Optical-OFDM VLC System: Peak-to-Average Power Ratio Enhancement and Performance Evaluation
Abstract
1. Introduction
2. Multicarrier Modulation Schemes Based on the VLC System
2.1. DCO-OFDM
2.2. ACO-OFDM
2.3. Flip-OFDM
2.4. ADO-OFDM
2.5. ASCO-OFDM
2.6. LACO-OFDM
3. Assessment Criteria Employed to Judge the Effectiveness of MCM Approaches
3.1. Data Arrangement and Spectral Efficiency
| MCM TECHNIQUE | Spectral Efficiency Formula | 4-QAM | 16-QAM | 64-QAM | 256-QAM | 1024-QAM |
|---|---|---|---|---|---|---|
| DCO-OFDM | 1.9961 | 3.9922 | 5.9883 | 7.9844 | 9.9805 | |
| ACO-OFDM | 0.9981 | 1.9961 | 2.9942 | 3.9922 | 4.9903 | |
| FLIP-OFDM | 0.9981 | 1.9961 | 2.9942 | 3.9922 | 4.9903 | |
| ASCO-OFDM | 1.4971 | 2.9942 | 4.4912 | 5.9883 | 7.4854 | |
| ADO-OFDM | 1.9961 | 3.9922 | 5.9883 | 7.9844 | 9.9805 | |
| LACO_2-OFDM | 1.4971 | 2.9942 | 4.4912 | 5.9883 | 7.4854 | |
| LACO_3-OFDM | 1.7466 | 3.4932 | 5.2398 | 6.9864 | 8.7329 | |
| LACO_4-OFDM | 1.8713 | 3.7427 | 5.6140 | 7.4854 | 9.3567 |
3.2. Power Efficiency
3.3. Computational Complexity
3.4. Bit Error Rate (BER)
3.5. Peak-to-Average Power Ratio (PAPR)
4. PAPR Reduction Methodology and Proposed Model
4.1. PAPR Reduction Methodology
4.2. Proposed PAPR Reduction System
| Algorithm 1. Transmitter emulation procedures. | |
| 1. | ; ← Number of bits per symbol and M is constellation order |
| 2. | Z, N; ← Number of OOFDM symbols and Number of subcarrier |
| 3. | then |
| 4. | ; Number of modulated symbol per OOFDM frame |
| 5. | Else |
| 6. | then |
| 7. | ; |
| 8. | end if |
| 9. | Else |
| 10. | then |
| 11. | ; |
| 12. | end if |
| 13. | end if |
| 14. | , ; |
| 15. | ; Total transmitted bits |
| 16. | GenerateRandomBits (); Generated transmitted bits |
| 17. | ; Modulate the generated bits depend on the constellation order. |
| 18. | ; Matrix form based on symbols number of the OOFDM approach and Z. |
| 19. | ; Select the transmitted symbols for each frame |
| 20. | for |
| 21. | for |
| 22. | ; |
| 23. | end for |
| 24. | end for |
| 25. | ; Preceded modulated symbols |
| 26. | ; Symbols arrangement based on OOFDM approach as described in Section 3 |
| 27. | , Convert to time domain |
| 28. | then |
| 29. | , the dc level and time domain zero clipped signal |
| 30. | else |
| 31. | then |
| 32. | |
| 33. | end if |
| 34. | end if |
| 35. | , Add cyclic prefix |
| 36. | , Peak power calculation |
| 37. | , Average power calculation |
| 38. | , PAPR calculation |
| 39. | ; → Transmitted signal |
| 40. | ; → PAPR for the transmitted signal |
| 41. | end for |
| 42. | ; → Calculate the complementary cumulative distribution function |
| Algorithm 2. Receiver emulation procedures. | |
| 1. | for j =1: length(snr) do |
| 2. | Output = [ ]; |
| 3. | rx = TX + noise; → Received under AWGN channel |
| 4. | for c = 1: Z do |
| 5. | = Remove CP (rx (: , c)); → Remove cyclic prefix |
| 6. | then |
| 7. | ; → Remove dc shift |
| 8. | else |
| 9. | then |
| 10. | ; |
| 11. | end if |
| 12. | end if |
| 13. | then |
| 14. | = FFT(); → Convert to frequency domain |
| 15. | else |
| 16. | then |
| 17. | = 2*FFT(); → Convert to frequency domain |
| 18. | end if |
| 19. | end if |
| 20. | = Detected symbols ; → Detected symbols depend on data arrangement of the OOFDM approach use |
| 21. | ; → Invers precoding matrix of PAPR reduction technique |
| 22. | ; → Convert to serial |
| 23. | Data = ; → Demodulate the received symbols |
| 24. | Output = [ Output Data]; → Total Received bits |
| 25. | end for |
| 26. | Error = BER (, Output); → BER calculation |
| 27. | end for |
5. Simulation Results and Discussion
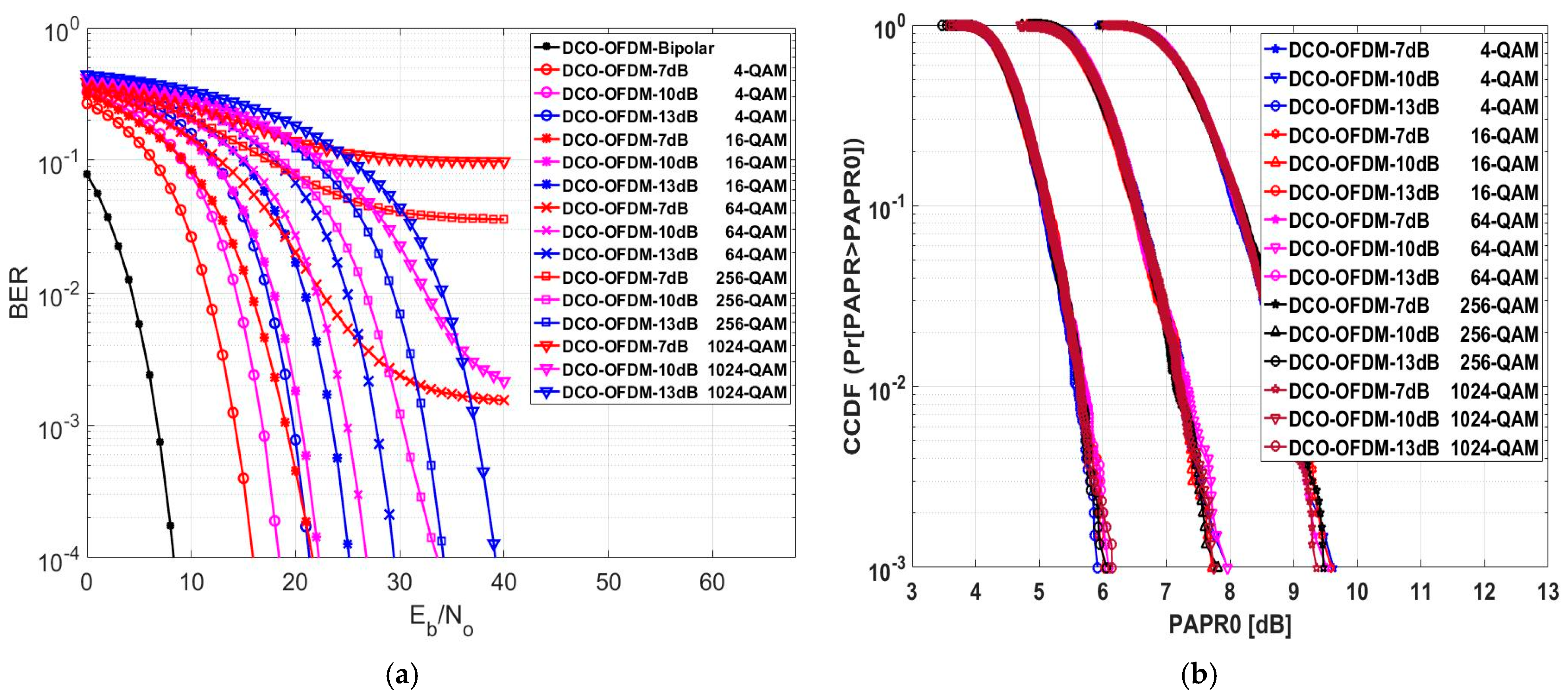
5.1. Exploring BER and PAPR for DCO-OFDM
5.2. Exploring BER and PAPR for ACO-OFDM
5.3. Exploring BER and PAPR for FLIP-OFDM
5.4. Exploring BER and PAPR for ADO-OFDM
5.5. Exploring BER and PAPR for ASCO-OFDM
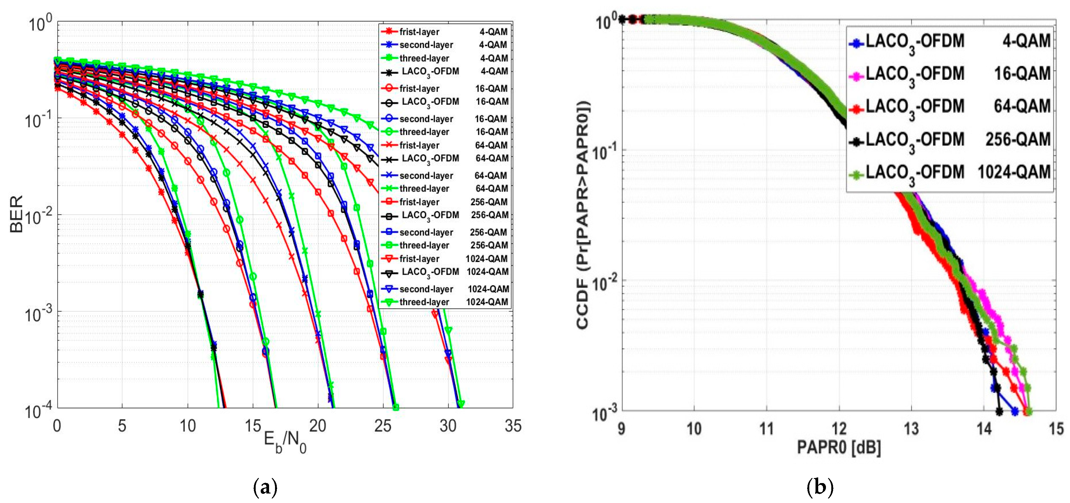
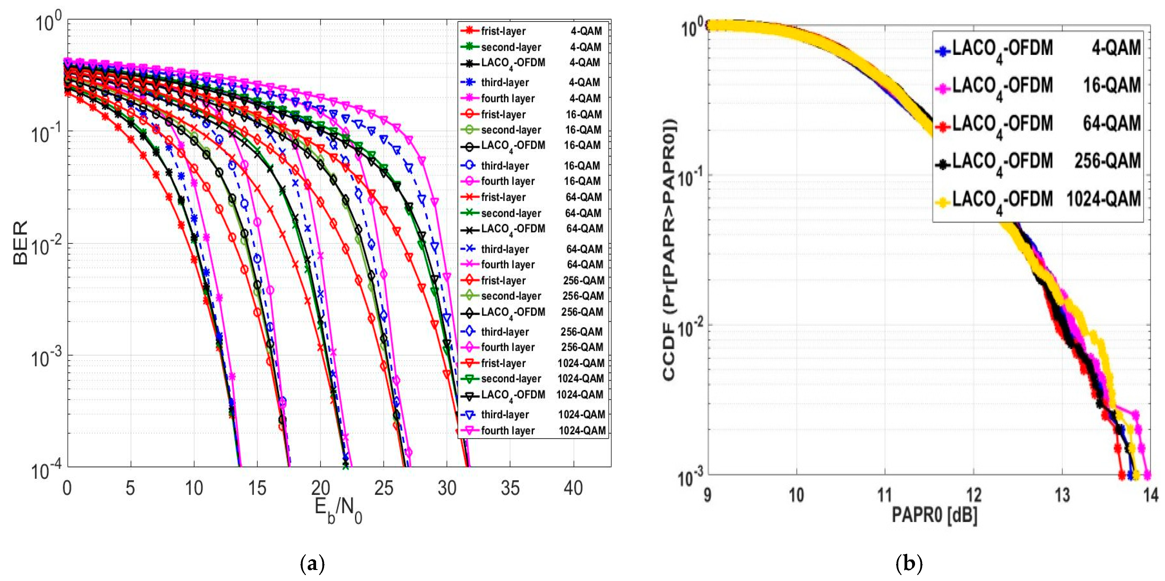
5.6. Exploring BER and PAPR for LACO-OFDM
5.7. Investigating the Relationship between Spectral Efficiency and BER for Various O-OFDM Methodologies
5.8. Investigating the Influence of VLM Precoding Methodology on BER and PAPR for Different O-OFDM Approaches
6. Comparison with Related Studies
7. Conclusions
Author Contributions
Funding
Institutional Review Board Statement
Informed Consent Statement
Data Availability Statement
Conflicts of Interest
References
- Tariq, F.; Khandaker, M.R.A.; Wong, K.K.; Imran, M.A.; Bennis, M.; Debbah, M. A Speculative Study on 6G. IEEE Wirel. Commun. 2020, 27, 118–125. [Google Scholar] [CrossRef]
- Zhang, X.; Babar, Z.; Petropoulos, P.; Haas, H.; Hanzo, L. The Evolution of Optical OFDM. IEEE Commun. Surv. Tutor. 2021, 23, 1430–1457. [Google Scholar] [CrossRef]
- Mohammed, N.A.; Elnabawy, M.M.; Khalaf, A.A.M. Papr Reduction Using a Combination between Precoding Andnon-Linear Companding Techniques Foraco-Ofdm-Based Vlc Systems. Opto-Electron. Rev. 2021, 29, 59–70. [Google Scholar] [CrossRef]
- Beguni, C.; Căilean, A.M.; Avătămăniței, S.A.; Dimian, M. Analysis and Experimental Investigation of the Light Dimming Effect on Automotive Visible Light Communications Performances. Sensors 2021, 21, 4446. [Google Scholar] [CrossRef] [PubMed]
- Zenhom, Y.A.; Nasief, M.; Mohammed, E.; Mansour, H. Performance evaluation of evs audio coder for oriantal and performance evaluation of evs audio coder for oriantal and orchestral musical. Eng. Res. J. 2018, 1, 40–47. [Google Scholar]
- Loureiro, P.A.; Guiomar, F.P.; Monteiro, P.P. Visible Light Communications: A Survey on Recent High-Capacity Demonstrations and Digital Modulation Techniques. Photonics 2023, 10, 993. [Google Scholar] [CrossRef]
- Zenhom, Y.A.; Mohammed, E.; Mikhael, M.N.; Mansour, H.A. EVS and OPUS Audio Coders Performance Evaluation for Oriental and Orchestral Musical Instruments. IEEE 21st Int. Work. Multimed. Signal Process. MMSP 2019, 2019, 1–6. [Google Scholar] [CrossRef]
- Wang, J.; Li, M.; Shen, B.Z. Low Complexity Post-Distorter Based on Extended Kernel Recursive Least Squares for Visible Light Communications. Signal Process. 2024, 219, 109418. [Google Scholar] [CrossRef]
- Sobhy, A.; ElSayed, S.; Zekry, A. Enhancing the Performance of Optical VLC System Based on Asymmetric Symmetric Subcarriers OFDM. Int. J. Commun. Syst. 2020, 33, 1–19. [Google Scholar] [CrossRef]
- Wang, T.; Yang, F.; Song, J.; Han, Z. Dimming Techniques of Visible Light Communications for Human-Centric Illumination Networks: State-of-the-Art, Challenges, and Trends. IEEE Wirel. Commun. 2020, 27, 88–95. [Google Scholar] [CrossRef]
- Vappangi, S.; Deepa, T.; Mani, V.V.; Bharathiraja, N. On the Performance of Delta Sigma Modulators for DCO-OFDM Based NOMA Visible Light Communication Systems. Opt. Laser Technol. 2023, 167, 109653. [Google Scholar] [CrossRef]
- Roshdy, R.A.; Hussein, A.I.; Mabrook, M.M.; Salem, M.A. A Complexity Efficient PAPR Reduction Scheme for FBMC-Based VLC Systems. Opto-Electronics Rev. 2023, 31, 144919. [Google Scholar] [CrossRef]
- Deng, X.; Mardanikorani, S.; Zhou, G.; Linnartz, J.P.M.G. DC-Bias for Optical OFDM in Visible Light Communications. IEEE Access 2019, 7, 98319–98330. [Google Scholar] [CrossRef]
- Linnartz, J.P.M.G.; Deng, X. Continuous Phase Flip-OFDM in Optical Wireless Communications. Signal Process. 2021, 182, 6. [Google Scholar] [CrossRef]
- Schulze, H.; Hoeher, P.A. Asymmetrically Clipped Optical Hadamard Coded Modulation (ACO-HCM). IEEE Photonics J. 2023, 15, 3237959. [Google Scholar] [CrossRef]
- Hameed, S.M.; Sabri, A.A.; Abdulsatar, S.M. A Novel PAPR Reduction Method for ADO-OFDM VLC Systems. Opt. Quantum Electron. 2021, 53, 1–16. [Google Scholar] [CrossRef]
- Sharan, N.; Ghorai, S.K. Hybrid Scheme of Precoder with μ-Law Compander for PAPR Reduction and Nonlinearity Improvement in ADO-OFDM System. Int. J. Commun. Syst. 2021, 34, e4961. [Google Scholar] [CrossRef]
- Baig, M.S.; Alresheedi, M.T.; Mahdi, M.A.; Abas, A.F. A Spectrally Efficient Modified Asymmetrically and Symmetrically Clipped Optical (MASCO)-OFDM for IM/DD Systems. Opt. Quantum Electron. 2023, 55, 411. [Google Scholar] [CrossRef]
- Bai, R.; Hranilovic, S. Layered Antisymmetry-Constructed Clipped Optical OFDM for Low-Complexity VLC Systems. Opt. Express 2021, 29, 10613. [Google Scholar] [CrossRef]
- Abd Elkarim, M.; Aly, M.H.; AbdelKader, H.M.; Elsherbini, M.M. LED Nonlinearity Mitigation in LACO-OFDM Optical Communications Based on Adaptive Predistortion and Postdistortion Techniques. Appl. Opt. 2021, 60, 7279. [Google Scholar] [CrossRef]
- Farid, S.M.; Saleh, M.Z.; Elbadawy, H.M.; Elramly, S.H. ASCO-OFDM Based VLC System Throughput Improvement Using PAPR Precoding Reduction Techniques. Opt. Quantum Electron. 2023, 55, 410. [Google Scholar] [CrossRef]
- Farid, S.M.; Saleh, M.Z.; Elbadawy, H.M.; Elramly, S.H. Novel Unipolar Optical Modulation Techniques for Enhancing Visible Light Communication Systems Performance. IEEE Access 2022, 10, 67925–67939. [Google Scholar] [CrossRef]
- Saied, O.; Li, X.; Rabie, K.M. DFT Spread-Optical Pulse Amplitude Modulation for Visible Light Communication Systems. IEEE Access 2022, 10, 15956–15967. [Google Scholar] [CrossRef]
- Wang, T.; Ren, Y.; Li, C.; Hou, Y. A PAPR Reduction Scheme Combining Superimposed O-OFDM and [Formula Presented]-Law Mapping for VLC-OFDM Systems. Opt. Commun. 2020, 460, 125190. [Google Scholar] [CrossRef]
- Miriyala, G.; Mani, V.V. A New PAPR Reduction Technique in DCO-OFDM for Visible Light Communication Systems. Opt. Commun. 2020, 474, 126064. [Google Scholar] [CrossRef]
- Hao, L.; Cao, P.; Li, C.; Wang, D. The CESAE Multiple Objection Optimization Network of the ACO-OFDM VLC System. Opt. Commun. 2024, 2024, 130365. [Google Scholar] [CrossRef]
- Jihad, N.J.; Abdul Satar, S.M. Performance Study of ACO-OFDM and DCO OFDM in Optical Camera Communication System. In Proceedings of the Al-Noor International Conference for Science and Technology (NICST), Baku, Azerbaijan, 28–30 August 2020; Volume 2020, pp. 63–67. [Google Scholar] [CrossRef]
- Avci, B.; Aykiri, G.; Karaerik, K.; Tuna, E.B.; Yasar, S.; Sinop, H.; Tek, Y.I.; Ozen, A. A Novel ACO-OFDM System Based on Fast Walsh Hadamard Transform. In Proceedings of the International Conference on Electrical, Communication, and Computer Engineering (ICECCE), Istanbul, Turkey, 12–13 June 2020; Volume 2020, pp. 12–13. [Google Scholar] [CrossRef]
- Temurtaş, S.; Toprakci, G.; Özen, A. A Novel Flip-OFDM Optical Communication System Based on Lazy Lifting Wavelet Transform for Intensity Modulated Direct Detection. Optoelectron. Adv. Mater. Rapid Commun. 2023, 17, 61–72. [Google Scholar]
- Tekin, M.; Savaşçihabeş, A.; Ertuğ, Ö. M-CSK-Flip-OFDM Sistemlerinin RS ve CC Kodlama Altında BER ve PAPR Analizlerinin Incelenmesi. Gazi Üniversitesi Mühendislik Mimar. Fakültesi Derg. 2023, 38, 999817. [Google Scholar] [CrossRef]
- Eltoukhi, M.A.E.A.; Abd-Elnaby, M.; El-Dolil, S.A.; El-Samie, F.E.A. Efficient Coding Techniques for ADO-OFDM in IM/DD Systems. Photonic Netw. Commun. 2018, 36, 128–139. [Google Scholar] [CrossRef]
- Hameed, S.M.; Abdulsatar, S.M.; Sabri, A.A. Visible Light Communication Performance Using MIMO-ADO-OFDM System. Trans. Emerg. Telecommun. Technol. 2022, 33, 1–17. [Google Scholar] [CrossRef]
- Hameed, S.M.; Abdulsatar, S.M.; Sabri, A.A. Performance Enhancement for Visible Light Communication Based ADO-OFDM. Opt. Quantum Electron. 2021, 53, 1–19. [Google Scholar] [CrossRef]
- Essalih, T.; Khalighi, M.A.; Hranilovic, S.; Akhouayri, H. Optical OFDM for Sipm-Based Underwater Optical Wireless Communication Links. Sensors 2020, 20, 6057. [Google Scholar] [CrossRef]
- Zhang, X.; Wang, Q.; Zhang, R.; Chen, S.; Hanzo, L. Performance Analysis of Layered ACO-OFDM. IEEE Access 2017, 5, 18366–18381. [Google Scholar] [CrossRef]
- Wang, Z.; Mao, T.; Wang, Q. Optical OFDM for Visible Light Communications. In Proceedings of the 2017 13th International Wireless Communications & Mobile Computing Conference IWCMC, Valencia, Spain, 26–30 June 2017; pp. 1190–1194. [Google Scholar] [CrossRef]
- Khan, L.U. Visible Light Communication: Applications, Architecture, Standardization and Research Challenges. Digit. Commun. Networks 2017, 3, 78–88. [Google Scholar] [CrossRef]
- Idris, S.; Aibinu, A.M.; Koyunlu, G.; Sanusi, J. A Survey of Modulation Schemes in Visible Light Communications. In Proceedings of the International Conference on Trends in Electronics and Informatics, Tirunelveli, India, 23–25 April 2019; Volume 2019, pp. 1–7. [Google Scholar] [CrossRef]
- Freag, H.; Hassan, E.S.; El-Dolil, S.A.; Dessouky, M.I. PAPR Reduction for OFDM-Based Visible Light Communication Systems Using Proposed Hybrid Technique. Int. J. Commun. Syst. 2018, 31, 1–7. [Google Scholar] [CrossRef]
- Na, Z.; Wang, Y.; Xiong, M.; Liu, X.; Xia, J. Modeling and Throughput Analysis of an ADO-OFDM Based Relay-Assisted VLC System for 5G Networks. IEEE Access 2018, 6, 17586–17594. [Google Scholar] [CrossRef]
- Sharan, N.; Ghorai, S.K. PAPR Reduction and Non-Linearity Alleviation Using Hybrid of Precoding and Companding in a Visible Light Communication (VLC) System. Opt. Quantum Electron. 2020, 52, 1–14. [Google Scholar] [CrossRef]
- Guan, R.; Xu, W.; Yang, Z.; Huang, N.; Wang, J.Y.; Chen, M. Enhanced Subcarrier-Index Modulation-Based Asymmetrically Clipped Optical OFDM Using Even Subcarriers. Opt. Commun. 2017, 402, 600–605. [Google Scholar] [CrossRef]
- Lowery, A.J. Spectrally Efficient Optical Orthogonal Frequency Division Multiplexing. Philos. Trans. R. Soc. A Math. Phys. Eng. Sci. 2020, 378, 180. [Google Scholar] [CrossRef] [PubMed]
- Wu, Y.; Hu, Y.; Wan, Z.; Wang, T.; Sun, Y.; Zhang, Q. Joint Security Enhancement and PAPR Mitigation for OFDM-NOMA VLC Systems. Opt. Commun. 2022, 508, 127719. [Google Scholar] [CrossRef]
- Li, J.; Dang, S.; Wen, M.; Li, Q.; Chen, Y.; Huang, Y.; Shang, W. Index Modulation Multiple Access for 6G Communications: Principles, Applications, and Challenges. IEEE Netw. 2023, 37, 2200433. [Google Scholar] [CrossRef]
- Wen, M.; Li, Q.; Kim, K.J.; Lopez-Perez, D.; Dobre, O.; Poor, H.V.; Popovski, P.; Tsiftsis, T. Private 5G Networks: Concepts, Architectures, and Research Landscape. IEEE J. Sel. Top. Signal Process. 2022, 16, 3137669. [Google Scholar] [CrossRef]
- Santhosh, L.; Thomas, A. Implementation of Radix 2 and Radix 22 FFT Algorithms on Spartan6 FPGA. In Proceedings of the 2013 International Conference on Computing, Communication and Networking Technologies, Tiruchengode, India, 4–6 July 2013; pp. 4–7. [Google Scholar] [CrossRef]
- Shilpi; Shukla, M.; Kumar, A. PAPR Reduction in OFDM for VLC System; Springer: Singapore, 2021; Volume 683, ISBN 9789811568398. [Google Scholar]
- Taha, B.; Fayed, H.A.; Aly, M.H.; Mahmoud, M. A Reduced PAPR Hybrid OFDM Visible Light Communication System. Opt. Quantum Electron. 2022, 54, 1–13. [Google Scholar] [CrossRef]
- Hasan, M.M. VLM Precoded SLM Technique for PAPR Reduction in OFDM Systems. Wirel. Pers. Commun. 2013, 73, 791–801. [Google Scholar] [CrossRef]
- Sharifi, A.A. PAPR Reduction of Optical OFDM Signals in Visible Light Communications. ICT Express 2019, 5, 202–205. [Google Scholar] [CrossRef]
- Sharifi, A.A. A New Post-Coding Approach for PAPR Reduction in DC-Biased Optical OFDM Systems. Optoelectron. Lett. 2019, 15, 302–305. [Google Scholar] [CrossRef]
- Mohamed, S.E.D.N.; Mohamed, A.E.N.A.; El-Samie, F.E.A.; Rashed, A.N.Z. Performance Enhancement of IM/DD Optical Wireless Systems. Photonic Netw. Commun. 2018, 36, 114–127. [Google Scholar] [CrossRef]






















| MCM TECHNIQUE | N = 8 | N = 16 | N = 32 | N = 64 | N = 128 | N = 256 | N = 512 | N = 1024 | N = 2048 | N = 4096 |
|---|---|---|---|---|---|---|---|---|---|---|
| DCO | 3.2 | 3.5556 | 3.7647 | 3.8788 | 3.9385 | 3.9690 | 3.9844 | 3.9922 | 3.9961 | 3.9980 |
| ACO | 1.6 | 1.7778 | 1.8824 | 1.9394 | 1.9692 | 1.9845 | 1.9922 | 1.9961 | 1.9980 | 1.9990 |
| FLIP | 1.6 | 1.7778 | 1.8824 | 1.9394 | 1.9692 | 1.9845 | 1.9922 | 1.9961 | 1.9980 | 1.9990 |
| ASCO | 2.4 | 2.6667 | 2.8235 | 2.9091 | 2.9538 | 2.9767 | 2.9883 | 2.9942 | 2.9971 | 2.9985 |
| ADO | 3.2 | 3.5556 | 3.7647 | 3.8788 | 3.9385 | 3.9690 | 3.9844 | 3.9922 | 3.9961 | 3.9980 |
| LACO_2 | 2.4 | 2.6667 | 2.8235 | 2.9091 | 2.9538 | 2.9767 | 2.9883 | 2.9942 | 2.9971 | 2.9985 |
| LACO_3 | 2.8 | 3.1111 | 3.2941 | 3.3939 | 3.4462 | 3.4729 | 3.4864 | 3.4932 | 3.4966 | 3.4983 |
| LACO_4 | 3 | 3.3333 | 3.5294 | 3.6364 | 3.6923 | 3.7209 | 3.7354 | 3.7427 | 3.7463 | 3.7482 |
| MCM TECHNIQUE | Complexity | TX | RX |
|---|---|---|---|
| DCO-OFDM | |||
| ACO-OFDM | |||
| FLIP-OFDM | |||
| ASCO-OFDM | |||
| ADO-OFDM | |||
| LACO,2-OFDM | |||
| LACO,3-OFDM | |||
| LACO,4-OFDM |
| MCM TECHNIQUE | TX Complexity | TX ADD | TX MULT | RX Complexity | RX ADD | RX MULT |
|---|---|---|---|---|---|---|
| DCO-OFDM | 27,652 | 7172 | 27,652 | 7172 | ||
| ACO-OFDM | 27,652 | 7172 | 27,652 | 7172 | ||
| FLIP-OFDM | 27,652 | 7172 | 27,652 | 7172 | ||
| ASCO-OFDM | 82,956 | 21,516 | 138,260 | 35,860 | ||
| ADO-OFDM | 55,304 | 14,344 | 82,956 | 21,516 | ||
| LACO,2-OFDM | 55,304 | 14,344 | 82,956 | 21,516 | ||
| LACO,3-OFDM | 82,956 | 21,516 | 138,260 | 35,860 | ||
| LACO,4-OFDM | 110,608 | 28,688 | 193,564 | 50,204 |
| Parameter | Value |
|---|---|
| OOFDM symbols | 1000 |
| FFT/IFFT size | 1024 |
| Modulation technique | QAM |
| Constellation order | 4, 16, 64, 256, 1024, 4096 |
| DC-bias level | 7,10,13 |
| Cyclic prefix | 1024/4 = 256 |
| Channel model | AWGN |
| MCM | 4-QAM | 16-QAM | 64-QAM | 256-QAM | 1024-QAM | |||||
|---|---|---|---|---|---|---|---|---|---|---|
| BER | PAPR0 | BER | PAPR0 | BER | PAPR0 | BER | PAPR0 | BER | PAPR0 | |
| DCO_7dB | 15.9 | 9.625 | 21.65 | 9.58 | NA | 9.53 | NA | 9.455 | NA | 9.36 |
| DCO_10dB | 18.4 | 7.962 | 22.25 | 7.71 | 26.8 | 7.948 | 33.6 | 7.8 | NA | 7.75 |
| DCO_13dB | 21.32 | 5.91 | 25.13 | 6.02 | 29.45 | 6.07 | 34.18 | 6.03 | 39.15 | 6.14 |
| ACO | 11.44 | 16.86 | 15.23 | 16.44 | 19.48 | 16.3 | 24.28 | 16.57 | 29.17 | 16.23 |
| FLIP | 11.42 | 16.59 | 15.2 | 16.58 | 19.53 | 16.81 | 24.18 | 16.77 | 29.11 | 16.69 |
| ASCO | 13.51 | 15.15 | 17.37 | 15.03 | 21.71 | 15.52 | 26.35 | 15.51 | 31.3 | 15.32 |
| ADO_7dB | 19.4 | 10.5 | 23.22 | 10.59 | NA | 10.15 | NA | 10.13 | NA | 10.02 |
| ADO_10dB | 22.13 | 8.44 | 25.9 | 8.5 | 30.15 | 8.59 | 35 | 8.353 | NA | 8.47 |
| ADO_13dB | 24.81 | 6.94 | 28.5 | 7.14 | 32.84 | 6.97 | 37.55 | 7.13 | 42.46 | 6.98 |
| LACO2 | 11.76 | 15.22 | 15.62 | 15.03 | 19.99 | 15.4 | 24.65 | 15.38 | 29.66 | 15.57 |
| LACO3 | 12.82 | 14.43 | 16.78 | 14.595 | 21.16 | 14.59 | 25.9 | 14.22 | 30.86 | 14.63 |
| LACO4 | 13.67 | 13.77 | 17.52 | 13.96 | 22.06 | 13.67 | 26.71 | 13.83 | 31.68 | 13.837 |
| MCM Approach | Conventional (dB) | VLM (dB) | Difference (dB) | Conventional (dB) | VLM (dB) | PAPR Reduction (dB) |
|---|---|---|---|---|---|---|
| DCO-7 dB | 21.65 | N/A | N/A | 9.58 | 7.36 | 2.22 |
| ADO-7 dB | 23.22 | N/A | N/A | 10.59 | 8.86 | 1.73 |
| DCO-10 dB | 22.25 | 22.19 | −0.06 ≈ 0 | 7.71 | 5.94 | 1.77 |
| ADO-10 dB | 25.9 | 26 | 0.1 ≈ 0 | 8.5 | 7.28 | 1.22 |
| DCO-13 dB | 25.13 | 25.19 | 0.06 ≈ 0 | 6.02 | 4.63 | 1.39 |
| ADO-13 dB | 28.5 | 28.59 | 0.09 ≈ 0 | 7.14 | 6.01 | 1.13 |
| ACO | 15.23 | 15.24 | 0.01 ≈ 0 | 16.44 | 13.17 | 3.27 |
| FLIP | 15.2 | 15.23 | 0.03 ≈ 0 | 16.58 | 13.32 | 3.26 |
| ASCO | 17.37 | 17.47 | 0.1 ≈ 0 | 15.03 | 13.41 | 1.62 |
| 15.62 | 16.07 | 0.45 | 15.03 | 13.22 | 1.81 | |
| 16.78 | 17.35 | 0.57 | 14.595 | 12.86 | 1.735 | |
| 17.52 | 18.12 | 0.6 | 13.96 | 12.45 | 1.51 |
| MCM Approach | Modulation Scheme | Conventional (dB) | VLM (dB) | Difference (dB) | Conventional (dB) | VLM (dB) | PAPR Reduction (dB) |
|---|---|---|---|---|---|---|---|
| DCO-7db | 64-QAM | N/A | N/A | N.A | 9.385 | 7.725 | 1.66 |
| ADO-7db | 64-QAM | N/A | N/A | N.A | 10.154 | 9.159 | 0.995 |
| DCO-10db | 64-QAM | 26.86 | 26.55 | −0.31 | 7.633 | 6.23 | 1.403 |
| ADO-10db | 64-QAM | 30.2 | 30.26 | 0.06 ≈ 0 | 8.411 | 7.357 | 1.054 |
| DCO-13db | 64-QAM | 29.45 | 29.41 | −0.04 | 5.93 | 4.87 | 1.06 |
| ADO-13db | 64-QAM | 32.84 | 33 | 0.16 ≈ 0 | 7.11 | 6.06 | 1.05 |
| ACO | 4096-QAM | 34.25 | 34.278 | 0.028 ≈ 0 | 15.97 | 13.68 | 2.29 |
| FLIP | 4096-QAM | 34.277 | 34.17 | −0.107 | 16.658 | 13.89 | 2.768 |
| ASCO | 256-QAM | 26.35 | 26.42 | 0.07 ≈ 0 | 15.63 | 13.96 | 1.67 |
| 256-QAM | 24.66 | 25.22 | 0.56 | 15.58 | 13.79 | 1.79 |
| References | MCM Approach | FFT/IFFT Size | Modulation Scheme | PAPR Reduction (dB) | Difference (dB) |
|---|---|---|---|---|---|
| [3] | Pilot-Assisted Optical OFDM | 1024 | M-QAM | ≈2.2 dB | N/A |
| [24] | μ-SOOFDM | 64 | 16-QAM | 0.45 1.93 | ≈0 |
| [42] | ESACO OFDM | 128 | 16-QAM 64-QAM 256-QAM | ≈1.2 | 1 2 3 |
| [49] | OFDM-based VLC with DCT | 128 | 4-QAM | 1.4 | 0 |
| [51] | WHT-DCO-OFDM DHT-DCO-OFDM VLM-DCO-OFDM WHT-ACO-OFDM DHT-ACO-OFDM | 256 | 16-QAM | 0.54 0.99 1.87 0.93 1.27 | N/A |
| [52] | WHT-precoding OOFDM DCT-precoding OOFDM | 256 | 16-QAM | 0.5 | ≈0 |
| Proposed Techniques | VLM-ACO-OFDM VLM-FLIP-OFDM VLM-DCO-OFDM-10 dB VLM-ADO-OFDM-10 dB VLM-DCO-OFDM-13 dB VLM-ADO-OFDM-13 dB VLM-ASCO-OFDM VLM-LACO2-OFDM VLM-LACO3-OFDM VLM-LACO4-OFDM VLM-DCO-OFDM-10 dB VLM-ADO-OFDM-10 dB VLM-DCO-OFDM-13 dB VLM-ADO-OFDM-13 dB VLM-ASCO-OFDM VLM-LACO2-OFDM VLM-ACO-OFDM VLM-FLIP-OFDM | 1024 | 16-QAM 16-QAM 16-QAM 16-QAM 16-QAM 16-QAM 16-QAM 16-QAM 16-QAM 16-QAM 64-QAM 64-QAM 64-QAM 64-QAM 256-QAM 256-QAM 4096-QAM 4096-QAM | 3.27 3.26 1.77 1.22 1.39 1.13 1.62 1.81 1.735 1.51 1.403 1.054 1.06 1.05 1.67 1.79 2.29 2.768 | ≈0 ≈0 −0.06 ≈0 ≈0 ≈0 ≈0 0.45 0.57 0.6 −0.31 ≈0 −0.04 ≈0 ≈0 0.56 ≈0 −0.107 |
Disclaimer/Publisher’s Note: The statements, opinions and data contained in all publications are solely those of the individual author(s) and contributor(s) and not of MDPI and/or the editor(s). MDPI and/or the editor(s) disclaim responsibility for any injury to people or property resulting from any ideas, methods, instructions or products referred to in the content. |
© 2024 by the authors. Licensee MDPI, Basel, Switzerland. This article is an open access article distributed under the terms and conditions of the Creative Commons Attribution (CC BY) license (https://creativecommons.org/licenses/by/4.0/).
Share and Cite
A. Zenhom, Y.; Hamad, E.K.I.; Alghassab, M.; M. Elnabawy, M. Optical-OFDM VLC System: Peak-to-Average Power Ratio Enhancement and Performance Evaluation. Sensors 2024, 24, 2965. https://doi.org/10.3390/s24102965
A. Zenhom Y, Hamad EKI, Alghassab M, M. Elnabawy M. Optical-OFDM VLC System: Peak-to-Average Power Ratio Enhancement and Performance Evaluation. Sensors. 2024; 24(10):2965. https://doi.org/10.3390/s24102965
Chicago/Turabian StyleA. Zenhom, Yasser, Ehab K. I. Hamad, Mohammed Alghassab, and Mohamed M. Elnabawy. 2024. "Optical-OFDM VLC System: Peak-to-Average Power Ratio Enhancement and Performance Evaluation" Sensors 24, no. 10: 2965. https://doi.org/10.3390/s24102965
APA StyleA. Zenhom, Y., Hamad, E. K. I., Alghassab, M., & M. Elnabawy, M. (2024). Optical-OFDM VLC System: Peak-to-Average Power Ratio Enhancement and Performance Evaluation. Sensors, 24(10), 2965. https://doi.org/10.3390/s24102965

