Printed Thick Film Resistance Temperature Detector for Real-Time Tube Furnace Temperature Monitoring
Abstract
1. Introduction
2. Materials and Methods
2.1. Experimental Materials
2.2. Real-Time Monitoring Strategy for the Tube Furnace
2.3. Preparation Process of Ag Thick Film RTD
2.4. Experimental Setup
2.5. Characterization Techniques
3. Results and Discussion
3.1. Characterisation of the Ag RTD
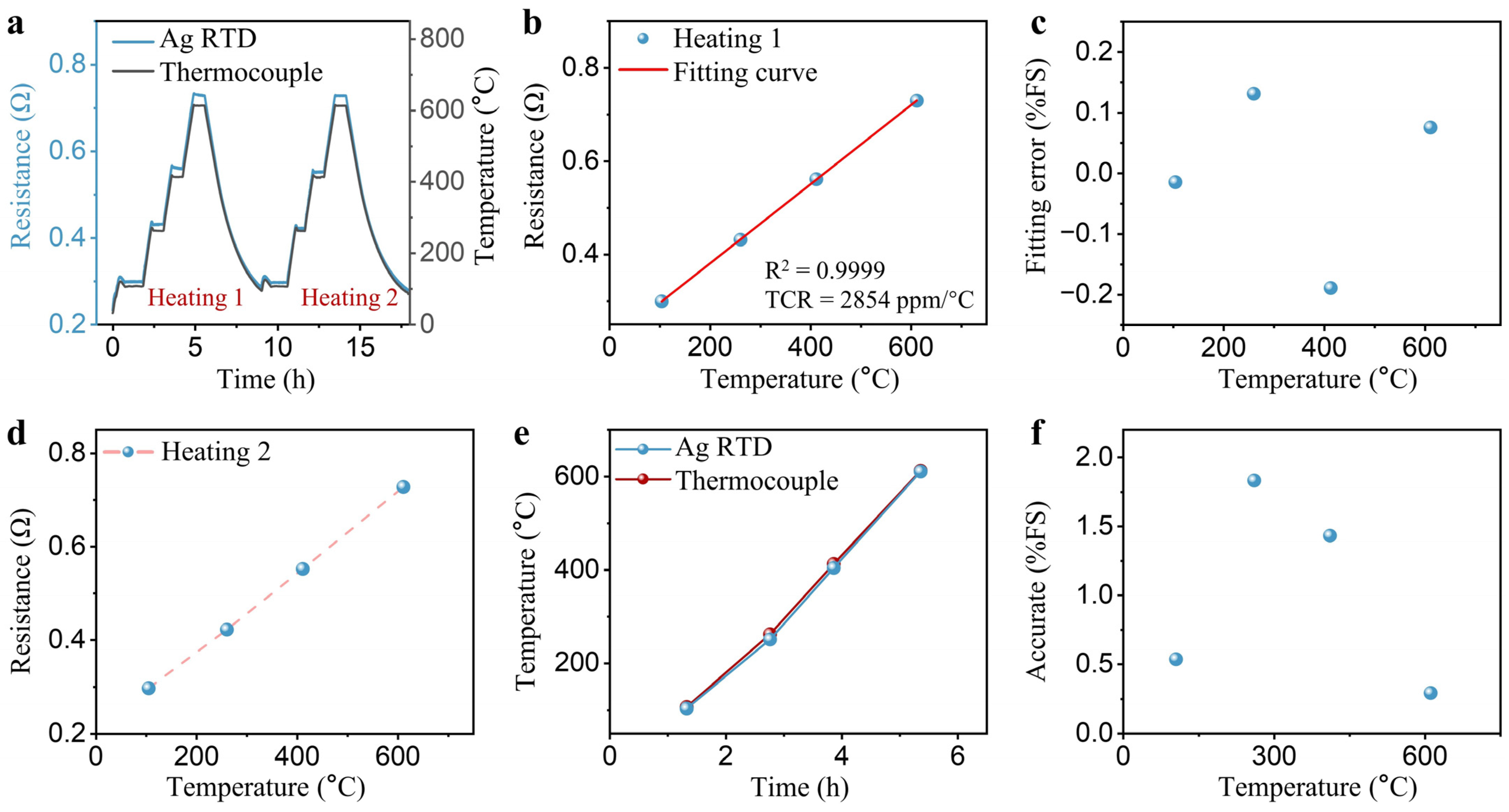
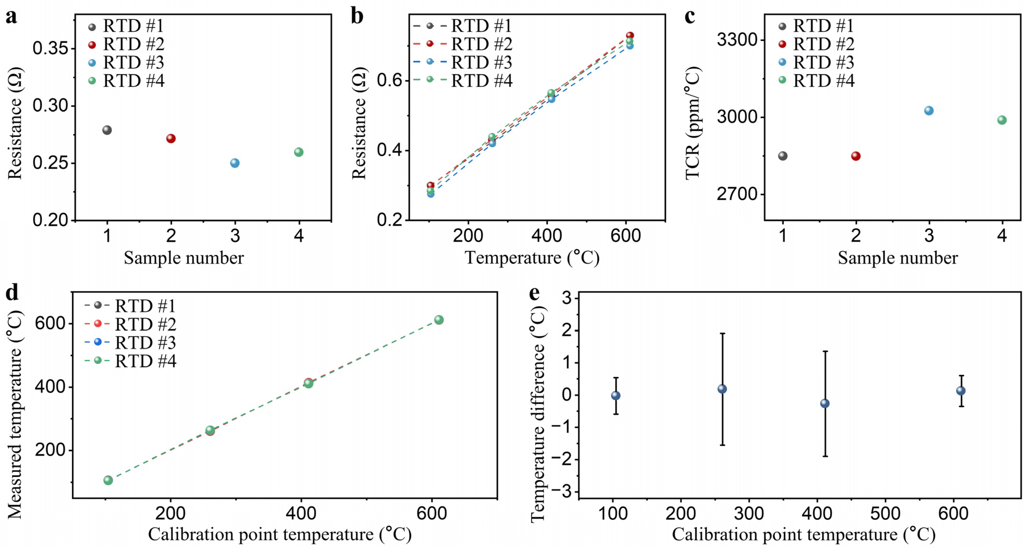
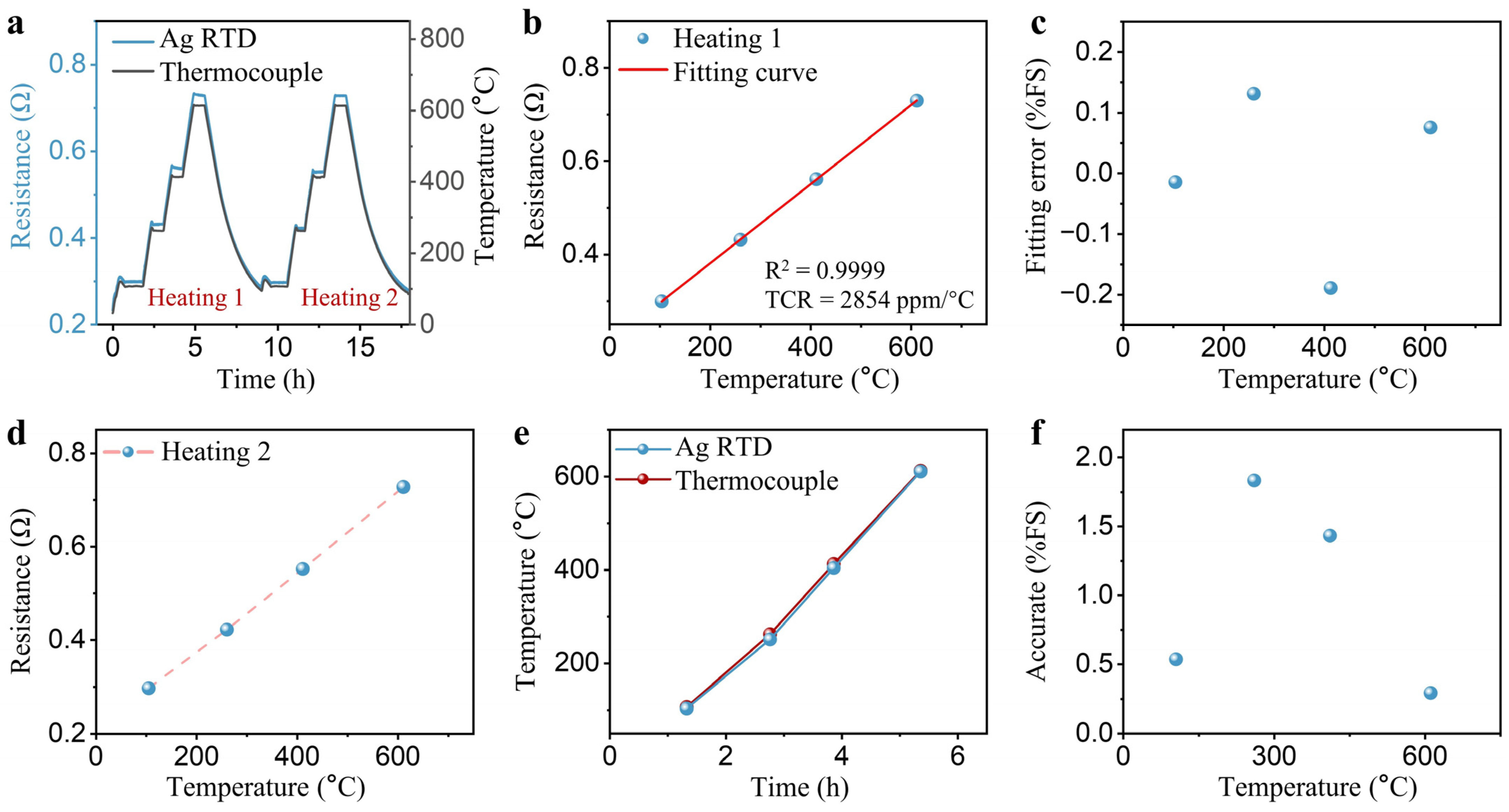
3.2. Calibration and Verification of Ag RTDs
3.3. Application of Ag RTDs in Temperature Monitoring of Tube Furnace
4. Conclusions
- (1)
- The Ag RTD temperature measurement rings were fabricated on curved substrates using screen printing technology. The microstructure characterization results indicate that the prepared Ag film on the substrate was continuous, without any detachment or delamination phenomena;
- (2)
- The fabricated Ag RTDs exhibit excellent electrical properties, including a TCR of 2854 ppm/°C across the range of 100–600 °C, a remarkable accuracy of 1.8% FS, and a high-temperature stability of 0.05%/h over a 6-h period at 600 °C. Furthermore, its response time under the same testing conditions was 0.5 min faster than that of commercial sheathed thermocouples;
- (3)
- The developed Ag RTD temperature measuring ring was applied to real-time temperature monitoring of a tube furnace. The results show that four Ag RTDs with a spacing of 4 cm at different locations can distinguish different temperatures. Ag RTDs demonstrated the ability to accurately monitor temperatures for batch annealing processes. The AgPd alloys were sintered at the corresponding position, exhibiting different resistivity, demonstrating the accurate temperature monitoring capability of the Ag RTDs.
Author Contributions
Funding
Data Availability Statement
Conflicts of Interest
References
- Kumar, M.M.; Joshna, K.; Markendeya, R.; Rawat, M.S. Effect of steamside oxidation and fireside corrosion degradation processes on creep life of service exposed boiler tubes. Int. J. Press. Vessel. Pip. 2016, 144, 45–48. [Google Scholar] [CrossRef]
- Nash, C.; Karve, P.; Adams, D. Diagnosing nuclear power plant pipe wall thinning due to flow accelerated corrosion using a passive, thermal non-destructive evaluation method: Feasibility assessment via numerical experiments. Nucl. Eng. Des. 2022, 386, 111542. [Google Scholar] [CrossRef]
- Cheng, Z.; Foroughi, P.; Behrens, A. Synthesis of nanocrystalline TaC powders via single-step high temperature spray pyrolysis from solution precursors. Ceram. Int. 2017, 43, 3431–3434. [Google Scholar] [CrossRef]
- Sharma, R.; Rana, D.S.; Gupta, N.; Thakur, S.; Thakur, K.K.; Singh, D. Parthenium hysterophorus derived nanostructures as an efficient carbocatalyst for the electrochemical sensing of mercury(II) ions. Chemosphere 2024, 354, 141591. [Google Scholar] [CrossRef] [PubMed]
- Ali, W.; Ullah, H.; Zada, A.; Muhammad, W.; Ali, S.; Shaheen, S.; Alamgir, M.K.; Ansar, M.Z.; Khan, Z.U.; Bilal, H.; et al. Synthesis of TiO2 modified self-assembled honeycomb ZnO/SnO2 nanocomposites for exceptional photocatalytic degradation of 2,4-dichlorophenol and bisphenol A. Sci. Total Environ. 2020, 746, 141291. [Google Scholar] [CrossRef] [PubMed]
- Li, M.; Wong, J.; Wang, E.-C.; Rodriguez, J.; Duttagupta, S.; Samudra, G.; Aberle, A.G.; Stangl, R. Predictive simulation framework for boron diffused p+ layer optimization: Sensitivity analysis of boron tube diffusion process parameters of industrial n-type silicon wafer solar cells. Sol. Energy Mater. Sol. Cells 2019, 189, 63–74. [Google Scholar] [CrossRef]
- Sarker, M.R.H.; Karim, H.; Martinez, R.; Love, N.; Lin, Y. A Lithium Niobate High-Temperature Sensor for Energy System Applications. IEEE Sens. J. 2016, 16, 5883–5888. [Google Scholar] [CrossRef]
- Chen, X.; Wang, X.; Sun, W.; Jiang, C.; Xie, J.; Wu, Y.; Jin, Q. Integrated interdigital electrode and thermal resistance micro-sensors for electric vehicle battery coolant conductivity high-precision measurement. J. Energy Storage 2023, 58, 106402. [Google Scholar] [CrossRef]
- Zheng, Q.; Furushima, T. Evaluation of high-temperature tensile behavior for metal foils by a novel resistance heating assisted tensile testing system using samples with optimized structures. J. Mater. Sci. Technol. 2021, 94, 216–229. [Google Scholar] [CrossRef]
- Sebastián, E.; Armiens, C.; Gómez-Elvira, J.; Zorzano, M.P.; Martinez-Frias, J.; Esteban, B.; Ramos, M. The Rover Environmental Monitoring Station Ground Temperature Sensor: A Pyrometer for Measuring Ground Temperature on Mars. Sensors 2010, 10, 9211–9231. [Google Scholar] [CrossRef]
- Vangaever, S.; Reyniers, P.A.; Symoens, S.H.; Ristic, N.D.; Djokic, M.R.; Marin, G.B.; Van Geem, K.M. Pyrometer-based control of a steam cracking furnace. Chem. Eng. Res. Des. 2020, 153, 380–390. [Google Scholar] [CrossRef]
- Tian, X.; Wang, C.; Dou, H.; Wu, L. Photoluminescence origin and non-contact thermometric properties in Pb2+-activated CaZrO3 perovskite phosphor. J. Alloys Compd. 2022, 892, 162250. [Google Scholar] [CrossRef]
- Manara, J.; Zipf, M.; Stark, T.; Arduini, M.; Ebert, H.P.; Tutschke, A.; Hallam, A.; Hanspal, J.; Langley, M.; Hodge, D.; et al. Long wavelength infrared radiation thermometry for non-contact temperature measurements in gas turbines. Infrared Phys. Technol. 2017, 80, 120–130. [Google Scholar] [CrossRef]
- Xie, Z.; Zhang, Y.; Hu, Z.; Bai, H. Note: Vignetting calibration and temperature correction for casting billets. Rev. Sci. Instrum. 2013, 84, 096106. [Google Scholar] [CrossRef]
- Levendis, Y.A.; Joshi, K.; Khatami, R.; Sarofim, A.F. Combustion behavior in air of single particles from three different coal ranks and from sugarcane bagasse. Combust. Flame 2011, 158, 452–465. [Google Scholar] [CrossRef]
- Osterkamp, T.E. Mercury-in-Glass Thermometers for Precise Temperature Measurements Near 0 °C. J. Glaciol. 1979, 22, 385–388. [Google Scholar] [CrossRef][Green Version]
- Kim, T.J.; Davis, K.L.; Liu, Y.; Bredemann, J.R.; Ma, Z.; Anderson, M.; Corradini, M.L. Development of a Stable High-Temperature Diamond Thermistor Using Enhanced Supporting Designs. IEEE Sens. J. 2019, 19, 6587–6594. [Google Scholar] [CrossRef]
- Tripathy, H.P.; Bej, D.; Pattanaik, P.; Mishra, D.K.; Kamilla, S.K.; Tripathy, R.K. Measurement of Zone Temperature Profile of a Resistive Heating Furnace Through RVM Model. IEEE Sens. J. 2018, 18, 4429–4435. [Google Scholar] [CrossRef]
- Zhang, N.; Lin, C.-M.; Senesky, D.G.; Pisano, A.P. Temperature sensor based on 4H-silicon carbide pn diode operational from 20 °C to 600 °C. Appl. Phys. Lett. 2014, 104, 073504. [Google Scholar] [CrossRef]
- Basov, M. Schottky diode temperature sensor for pressure sensor. Sens. Actuators A Phys. 2021, 331, 112930. [Google Scholar] [CrossRef]
- Cahoon, C.; Baker, R.J. Low-Voltage CMOS Temperature Sensor Design Using Schottky Diode-Based References. In Proceedings of the 2008 IEEE Workshop on Microelectronics and Electron Devices, Boise, ID, USA, 18 April 2008; pp. 16–19. [Google Scholar]
- Li, D.; Wang, Y. Thermally Stable Wireless Patch Antenna Sensor for Strain and Crack Sensing. Sensors 2020, 20, 3835. [Google Scholar] [CrossRef]
- Liu, Z.; Tian, B.; Jiang, Z.; Li, S.; Lei, J.; Zhang, Z.; Liu, J.; Shi, P.; Lin, Q. Flexible temperature sensor with high sensitivity ranging from liquid nitrogen temperature to 1200 °C. Int. J. Extrem. Manuf. 2023, 5, 015601. [Google Scholar] [CrossRef]
- Niu, Y.Y.; Dong, H.L.; Wang, H.Y.; Liu, T.; Li, X.P.; Tan, Q.L.; Xiong, J.J. Design and performance evaluation of an all-ceramic high-temperature test sensor. J. Alloys Compd. 2023, 938, 168561. [Google Scholar] [CrossRef]
- Jiang, X.C.; Dong, Z.Y.; Miao, X.D.; Wang, K.; Yao, F.; Gao, Z.Q.; Mi, B.X.; Yi, Y.P.; Yang, G.Q.; Qian, Y. Fabrication of Flexible High-Temperature Film Thermometers and Heat-Resistant OLEDs Using Novel Hot Exciton Organic Fluorophores. Adv. Funct. Mater. 2022, 32, 2205697. [Google Scholar] [CrossRef]
- Yan, Z.-Y.; Liu, J.-Y.; Niu, J.-R. Research of a Novel Ag Temperature Sensor Based on Fabric Substrate Fabricated by Magnetron Sputtering. Materials 2021, 14, 6014. [Google Scholar] [CrossRef]
- Can, T.T.T.; Choi, W.-S. Stacked printed MoS2 and Ag electrodes using electrohydrodynamic jet printing for thin-film transistors. Sci. Rep. 2022, 12, 22469. [Google Scholar] [CrossRef]
- Albrecht, A.; Salmeron, J.F.; Becherer, M.; Lugli, P.; Rivadeneyra, A. Screen-Printed Chipless Wireless Temperature Sensor. IEEE Sens. J. 2019, 19, 12011–12015. [Google Scholar] [CrossRef]
- Shao, L.; Zhao, X.H.; Gu, S.P.; Ma, Y.P.; Liu, Y.; Deng, X.W.; Jiang, H.C.; Zhang, W.L. Pt thin-film resistance temperature detector on flexible Hastelloy tapes. Vacuum 2021, 184, 109966. [Google Scholar] [CrossRef]
- Proença, M.; Borges, J.; Rodrigues, M.S.; Meira, D.I.; Sampaio, P.; Dias, J.P.; Pedrosa, P.; Martin, N.; Bundaleski, N.; Teodoro, O.M.N.D.; et al. Nanocomposite thin films based on Au-Ag nanoparticles embedded in a CuO matrix for localized surface plasmon resonance sensing. Appl. Surf. Sci. 2019, 484, 152–168. [Google Scholar] [CrossRef]
- He, Y.P.; Chen, H.Y.; Li, L.L.; Liu, J.; Guo, M.C.; Su, Z.X.; Duan, B.W.; Zhao, Y.; Sun, D.H.; Hai, Z.Y. Electrohydrodynamic Printed Ultramicro AgNPs Thin-Film Temperature Sensor. IEEE Sens. J. 2023, 23, 21018–21028. [Google Scholar] [CrossRef]
- Tang, T.Y.; Dacha, P.; Haase, K.; Kress, J.; Hänisch, C.; Perez, J.; Krupskaya, Y.; Tahn, A.; Pohl, D.; Schneider, S.; et al. Analysis of the Annealing Budget of Metal Oxide Thin-Film Transistors Prepared by an Aqueous Blade-Coating Process. Adv. Funct. Mater. 2023, 33, 202207966. [Google Scholar] [CrossRef]
- Zhao, N.; Tan, Q.L.; Dong, H.L.; Pang, J.Q.; Wang, X.; Zhang, J.; Yao, X. Design and Fabrication of Thermocouple Sensors Based on a Ceramic Curved Alumina Substrate. IEEE Sens. J. 2021, 21, 19780–19788. [Google Scholar] [CrossRef]
- Sun, Q.; Qi, Y.; Li, M.; Xu, H.; Li, Y. Synthesis of PVZ glass and its improvement on mechanical and electrical properties of low temperature sintered silver paste. J. Mater. Sci. Mater. Electron. 2020, 31, 8086–8098. [Google Scholar] [CrossRef]
- Yang, J.; Zhao, H.; Sha, H.; Li, J.; Zhao, L.; Chen, J.; Yu, B.; Zhang, F. Improvement of high-temperature resistance of the Ag-based multilayer films deposited by magnetron sputtering. Mater. Lett. 2014, 118, 62–65. [Google Scholar] [CrossRef]
- Zhang, Z.; Li, Q.C.; Xu, L.Z.; Tian, W.H.; Li, Z.P. High-Performance Flexible Temperature Sensors Based on Laser-Irradiated Ag-MWCNTs/PEDOT:PSS. ACS Appl. Mater. Interfaces 2024, 16, 6078–6087. [Google Scholar] [CrossRef]
- Liu, H.; Mao, X.; Cui, J.; Jiang, S.; Zhang, W. Influence of a heterolayered Al2O3–ZrO2/Al2O3 ceramic protective overcoat on the high temperature performance of PdCr thin film strain gauges. Ceram. Int. 2019, 45, 16489–16495. [Google Scholar] [CrossRef]
- Zeng, Y.; Chen, G.; Wu, C.; Pan, X.; Lin, F.; Xu, L.; Zhao, F.; He, Y.; He, G.; Chen, Q.; et al. Thin-Film Platinum Resistance Temperature Detector with a SiCN/Yttria-Stabilized Zirconia Protective Layer by Direct Ink Writing for High-Temperature Applications. ACS Appl. Mater. Interfaces 2023, 15, 2172–2182. [Google Scholar] [CrossRef]
- Wu, C.; Lin, F.; Pan, X.; Chen, G.; Zeng, Y.; Xu, L.; He, Y.; Chen, Q.; Sun, D.; Hai, Z. Abnormal Graphitization Behavior in Near-Surface/Interface Region of Polymer-Derived Ceramics. Small 2023, 19, 2206628. [Google Scholar] [CrossRef] [PubMed]
- Paknejad, S.A.; Mansourian, A.; Greenberg, J.; Khtatba, K.; Van Parijs, L.; Mannan, S.H. Microstructural evolution of sintered silver at elevated temperatures. Microelectron. Reliab. 2016, 63, 125–133. [Google Scholar] [CrossRef]
- Liu, Y.C.; Zhang, L.Y.; Yu, X.L.; Li, W.C.; Li, J.P.; Gan, G.Y. The silver paste containing ZnO-B2O3-SiO2 glass sintered at high temperature with low solid content formed high performance conductive thick film on MgTiO3 microwave ceramics. Mater. Res. Express 2023, 10, 045201. [Google Scholar] [CrossRef]
- Wu, H.; Tian, Y.; Luo, H.; Zhu, H.; Duan, Y.; Huang, Y. Fabrication Techniques for Curved Electronics on Arbitrary Surfaces. Adv. Mater. Technol. 2020, 5, 2000093. [Google Scholar] [CrossRef]
- Zeng, Y.; Chen, G.; Zhao, F.; Wu, C.; Xu, L.; Pan, X.; Lin, F.; Li, L.; He, G.; Chen, Q.; et al. 3D printing of high-temperature thick film platinum resistance temperature detector array. Addit. Manuf. 2023, 73, 103654. [Google Scholar] [CrossRef]
- Zeng, Y.; Chen, G.; Zhao, F.; Xu, L.; Fu, Y.; Wu, C.; Shao, C.; He, G.; Chen, Q.; Zhao, Y.; et al. All-Three-Dimensionally-Printed AgPd Thick-Film Strain Gauge with a Glass–Ceramic Protective Layer for High-Temperature Applications. ACS Appl. Mater. Interfaces 2023, 15, 48395–48405. [Google Scholar] [CrossRef]
- Wu, C.; Fu, Y.; Pan, X.; Zeng, Y.; Chen, G.; Lin, F.; Chen, Q.; Sun, D.; Hai, Z. High-Tolerance Thin-Film Solder Joints for Electrical Interconnection in Harsh Environments. IEEE Sens. J. 2023, 23, 11532–11539. [Google Scholar] [CrossRef]
- Mundotiya, B.M.; Rissing, L.; Wurz, M.C. Effect of Annealing Temperature on the Coercivity and the Electrical resistivity of the Electroplated Ni-Fe-W alloy film. ECS Trans. 2016, 75, 59–65. [Google Scholar] [CrossRef]







Disclaimer/Publisher’s Note: The statements, opinions and data contained in all publications are solely those of the individual author(s) and contributor(s) and not of MDPI and/or the editor(s). MDPI and/or the editor(s) disclaim responsibility for any injury to people or property resulting from any ideas, methods, instructions or products referred to in the content. |
© 2024 by the authors. Licensee MDPI, Basel, Switzerland. This article is an open access article distributed under the terms and conditions of the Creative Commons Attribution (CC BY) license (https://creativecommons.org/licenses/by/4.0/).
Share and Cite
Hai, Z.; Su, Z.; Zhu, K.; Pan, Y.; Luo, S. Printed Thick Film Resistance Temperature Detector for Real-Time Tube Furnace Temperature Monitoring. Sensors 2024, 24, 2999. https://doi.org/10.3390/s24102999
Hai Z, Su Z, Zhu K, Pan Y, Luo S. Printed Thick Film Resistance Temperature Detector for Real-Time Tube Furnace Temperature Monitoring. Sensors. 2024; 24(10):2999. https://doi.org/10.3390/s24102999
Chicago/Turabian StyleHai, Zhenyin, Zhixuan Su, Kaibo Zhu, Yue Pan, and Suying Luo. 2024. "Printed Thick Film Resistance Temperature Detector for Real-Time Tube Furnace Temperature Monitoring" Sensors 24, no. 10: 2999. https://doi.org/10.3390/s24102999
APA StyleHai, Z., Su, Z., Zhu, K., Pan, Y., & Luo, S. (2024). Printed Thick Film Resistance Temperature Detector for Real-Time Tube Furnace Temperature Monitoring. Sensors, 24(10), 2999. https://doi.org/10.3390/s24102999
