Dual Tasking Affects the Outcomes of Instrumented Timed up and Go, Sit-to-Stand, Balance, and 10-Meter Walk Tests in Stroke Survivors
Abstract
1. Introduction
2. Materials and Methods
2.1. Participants
2.2. Study Approach
2.2.1. Procedure for Clinical Tests
2.2.2. Experimental Design and Independent Factors
2.3. Data and Statistical Analysis
- TUG: Total Time (s), Steps toward Cone, and Steps toward Chair
- STS: Total Time (s)
- Balance Test (open eyes): Thorax Linear Acc (m/s2), Pelvic Linear Acc (m/s2), Right Thigh Linear Acc (m/s2), and Left Thigh Linear Acc (m/s2)
- Balance Test (closed eyes): Thorax Linear Acc (m/s2), Pelvic Linear Acc (m/s2), Right Thigh Linear Acc (m/s2), and Left Thigh Linear Acc (m/s2)
- 10MWT: Walk Time (s), Step, and Cadence (step/min)
3. Results
4. Discussion
5. Conclusions
Author Contributions
Funding
Institutional Review Board Statement
Informed Consent Statement
Data Availability Statement
Conflicts of Interest
References
- About Stroke. Available online: https://www.strokeassociation.org/ (accessed on 5 June 2019).
- Abdollahi, M.; Rashedi, E.; Jahangiri, S.; Kuber, P.M.; Azadeh-Fard, N.; Dombovy, M. Fall Risk Assessment in Stroke Survivors: A Machine Learning Model Using Detailed Motion Data from Common Clinical Tests and Motor-Cognitive Dual-Tasking. Sensors 2024, 24, 812. [Google Scholar] [CrossRef] [PubMed]
- Gama, G.L.; Celestino, M.L.; Barela, J.A.; Barela, A.M.F. Gait Initiation and Partial Body Weight Unloading for Functional Improvement in Post-Stroke Individuals. Gait Posture 2019, 68, 305–310. [Google Scholar] [CrossRef]
- Trialists, O.S.; Legg, L.A. Therapy-based Rehabilitation Services for Stroke Patients at Home. Cochrane Database Syst. Rev. 2003, 2003, CD002925. [Google Scholar]
- Winstein, C.J.; Stein, J.; Arena, R.; Bates, B.; Cherney, L.R.; Cramer, S.C.; Deruyter, F.; Eng, J.J.; Fisher, B.; Harvey, R.L. Guidelines for Adult Stroke Rehabilitation and Recovery: A Guideline for Healthcare Professionals from the American Heart Association/American Stroke Association. Stroke 2016, 47, e98–e169. [Google Scholar] [CrossRef] [PubMed]
- Cheng, D.K.-Y.; Dagenais, M.; Alsbury-Nealy, K.; Legasto, J.M.; Scodras, S.; Aravind, G.; Takhar, P.; Nekolaichuk, E.; Salbach, N.M. Distance-Limited Walk Tests Post-Stroke: A Systematic Review of Measurement Properties 1. NeuroRehabilitation 2021, 48, 413–439. [Google Scholar] [CrossRef] [PubMed]
- Cheng, P.-T.; Liaw, M.-Y.; Wong, M.-K.; Tang, F.-T.; Lee, M.-Y.; Lin, P.-S. The Sit-to-Stand Movement in Stroke Patients and Its Correlation with Falling. Arch. Phys. Med. Rehabil. 1998, 79, 1043–1046. [Google Scholar] [CrossRef] [PubMed]
- dos Santos, R.B.; Fiedler, A.; Badwal, A.; Legasto-Mulvale, J.M.; Sibley, K.M.; Olaleye, O.A.; Diermayr, G.; Salbach, N.M. Standardized Tools for Assessing Balance and Mobility in Stroke Clinical Practice Guidelines Worldwide: A Scoping Review. Front. Rehabil. Sci. 2023, 4, 1084085. [Google Scholar] [CrossRef]
- Bobby, N. Evaluating the Effectiveness of Dual Task Training in Improving Cognitive and Motor Functions in Stroke Patients Evaluating the Effectiveness of Dual Task Training in Improving Cognitive and Motor Functions in Stroke Patients. Int. J. Yoga Physiother. Phys. Educ. 2023, 8, 8–13. [Google Scholar]
- Vance, R.C.; Healy, D.G.; Galvin, R.; French, H.P. Dual Tasking with the Timed “Up & Go” Test Improves Detection of Risk of Falls in People with Parkinson Disease. Phys. Ther. 2015, 95, 95–102. [Google Scholar] [CrossRef]
- Christopher, A.; Kraft, E.; Olenick, H.; Kiesling, R.; Doty, A. The Reliability and Validity of the Timed Up and Go as a Clinical Tool in Individuals with and without Disabilities across a Lifespan: A Systematic Review: Psychometric Properties of the Timed Up and Go. Disabil. Rehabil. 2021, 43, 1799–1813. [Google Scholar] [CrossRef]
- Abdollahi, M.; Rashedi, E.; Kuber, P.M.; Jahangiri, S.; Kazempour, B.; Dombovy, M.; Azadeh-fard, N. Post-Stroke Functional Changes: In-Depth Analysis of Clinical Tests and Motor-Cognitive Dual-Tasking Using Wearable Sensors. Bioengineering 2024, 11, 349. [Google Scholar] [CrossRef] [PubMed]
- Mao, Y.R.; Wu, X.Q.; Zhao, J.L.; Lo, W.L.A.; Chen, L.; Ding, M.H.; Xu, Z.Q.; Bian, R.H.; Huang, D.F.; Li, L. The Crucial Changes of Sit-to-Stand Phases in Subacute Stroke Survivors Identified by Movement Decomposition Analysis. Front. Neurol. 2018, 9, 185. [Google Scholar] [CrossRef] [PubMed]
- Zhang, M.; Liang, Z.; Li, Y.; Meng, J.; Jiang, X.; Xu, B.; Li, H.; Liu, T. The Effect of Balance and Gait Training on Specific Balance Abilities of Survivors with Stroke: A Systematic Review and Network Meta-Analysis. Front. Neurol. 2023, 14, 1234017. [Google Scholar] [CrossRef] [PubMed]
- Tasseel-Ponche, S.; Roussel, M.; Toba, M.N.; Sader, T.; Barbier, V.; Delafontaine, A.; Meynier, J.; Picard, C.; Constans, J.M.; Schnitzler, A.; et al. Dual-Task versus Single-Task Gait Rehabilitation after Stroke: The Protocol of the Cognitive-Motor Synergy Multicenter, Randomized, Controlled Superiority Trial (SYNCOMOT). Trials 2023, 24, 172. [Google Scholar] [CrossRef] [PubMed]
- Bruyneel, A.V.; Dubé, F. Best Quantitative Tools for Assessing Static and Dynamic Standing Balance after Stroke: A Systematic Review. Physiother. Canada 2021, 73, 329–340. [Google Scholar] [CrossRef] [PubMed]
- Cheng, D.K.; Nelson, M.; Brooks, D.; Salbach, N.M. Validation of Stroke-Specific Protocols for the 10-Meter Walk Test and 6-Minute Walk Test Conducted Using 15-Meter and 30-Meter Walkways. Top. Stroke Rehabil. 2020, 27, 251–261. [Google Scholar] [CrossRef]
- Kim, G.Y.; Han, M.R.; Lee, H.G. Effect of Dual-Task Rehabilitative Training on Cognitive and Motor Function of Stroke Patients. J. Phys. Ther. Sci. 2014, 26, 1–6. [Google Scholar] [CrossRef] [PubMed]
- Bonnyaud, C.; Pradon, D.; Vuillerme, N.; Bensmail, D.; Roche, N. Spatiotemporal and Kinematic Parameters Relating to Oriented Gait and Turn Performance in Patients with Chronic Stroke. PLoS ONE 2015, 10, e0129821. [Google Scholar] [CrossRef] [PubMed]
- Persson, C.U.; Danielsson, A.; Sunnerhagen, K.S.; Grimby-Ekman, A.; Hansson, P.-O. Timed Up & Go as a Measure for Longitudinal Change in Mobility after Stroke—Postural Stroke Study in Gothenburg (POSTGOT). J. Neuroeng. Rehabil. 2014, 11, 83. [Google Scholar]
- Chiaramonte, R.; Bonfiglio, M.; Leonforte, P.; Coltraro, G.L.; Guerrera, C.S.; Vecchio, M. Proprioceptive and Dual-Task Training: The Key of Stroke Rehabilitation, A Systematic Review. J. Funct. Morphol. Kinesiol. 2022, 7, 53. [Google Scholar] [CrossRef]
- Van Criekinge, T.; Truijen, S.; Schröder, J.; Maebe, Z.; Blanckaert, K.; van der Waal, C.; Vink, M.; Saeys, W. The Effectiveness of Trunk Training on Trunk Control, Sitting and Standing Balance and Mobility Post-Stroke: A Systematic Review and Meta-Analysis. Clin. Rehabil. 2019, 33, 992–1002. [Google Scholar] [CrossRef]
- Beauchet, O.; Dubost, V.; Gonthier, R.; Kressig, R.W. Dual-Task-Related Gait Changes in. Gerontology 2005, 51, 48–52. [Google Scholar] [CrossRef] [PubMed]
- Dubost, V.; Kressig, R.W.; Gonthier, R.; Herrmann, F.R.; Aminian, K.; Najafi, B.; Beauchet, O. Relationships between Dual-Task Related Changes in Stride Velocity and Stride Time Variability in Healthy Older Adults. Hum. Mov. Sci. 2006, 25, 372–382. [Google Scholar] [CrossRef]
- Gillain, S.; Warzee, E.; Lekeu, F.; Wojtasik, V.; Maquet, D.; Croisier, J.-L.; Salmon, E.; Petermans, J. The Value of Instrumental Gait Analysis in Elderly Healthy, MCI or Alzheimer’s Disease Subjects and a Comparison with Other Clinical Tests Used in Single and Dual-Task Conditions. Ann. Phys. Rehabil. Med. 2009, 52, 453–474. [Google Scholar] [CrossRef] [PubMed]
- Goh, H.-T.; Stewart, J.C. Post-Stroke Fatigue Is Related to Motor and Cognitive Performance: A Secondary Analysis. J. Neurol. Phys. Ther. 2019, 43, 233. [Google Scholar] [CrossRef]
- Huber, S.K.; Knols, R.H.; Arnet, P.; de Bruin, E.D. Motor-Cognitive Intervention Concepts Can Improve Gait in Chronic Stroke, but Their Effect on Cognitive Functions Is Unclear: A Systematic Review with Meta-Analyses. Neurosci. Biobehav. Rev. 2022, 132, 818–837. [Google Scholar] [CrossRef] [PubMed]
- Plummer, P.; Zukowski, L.A.; Feld, J.A.; Najafi, B. Cognitive-Motor Dual-Task Gait Training within 3 Years after Stroke: A Randomized Controlled Trial. Physiother. Theory Pract. 2022, 38, 1329–1344. [Google Scholar] [CrossRef] [PubMed]
- Rice, J.; Corp, D.T.; Swarowsky, A.; Cahalin, L.P.; Cabral, D.F.; Nunez, C.; Koch, S.; Rundek, T.; Gomes-Osman, J. Greater Cognitive-Motor Interference in Individuals Post-Stroke during More Complex Motor Tasks. J. Neurol. Phys. Ther. 2022, 46, 26–33. [Google Scholar] [CrossRef]
- Liu, Y.-C.; Yang, Y.-R.; Tsai, Y.-A.; Wang, R.-Y. Cognitive and Motor Dual Task Gait Training Improve Dual Task Gait Performance after Stroke-A Randomized Controlled Pilot Trial. Sci. Rep. 2017, 7, 4070. [Google Scholar] [CrossRef]
- Abdollahi, M.; Whitton, N.; Zand, R.; Dombovy, M.; Parnianpour, M.; Khalaf, K.; Rashedi, E. A Systematic Review of Fall Risk Factors in Stroke Survivors: Towards Improved Assessment Platforms and Protocols. Front. Bioeng. Biotechnol. 2022, 10, 910698. [Google Scholar] [CrossRef]
- Wajda, D.A.; Motl, R.W.; Sosnoff, J.J. Dual Task Cost of Walking Is Related to Fall Risk in Persons with Multiple Sclerosis. J. Neurol. Sci. 2013, 335, 160–163. [Google Scholar] [CrossRef] [PubMed]
- Tsur, A.; Segal, Z. Falls in Stroke Patients: Risk Factors and Risk Management. IMAJ—Israel Med. Assoc. J. 2010, 12, 216. [Google Scholar]
- Zhou, Q.; Yang, H.; Zhou, Q.; Pan, H. Effects of Cognitive Motor Dual-Task Training on Stroke Patients: A RCT-Based Meta-Analysis. J. Clin. Neurosci. 2021, 92, 175–182. [Google Scholar] [CrossRef] [PubMed]
- Bonnyaud, C.; Pradon, D.; Vaugier, I.; Vuillerme, N.; Bensmail, D.; Roche, N. Timed Up and Go Test: Comparison of Kinematics between Patients with Chronic Stroke and Healthy Subjects. Gait Posture 2016, 49, 258–263. [Google Scholar] [CrossRef] [PubMed]
- Mueller, A. Trunk Control Exercises and Dual-Task Training for Improved Balance and Gait, 1 Month Post Vertebral Artery Stroke: A Case Report; University of Iowa: Iowa City, IA, USA, 2023. [Google Scholar]
- Baek, C.Y.; Yoon, H.S.; Kim, H.D.; Kang, K.Y. The Effect of the Degree of Dual-Task Interference on Gait, Dual-Task Cost, Cognitive Ability, Balance, and Fall Efficacy in People with Stroke: A Cross-Sectional Study. Medicine 2021, 100, e26275. [Google Scholar] [CrossRef] [PubMed]
- Yang, L.; He, C.; Pang, M.Y.C. Reliability and Validity of Dual-Task Mobility Assessments in People with Chronic Stroke. PLoS ONE 2016, 11, e0147833. [Google Scholar] [CrossRef] [PubMed]
- Roetenberg, D.; Luinge, H.; Slycke, P. Xsens MVN: Full 6DOF Human Motion Tracking Using Miniature Inertial Sensors. Xsens Technol. 2013, 3, 1–7. [Google Scholar]
- Schwarz, A.; Al-Haj Husain, A.; Einaudi, L.; Thürlimann, E.; Läderach, J.; Awai Easthope, C.; Held, J.P.O.; Luft, A.R. Reliability and Validity of a Wearable Sensing System and Online Gait Analysis Report in Persons after Stroke. Sensors 2023, 23, 624. [Google Scholar] [CrossRef] [PubMed]
- Zhang, J.T.; Novak, A.C.; Brouwer, B.; Li, Q. Concurrent Validation of Xsens MVN Measurement of Lower Limb Joint Angular Kinematics. Physiol. Meas. 2013, 34, N63–N69. [Google Scholar] [CrossRef] [PubMed]
- Benson, L.C.; Clermont, C.A.; Watari, R.; Exley, T.; Ferber, R. Automated Accelerometer-Based Gait Event Detection during Multiple Running Conditions. Sensors 2019, 19, 1483. [Google Scholar] [CrossRef]
- Rueterbories, J.; Spaich, E.G.; Larsen, B.; Andersen, O.K. Methods for Gait Event Detection and Analysis in Ambulatory Systems. Med. Eng. Phys. 2010, 32, 545–552. [Google Scholar] [CrossRef] [PubMed]
- Cohen, J. Statistical Power Analysis for the Behavioral Sciences; Academic Press: Cambridge, MA, USA, 2013; ISBN 1483276481. [Google Scholar]
- Abdollahi, M.; Kuber, P.M.; Hoang, C.; Shiraishi, M.; Soangra, R.; Rashedi, E. Kinematic Assessment of Turning and Walking Tasks among Stroke Survivors by Employing Wearable Sensors and Pressure Platform. Proc. Annu. Int. Conf. IEEE Eng. Med. Biol. Soc. 2021, 2021, 6635–6638. [Google Scholar] [CrossRef] [PubMed]
- Abdollahi, M.; Kuber, P.M.; Shiraishi, M.; Soangra, R.; Rashedi, E. Kinematic Analysis of 360° Turning in Stroke Survivors Using Wearable Motion Sensors. Sensors 2022, 22, 385. [Google Scholar] [CrossRef] [PubMed]
- Leigh Hollands, K.; Hollands, M.A.; Zietz, D.; Miles Wing, A.; Wright, C.; Van Vliet, P. Kinematics of Turning 180 during the Timed up and Go in Stroke Survivors with and without Falls History. Neurorehabil. Neural Repair 2010, 24, 358–367. [Google Scholar] [CrossRef] [PubMed]
- Manaf, H.; Justine, M.; Goh, H.T. Effects of Attentional Loadings on Gait Performance Before Turning in Stroke Survivors. PM R 2015, 7, 1159–1166. [Google Scholar] [CrossRef] [PubMed]
- Mohan, D.M.; Khandoker, A.H.; Wasti, S.A.; Ismail Ibrahim Ismail Alali, S.; Jelinek, H.F.; Khalaf, K. Assessment Methods of Post-Stroke Gait: A Scoping Review of Technology-Driven Approaches to Gait Characterization and Analysis. Front. Neurol. 2021, 12, 885. [Google Scholar] [CrossRef] [PubMed]
- Haggard, P.; Cockburn, J.; Cock, J.; Fordham, C.; Wade, D. Interference between Gait and Cognitive Tasks in a Rehabilitating Neurological Population. J. Neurol. Neurosurg. Psychiatry 2000, 69, 479–486. [Google Scholar] [CrossRef]
- Hyndman, D.; Ashburn, A.; Yardley, L.; Stack, E. Interference between Balance, Gait and Cognitive Task Performance among People with Stroke Living in the Community. Disabil. Rehabil. 2006, 28, 849–856. [Google Scholar] [CrossRef]
- Pumpho, A.; Chaikeeree, N.; Saengsirisuwan, V.; Boonsinsukh, R. Selection of the Better Dual-Timed Up and Go Cognitive Task to Be Used in Patients With Stroke Characterized by Subtraction Operation Difficulties. Front. Neurol. 2020, 11, 262. [Google Scholar] [CrossRef]
- Tang, P.F.; Yang, H.J.; Peng, Y.C.; Chen, H.Y. Motor Dual-Task Timed Up & Go Test Better Identifies Prefrailty Individuals than Single-Task Timed Up & Go Test. Geriatr. Gerontol. Int. 2015, 15, 204–210. [Google Scholar] [CrossRef]
- Sapmaz, M.; Mujdeci, B. The Effect of Fear of Falling on Balance and Dual Task Performance in the Elderly. Exp. Gerontol. 2021, 147, 111250. [Google Scholar] [CrossRef] [PubMed]
- Tomas-Carus, P.; Biehl-Printes, C.; Pereira, C.; Veiga, G.; Costa, A.; Collado-Mateo, D. Dual Task Performance and History of Falls in Community-Dwelling Older Adults. Exp. Gerontol. 2019, 120, 35–39. [Google Scholar] [CrossRef]
- Embrechts, E.; McGuckian, T.B.; Rogers, J.M.; Dijkerman, C.H.; Steenbergen, B.; Wilson, P.H.; Nijboer, T.C.W. Cognitive and Motor Therapy After Stroke Is Not Superior to Motor and Cognitive Therapy Alone to Improve Cognitive and Motor Outcomes: New Insights From a Meta-Analysis. Arch. Phys. Med. Rehabil. 2023, 104, 1720–1734. [Google Scholar] [CrossRef] [PubMed]
- Harris, A.; True, H.; Hu, Z.; Cho, J.; Fell, N.; Sartipi, M. Fall Recognition Using Wearable Technologies and Machine Learning Algorithms. In Proceedings of the 2016 IEEE International Conference on Big Data (Big Data), Washington, DC, USA, 5–8 December 2016; pp. 3974–3976. [Google Scholar] [CrossRef]
- Leuenberger, K.; Gonzenbach, R.; Wachter, S.; Luft, A.; Gassert, R. A Method to Qualitatively Assess Arm Use in Stroke Survivors in the Home Environment. Med. Biol. Eng. Comput. 2017, 55, 141–150. [Google Scholar] [CrossRef] [PubMed]
- Van Meulen, F.B.; Klaassen, B.; Held, J.; Reenalda, J.; Buurke, J.H.; Van Beijnum, B.J.F.; Luft, A.; Veltink, P.H. Objective Evaluation of the Quality of Movement in Daily Life after Stroke. Front. Bioeng. Biotechnol. 2016, 3, 210. [Google Scholar] [CrossRef]
- Abdollahi, M.; Kuber, P.M.; Pierce, M.; Cristales, K.; Dombovy, M.; Lalonde, J.; Rashedi, E. Motor-Cognitive Dual-Task Paradigm Affects Timed Up & Go (TUG) Test Outcomes in Stroke Survivors. In Proceedings of the 2023 11th International IEEE/EMBS Conference on Neural Engineering (NER), Baltimore, MD, USA, 24–27 April 2023; pp. 1–4. [Google Scholar]
- Han, B.I.; Song, H.S.; Kim, J.S. Vestibular Rehabilitation Therapy: Review of Indications, Mechanisms, and Key Exercises. J. Clin. Neurol. 2011, 7, 184–196. [Google Scholar] [CrossRef] [PubMed]
- Curuk, E.; Goyal, N.; Aruin, A.S. The Effect of Motor and Cognitive Tasks on Gait in People with Stroke. J. Stroke Cerebrovasc. Dis. 2019, 28, 104330. [Google Scholar] [CrossRef] [PubMed]
- Plummer-D’Amato, P.; Altmann, L.J.P.; Saracino, D.; Fox, E.; Behrman, A.L.; Marsiske, M. Interactions between Cognitive Tasks and Gait after Stroke: A Dual Task Study. Gait Posture 2008, 27, 683–688. [Google Scholar] [CrossRef]
- Canning, C.G.; Allen, N.E.; Nackaerts, E.; Paul, S.S.; Nieuwboer, A.; Gilat, M. Virtual Reality in Research and Rehabilitation of Gait and Balance in Parkinson Disease. Nat. Rev. Neurol. 2020, 16, 409–425. [Google Scholar] [CrossRef]
- Hsieh, K.L.; Mirelman, A.; Shema-Shiratzky, S.; Galperin, I.; Regev, K.; Shen, S.; Schmitz-Hübsch, T.; Karni, A.; Paul, F.; Devos, H. A Multi-Modal Virtual Reality Treadmill Intervention for Enhancing Mobility and Cognitive Function in People with Multiple Sclerosis: Protocol for a Randomized Controlled Trial. Contemp. Clin. Trials 2020, 97, 106122. [Google Scholar] [CrossRef]



| Parameters | Stroke Survivors (N = 21) | Healthy Controls (N = 20) | p-Value |
|---|---|---|---|
| Gender | 11 males 10 females | 8 males 12 females | - |
| Age (year) | 66 (10) | 60 (8) | 0.053 |
| Height (cm) | 173.8 (8.4) | 172.6 (9.6) | 0.669 |
| Weight (kg) | 86.3 (14.7) | 81.8 (18.2) | 0.39 |
| BMI (kg/s2) | 28.5 (4) | 27.2 (3.9) | 0.288 |
| Measures | Group | η2 | CL | η2 | Group × CL | η2 |
|---|---|---|---|---|---|---|
| TUG Test: | ||||||
| Total Time (s) | <0.001 | 0.244 (L) | <0.001 | 0.085 (M) | 0.124 | 0.004 (S) |
| Steps toward Cone | 0.002 | 0.202 (L) | 0.113 | 0.005 (S) | 0.371 | 0.001 (S) |
| Steps toward Chair | 0.005 | 0.170 (L) | 0.022 | 0.018 (S) | 0.440 | 0.001 (S) |
| Sit to Stand (x5) Test: | ||||||
| Time total (s) | 0.289 | 0.019 (S) | 0.150 | 0.002 (S) | 0.215 | 0.008 (S) |
| Balance Test (open eyes): | ||||||
| Thorax Linear Acc (m/s2) | 0.035 | 0.022 (S) | <0.001 | 0.110 (M) | 0.262 | 0.006 (S) |
| Pelvic Linear Acc (m/s2) | 0.460 | 0.001 (S) | <0.001 | 0.108 (M) | 0.118 | <0.001 (S) |
| Right Thigh Linear Acc (m/s2) | 0.015 | 0.024 (S) | <0.001 | 0.060 (M) | 0.021 | 0.002 (S) |
| Left Thigh Linear Acc (m/s2) | 0.041 | 0.030 (S) | 0.020 | 0.062 (M) | 0.711 | <0.001 (S) |
| Balance Test (closed eyes): | ||||||
| Thorax Linear Acc (m/s2) | 0.010 | 0.111 (M) | 0.015 | 0.021 (S) | 0.376 | 0.007 (S) |
| Pelvic Linear Acc (m/s2) | 0.251 | 0.036 (S) | 0.001 | 0.004 (S) | 0.861 | 0.000 (S) |
| Right Thigh Linear Acc (m/s2) | 0.021 | 0.083 (M) | 0.133 | 0.007 (S) | 0.534 | 0.002 (S) |
| Left Thigh Linear Acc (m/s2) | 0.031 | 0.081 (M) | 0.277 | 0.006 (S) | 0.396 | 0.002 (S) |
| 10-Meter Walk Test (10MWT): | ||||||
| Walk Time (s) | 0.010 | 0.135 (M) | <0.001 | 0.064 (M) | 0.257 | 0.005 (S) |
| Step | 0.019 | 0.124 (M) | <0.001 | 0.029 (S) | 0.504 | <0.001 (S) |
| Cadence (step/min) | 0.184 | 0.036 (S) | <0.001 | 0.070 (M) | 0.152 | 0.007 (S) |
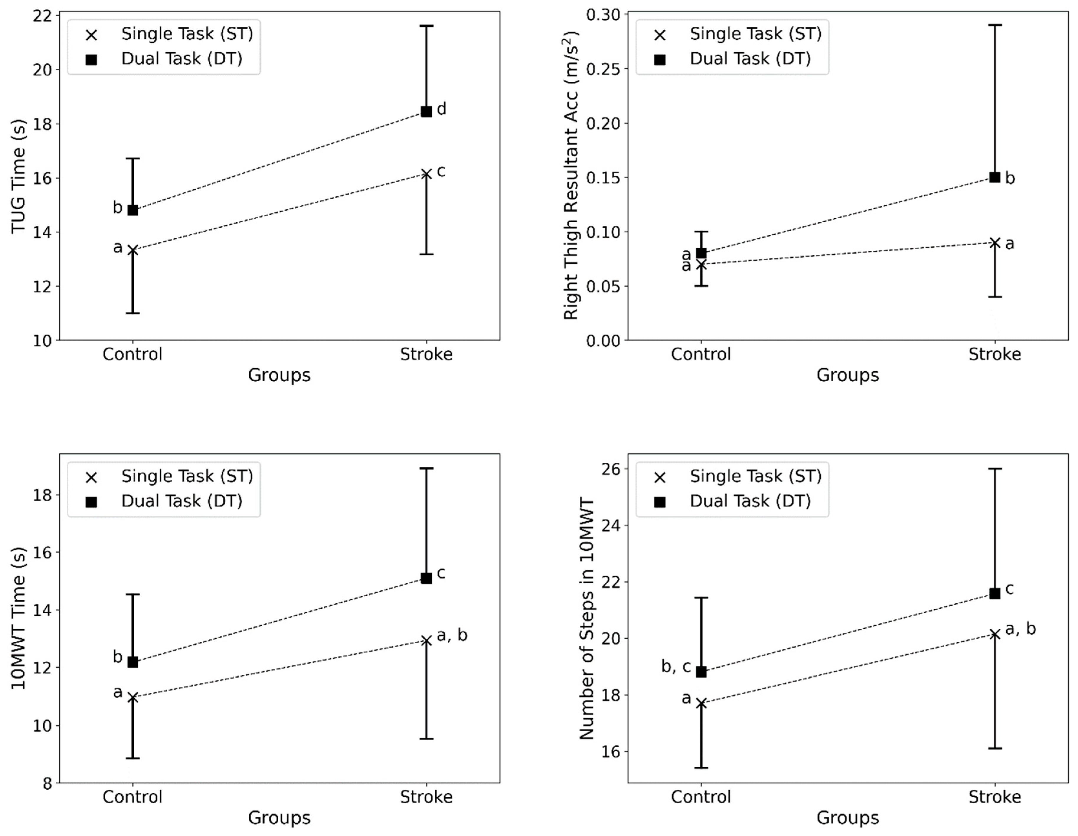
| Measures | Control (N = 20) | Stroke (N = 21) | ||
|---|---|---|---|---|
| Control ST | Control DT | Stroke ST | Stroke DT | |
| TUG Test: | ||||
| Time total (s) | 13.34 (2.34) | 14.8 (1.91) | 16.15 (2.97) | 18.44 (3.17) |
| Steps toward Cone | 6.05 (1) | 6.15 (1.04) | 7.19 (1.54) | 7.57 (1.54) |
| Steps toward Chair | 4.8 (0.83) | 5.15 (1.04) | 6.05 (1.56) | 6.71 (2.55) |
| Sit to Stand (x5) Test: | ||||
| Time total (s) | 17.81 (3.23) | 19.06 (4.25) | 20.04 (6.59) | 20.6 (6.83) |
| Balance Test (open eyes): | ||||
| Thorax Linear Acc (m/s2) | 0.08 (0.02) | 0.14 (0.13) | 0.1 (0.04) | 0.19 (0.17) |
| Pelvic Linear Acc (m/s2) | 0.05 (0.01) | 0.05 (0.02) | 0.05 (0.01) | 0.06 (0.01) |
| Right Thigh Linear Acc (m/s2) | 0.07 (0.02) | 0.08 (0.02) | 0.09 (0.05) | 0.15 (0.14) |
| Left Thigh Linear Acc (m/s2) | 0.07 (0.02) | 0.1 (0.06) | 0.11 (0.1) | 0.18 (0.15) |
| Balance Test (closed eyes): | ||||
| Thorax Linear Acc (m/s2) | 0.09 (0.03) | 0.1 (0.03) | 0.15 (0.12) | 0.22 (0.23) |
| Pelvic Linear Acc (m/s2) | 0.05 (0.02) | 0.05 (0.02) | 0.06 (0.02) | 0.06 (0.02) |
| Right Thigh Linear Acc (m/s2) | 0.08 (0.03) | 0.09 (0.04) | 0.14 (0.11) | 0.17 (0.21) |
| Left Thigh Linear Acc (m/s2) | 0.08 (0.04) | 0.09 (0.05) | 0.15 (0.12) | 0.18 (0.22) |
| 10-Meter Walk Test (10MWT): | ||||
| Walk Time (s) | 10.98 (2.12) | 12.18 (2.36) | 12.94 (3.41) | 15.1 (3.81) |
| Step | 17.7 (2.3) | 18.8 (2.63) | 20.14 (4.04) | 21.57 (4.42) |
| Cadence (step/min) | 98.05 (8.87) | 93.83 (9.1) | 95.58 (13.23) | 87.5 (12.81) |
Disclaimer/Publisher’s Note: The statements, opinions and data contained in all publications are solely those of the individual author(s) and contributor(s) and not of MDPI and/or the editor(s). MDPI and/or the editor(s) disclaim responsibility for any injury to people or property resulting from any ideas, methods, instructions or products referred to in the content. |
© 2024 by the authors. Licensee MDPI, Basel, Switzerland. This article is an open access article distributed under the terms and conditions of the Creative Commons Attribution (CC BY) license (https://creativecommons.org/licenses/by/4.0/).
Share and Cite
Abdollahi, M.; Kuber, P.M.; Rashedi, E. Dual Tasking Affects the Outcomes of Instrumented Timed up and Go, Sit-to-Stand, Balance, and 10-Meter Walk Tests in Stroke Survivors. Sensors 2024, 24, 2996. https://doi.org/10.3390/s24102996
Abdollahi M, Kuber PM, Rashedi E. Dual Tasking Affects the Outcomes of Instrumented Timed up and Go, Sit-to-Stand, Balance, and 10-Meter Walk Tests in Stroke Survivors. Sensors. 2024; 24(10):2996. https://doi.org/10.3390/s24102996
Chicago/Turabian StyleAbdollahi, Masoud, Pranav Madhav Kuber, and Ehsan Rashedi. 2024. "Dual Tasking Affects the Outcomes of Instrumented Timed up and Go, Sit-to-Stand, Balance, and 10-Meter Walk Tests in Stroke Survivors" Sensors 24, no. 10: 2996. https://doi.org/10.3390/s24102996
APA StyleAbdollahi, M., Kuber, P. M., & Rashedi, E. (2024). Dual Tasking Affects the Outcomes of Instrumented Timed up and Go, Sit-to-Stand, Balance, and 10-Meter Walk Tests in Stroke Survivors. Sensors, 24(10), 2996. https://doi.org/10.3390/s24102996

