34.8 | 42.8 | 49.5 | 49.8 | |
| MPSR [44] | 41.7 | 43.1 | 51.4 | 55.2 | 61.8 | 24.4 | 29.5 | 39.2 | 39.3 | 47.8 | 35.6 | 40.6 | 42.3 | 48.0 | 49.7 | |
| Retentive R-CNN [29] | 42.4 | 45.8 | 45.9 | 53.7 | 56.1 | 21.7 | 27.8 | 35.2 | 37.0 | 40.3 | 30.2 | 37.6 | 43.0 | 49.7 | 50.1 | |
| TFA w/cos+Halluc [53] | 45.1 | 44.0 | 44.7 | 55.0 | 55.9 | 23.2 | 27.5 | 35.1 | 34.9 | 39.0 | 30.5 | 35.1 | 41.4 | 49.0 | 49.3 | |
| CME [23] | 41.5 | 47.5 | 50.4 | 58.2 | 60.9 | 27.2 | 30.2 | 41.4 | 42.5 | 46.8 | 34.4 | 39.6 | 45.1 | 48.3 | 51.5 | |
| SRR-FSD [13] | 47.8 | 50.5 | 51.3 | 55.2 | 56.8 | 32.5 | 35.3 | 39.1 | 40.8 | 43.8 | 40.1 | 41.5 | 44.3 | 46.9 | 46.4 | |
| FSCE [15] | 44.2 | 43.8 | 51.4 | 61.9 | 63.4 | 27.3 | 29.5 | 43.5 | 44.2 | 50.2 | 37.2 | 41.9 | 47.5 | 54.6 | 58.5 | |
| Meta-DETR [18] * | 47.7 | 57.1 | 63.3 | 63.1 | 67.1 | 37.1 | 41.2 | 43.6 | 49.1 | 54.6 | 44.3 | 48.6 | 61.2 | 65.3 | 68.6 | |
| Ours | 43.9 | 57.3 | 64.0 | 64.6 | 69.8 | 35.7 | 37.4 | 46.7 | 49.0 | 57.6 | 44.6 | 53.0 | 65.0 | 67.0 | 69.1 | |
| Multiple | Deformable-DETR-ft-full [10] | 5.6 | 13.3 | 21.7 | 34.2 | 45.0 | 10.9 | 13.0 | 18.4 | 27.3 | 39.4 | 7.3 | 16.6 | 20.8 | 32.2 | 41.8 |
| TFA w/cos [12] | 25.3 | 36.4 | 42.1 | 47.9 | 52.8 | 18.3 | 27.5 | 30.9 | 34.1 | 39.5 | 17.9 | 27.2 | 34.3 | 40.8 | 45.6 | |
| FsDetView [52] | 24.2 | 35.3 | 42.2 | 49.1 | 57.4 | 21.6 | 24.6 | 31.9 | 37.0 | 45.7 | 21.2 | 30.0 | 37.2 | 43.8 | 49.6 | |
| MPSR [44] | 34.7 | 42.6 | 46.1 | 49.4 | 56.7 | 22.6 | 30.5 | 31.0 | 36.7 | 43.3 | 27.5 | 32.5 | 38.2 | 44.6 | 50.5 | |
| DCNet [24] | 33.9 | 37.4 | 43.7 | 51.1 | 59.6 | 23.2 | 24.8 | 30.6 | 36.7 | 46.6 | 32.3 | 34.9 | 39.7 | 42.6 | 50.7 | |
| FSCE [15] | 32.9 | 44.0 | 46.8 | 52.9 | 59.7 | 23.7 | 30.6 | 38.4 | 43.0 | 48.5 | 22.6 | 33.4 | 39.5 | 47.3 | 54.0 | |
| Meta-DETR [18] * | 37.8 | 52.3 | 56.1 | 60.7 | 65.5 | 28.5 | 35.3 | 40.2 | 44.1 | 53.7 | 36.1 | 45.2 | 52.6 | 60.4 | 66.0 | |
| Ours | 36.3 | 52.8 | 59.7 | 62.2 | 68.3 | 27.1 | 32.2 | 39.7 | 43.3 | 53.3 | 34.5 | 48.8 | 57.4 | 61.2 | 67.4 | |
| Method/Shots | Class Split 1 | Class Split 2 | Class Split 3 | |||||||||||||
|---|---|---|---|---|---|---|---|---|---|---|---|---|---|---|---|---|
| 1 | 2 | 3 | 5 | 10 | 1 | 2 | 3 | 5 | 10 | 1 | 2 | 3 | 5 | 10 | ||
| Single | Meta-DETR * | 47.6 | 55.7 | 57.3 | 58.7 | 60.3 | 39.9 | 42.8 | 45.0 | 47.0 | 50.8 | 49.4 | 55.3 | 58.2 | 60.8 | 64.7 |
| Ours | 48.9 | 56.2 | 58.5 | 59.2 | 62.4 | 41.4 | 44.4 | 46.1 | 49.1 | 54.5 | 54.5 | 59.2 | 63.5 | 64.0 | 67.5 | |
| Multiple | Meta-DETR * | 43.7 | 52.7 | 53.4 | 57.0 | 58.9 | 33.9 | 38.5 | 41.4 | 44.3 | 49.4 | 43.4 | 50.8 | 54.8 | 59.9 | 61.9 |
| Ours | 44.6 | 52.9 | 56.9 | 58.2 | 61.6 | 36.9 | 40.7 | 44.9 | 46.7 | 51.7 | 48.2 | 55.2 | 59.9 | 61.7 | 65.1 | |
| Method/Shots | Class Split 1 | Class Split 2 | Class Split 3 | ||||||||||||
|---|---|---|---|---|---|---|---|---|---|---|---|---|---|---|---|
| 1 | 2 | 3 | 5 | 10 | 1 | 2 | 3 | 5 | 10 | 1 | 2 | 3 | 5 | 10 | |
| Meta-DETR | 33.7 | 8.2 | 11.9 | 2.7 | 1.3 | 24.5 | 13.7 | 24.8 | 10.3 | 10.0 | 26.0 | 7.5 | 20.8 | 13.3 | 2.1 |
| Ours | 19.4 | 16.1 | 3.8 | 1.8 | 1.1 | 19.6 | 10.1 | 12.2 | 9.9 | 6.1 | 25.1 | 13.9 | 15.7 | 12.1 | 1.3 |
| Method/Shots | Base Classes | Novel Classes | ||||||
|---|---|---|---|---|---|---|---|---|
| 01 | 03 | 05 | 10 | 01 | 03 | 05 | 10 | |
| Meta-YOLO [20] | 66.4 | 64.8 | 63.4 | 63.6 | 14.8 | 26.7 | 33.9 | 47.2 |
| FsDetView [52] † | 64.2 | 69.2 | 69.8 | 71.1 | 24.2 | 42.2 | 49.1 | 57.4 |
| TFA w/cos [12] † | 77.6 | 77.3 | 77.4 | 77.5 | 25.3 | 42.1 | 47.9 | 52.9 |
| MPSR [44] † | 60.6 | 65.9 | 68.2 | 69.8 | 34.7 | 46.1 | 49.4 | 56.7 |
| FSCE [15] † | 75.5 | 73.7 | 75.0 | 75.2 | 32.9 | 46.8 | 52.9 | 59.7 |
| Meta-DETR † | 67.2 | 70.0 | 73.0 | 73.5 | 37.8 | 56.1 | 60.7 | 65.5 |
| Ours † | 78.4 | 83.7 | 86.8 | 88.5 | 36.3 | 59.7 | 62.2 | 68.3 |
| SN | ZN | mAP@0.5 | mAR | |||||||||
|---|---|---|---|---|---|---|---|---|---|---|---|---|
| 01 | 02 | 03 | 05 | 10 | 01 | 02 | 03 | 05 | 10 | |||
| Single | 44.3 | 48.6 | 61.2 | 65.3 | 68.6 | 49.4 | 55.3 | 58.2 | 60.8 | 64.7 | ||
| ✓ | 53.6 | 49.8 | 56.5 | 64.3 | 67.0 | 55.1 | 59.0 | 58.0 | 61.0 | 64.7 | ||
| ✓ | 43.5 | 50.2 | 61.5 | 59.1 | 68.2 | 51.3 | 58.9 | 60.6 | 61.6 | 65.2 | ||
| ✓ | ✓ | 44.6 | 53.0 | 65.0 | 67.0 | 69.1 | 54.5 | 59.2 | 63.5 | 64.0 | 67.5 | |
| Multiple | 36.1 | 45.2 | 52.6 | 60.4 | 66.0 | 43.4 | 50.8 | 54.8 | 59.9 | 61.9 | ||
| ✓ | 41.8 | 45.7 | 51.1 | 58.7 | 65.8 | 48.8 | 53.1 | 55.1 | 59.5 | 62.8 | ||
| ✓ | 34.0 | 44.7 | 55.9 | 55.0 | 65.2 | 48.8 | 54.2 | 58.0 | 60.1 | 63.7 | ||
| ✓ | ✓ | 34.5 | 48.8 | 57.4 | 61.2 | 67.4 | 48.2 | 55.2 | 59.9 | 61.7 | 65.1 | |
| SN | ZN | mAP@0.5 | mAR | ||||||||
|---|---|---|---|---|---|---|---|---|---|---|---|
| 01 | 02 | 03 | 05 | 10 | 01 | 02 | 03 | 05 | 10 | ||
| 63.1 | 75.9 | 77.1 | 85.9 | 85.4 | 55.2 | 63.3 | 62.8 | 70.4 | 70.6 | ||
| ✓ | 82.3 | 88.3 | 87.0 | 90.6 | 90.9 | 67.7 | 73.3 | 72.4 | 75.6 | 75.1 | |
| ✓ | ✓ | 78.8 | 87.9 | 88.0 | 89.4 | 90.4 | 67.9 | 73.0 | 72.4 | 74.4 | 74.5 |
Disclaimer/Publisher’s Note: The statements, opinions and data contained in all publications are solely those of the individual author(s) and contributor(s) and not of MDPI and/or the editor(s). MDPI and/or the editor(s) disclaim responsibility for any injury to people or property resulting from any ideas, methods, instructions or products referred to in the content. |
© 2024 by the authors. Licensee MDPI, Basel, Switzerland. This article is an open access article distributed under the terms and conditions of the Creative Commons Attribution (CC BY) license (https://creativecommons.org/licenses/by/4.0/).
Share and Cite
Ren, Y.; Yang, M.; Han, Y.; Li, W. Towards Stabilized Few-Shot Object Detection with Less Forgetting via Sample Normalization. Sensors 2024, 24, 3456. https://doi.org/10.3390/s24113456
Ren Y, Yang M, Han Y, Li W. Towards Stabilized Few-Shot Object Detection with Less Forgetting via Sample Normalization. Sensors. 2024; 24(11):3456. https://doi.org/10.3390/s24113456
Chicago/Turabian StyleRen, Yang, Menglong Yang, Yanqiao Han, and Weizheng Li. 2024. "Towards Stabilized Few-Shot Object Detection with Less Forgetting via Sample Normalization" Sensors 24, no. 11: 3456. https://doi.org/10.3390/s24113456
APA StyleRen, Y., Yang, M., Han, Y., & Li, W. (2024). Towards Stabilized Few-Shot Object Detection with Less Forgetting via Sample Normalization. Sensors, 24(11), 3456. https://doi.org/10.3390/s24113456
