Human-Robot Joint Misalignment, Physical Interaction, and Gait Kinematic Assessment in Ankle-Foot Orthoses
Abstract
:1. Introduction
2. AFOs Description
3. Materials and Methods
3.1. Participants
3.2. Instrumentation and Data Collection
3.3. Experimental Protocol
3.4. Data Processing and Analysis
- (1)
- Misalignment-related measures
- Misalignment Distance)—defined as the difference between the human joint’s position and the AFO joints in the sagittal plane. Figure 9a) details the markers used for this calculation. Differences were calculated using the axis shown.
- Misalignment angle (, corresponding to rotations x-x, y-y, and z-z)—defined as the angle between the human shank and the “support” segment (segments in green in Figure A2), calculated using the JOINTANGLE native function of Visual 3D. This function requires seven main inputs: Segment (Support); Reference Segment (Right Shank); Normalization (Off); 249 Cardan Sequence (X-Y-Z); and negate each of the axes (false for each). Figure 9a) details the markers used for this calculation. Rotations were calculated using the axis shown.
- Strap displacement ()—defined as the strap’s relative movement to the user’s shank in the local reference frame (i.e., the right shank), calculated by the TARGETPATH function of Visual 3D. This function requires three main inputs: Target (markers labeled with an 8 in Figure 3, Figure 4 and Figure 5); Reference Segment (Right Shank); and Resolutions Coordinate System (Right Shank). Figure 9b) details the marker used for this calculation for the F-AFO, identified as STRAP1.
- Shin guard/strap angular displacement ( corresponding to rotations x-x, y-y, and z-z, respectively)—defined as the angle between the shin-guard (F-AFO and L-AFO) or the top strap (H2-AFO) segment and the user’s right shank, calculated using the Visual 3D function JOINTANGLE. The same inputs were used as in point 2, with the only difference being the chosen segments. Figure 9b) details the marker used for this calculation for the F-AFO.
- (2)
- Pressure on Human-AFO Interaction
- (3)
- Analysis of questionnaire responses
- (4)
- Gait Kinematics
- (5)
- Statistical Analysis
4. Results
4.1. Misalignment and Displacement Measures
4.2. Pressure on Human-AFO Interface
4.3. Questionnaire on User’s Satisfaction
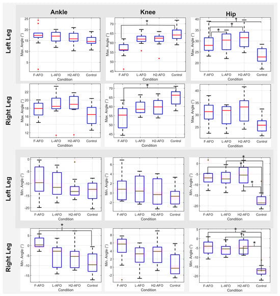
4.4. Gait Kinematics
5. Discussion
Study Limitations
6. Conclusions
Supplementary Materials
Author Contributions
Funding
Institutional Review Board Statement
Informed Consent Statement
Data Availability Statement
Conflicts of Interest
Appendix A

Appendix B

Appendix C
| Parameter | H2-AFO | F-AFO | L-AFO | Control | p-Value |
|---|---|---|---|---|---|
| Speed | 0.64 ± 0.12 | 0.93 ± 0.09 | 0.94 ± 0.13 | 1.07 ± 0.09 | <0.0001 |
| * <0.0001 † <0.0001 ‡ <0.0001 | |||||
| Left Step Length | 0.57 ± 0.05 | 0.62 ± 0.04 | 0.64 ± 0.04 | 0.64 ± 0.03 | 0.0010 |
| * 0.0193 † 0.0033 ‡ 0.0018 | |||||
| Right Step Length | 0.57 ± 0.04 | 0.63 ± 0.04 | 0.64 ± 0.05 | 0.64 ± 0.03 | 0.0021 |
| * 0.0197 † 0.0050 ‡ 0.0054 | |||||
| Right Stance Time | 1.18 ± 0.22 | 0.84 ± 0.08 | 0.85 ± 0.1 | 0.77 ± 0.06 | <0.0001 |
| * <0.0001 † <0.0001 ‡ <0.0001 | |||||
| Left Stance Time | 1.3 ± 0.25 | 0.88 ± 0.08 | 0.89 ± 0.09 | 0.77 ± 0.06 | <0.0001 |
| * <0.0001 † <0.0001 ‡ <0.0001 | |||||
| Right Swing time | 0.67 ± 0.08 | 0.53 ± 0.05 | 0.53 ± 0.05 | 0.43 ± 0.03 | <0.0001 |
| * <0.0001 † <0.0001 ‡ <0.0001 | ‡ 0.0038 | ‡ 0.0025 | |||
| Left Swing time | 0.55 ± 0.06 | 0.48 ± 0.04 | 0.48 ± 0.05 | 0.44 ± 0.03 | 0.0001 |
| * 0.0095 † 0.0163 ‡ <0.0001 | |||||
| L/R Stance Time | 1.1 ± 0.04 | 1.05 ± 0.03 | 1.05 ± 0.03 | 1 ± 0.02 | <0.0001 |
| * 0.0094 † 0.0093 ‡ <0.0001 | ‡ <0.0001 | ‡ <0.0001 | |||
| L/R Swing Time | 0.83 ± 0.05 | 0.91 ± 0.04 | 0.91 ± 0.04 | 1.01 ± 0.04 | <0.0001 |
| * 0.0011 † <0.0001 ‡ <0.0001 | ‡ <0.0001 | ‡ <0.0001 |
| Parameter | H2-AFO | F-AFO | L-AFO | Control | p-Value |
|---|---|---|---|---|---|
| Speed | 0.67 ± 0.05 | 0.73 ± 0.06 | 0.73 ± 0.07 | 1.07 ± 0.09 | <0.0001 |
| ‡ <0.0001 | ‡ <0.0001 | ‡ <0.0001 | |||
| Left Step Length | 0.58 ± 0.04 | 0.63 ± 0.05 | 0.63 ± 0.05 | 0.64 ± 0.03 | 0.01247 |
| ‡ 0.0119 | |||||
| Right Step Length | 0.58 ± 0.04 | 0.62 ± 0.04 | 0.62 ± 0.05 | 0.64 ± 0.03 | 0.00871 |
| ‡ 0.0067 | |||||
| Right Stance Time | 1.11 ± 0.07 | 1.08 ± 0.05 | 1.07 ± 0.05 | 0.77 ± 0.06 | <0.0001 |
| ‡ <0.0001 | ‡ <0.0001 | ‡ <0.0001 | |||
| Left Stance Time | 1.19 ± 0.07 | 1.11 ± 0.05 | 1.11 ± 0.05 | 0.77 ± 0.06 | <0.0001 |
| * 0.0151 † 0.0200 ‡ <0.0001 | ‡ <0.0001 | ‡ <0.0001 | |||
| Right Swing time | 0.64 ± 0.05 | 0.64 ± 0.03 | 0.65 ± 0.04 | 0.43 ± 0.03 | <0.0001 |
| ‡ <0.0001 | ‡ <0.0001 | ‡ <0.0001 | |||
| Left Swing time | 0.56 ± 0.08 | 0.6 ± 0.03 | 0.59 ± 0.03 | 0.44 ± 0.03 | <0.0001 |
| ‡ <0.0001 | ‡ <0.0001 | ‡ <0.0001 | |||
| L/R Stance Time | 1.08 ± 0.06 | 1.03 ± 0.02 | 1.04 ± 0.04 | 1 ± 0.02 | 0.00036 |
| ‡ <0.0001 | |||||
| L/R Swing Time | 0.88 ± 0.11 | 0.95 ± 0.06 | 0.92 ± 0.05 | 1.01 ± 0.04 | 0.00294 |
| ‡ 0.0016 |
References
- Morone, G.; Paolucci, S.; Cherubini, A.; De Angelis, D.; Venturiero, V.; Coiro, P.; Iosa, M. Robot-assisted gait training for stroke patients: Current state of the art and perspectives of robotics. Neuropsychiatr. Dis. Treat. 2017, 13, 1303–1311. [Google Scholar] [CrossRef]
- Volpini, M.; Bartenbach, V.; Pinotti, M.; Riener, R. Clinical evaluation of a low-cost robot for use in physiotherapy and gait training. J. Rehabil. Assist. Technol. Eng. 2017, 4, 205566831668841. [Google Scholar] [CrossRef]
- Postol, N.; Lamond, S.; Galloway, M.; Palazzi, K.; Bivard, A.; Spratt, N.J.; Marquez, J. The Metabolic Cost of Exercising with a Robotic Exoskeleton: A Comparison of Healthy and Neurologically Impaired People. IEEE Trans. Neural Syst. Rehabil. Eng. 2020, 28, 3031–3039. [Google Scholar] [CrossRef] [PubMed]
- Esquenazi, A.; Talaty, M. Robotics for Lower Limb Rehabilitation. Phys. Med. Rehabil. Clin. North Am. 2019, 30, 385–397. [Google Scholar] [CrossRef]
- Agrawal, A.; Banala, S.K.; Agrawal, S.K.; Binder-Macleod, S.A. Design of a two degree-of-freedom ankle-foot orthosis for robotic rehabilitation. In Proceedings of the 2005 IEEE 9th International Conference on Rehabilitation Robotics, Chicago, IL, USA, 28 June–1 July 2005; pp. 41–44. [Google Scholar] [CrossRef]
- American Stroke Association—Foot Drop. Available online: https://www.stroke.org/en/about-stroke/effects-of-stroke/physical-effects-of-stroke/physical-impact/foot-drop (accessed on 10 February 2023).
- Yamamoto, M.; Shimatani, K.; Hasegawa, M.; Kurita, Y. Effect of an ankle–foot orthosis on gait kinematics and kinetics: Case study of post-stroke gait using a musculoskeletal model and an orthosis model. Robomech J. 2019, 6, 9. [Google Scholar] [CrossRef]
- Kwon, J.; Park, J.H.; Ku, S.; Jeong, Y.H.; Paik, N.J.; Park, Y.L. A Soft Wearable Robotic Ankle-Foot-Orthosis for Post-Stroke Patients. IEEE Robot. Autom. Lett. 2019, 4, 2547–2552. [Google Scholar] [CrossRef]
- Shorter, K.A.; Kogler, G.F.; Loth, E.; Durfee, W.K.; Hsiao-Wecksler, E.T. A portable powered ankle-foot orthosis for rehabilitation. J. Rehabil. Res. Dev. 2011, 48, 459–472. [Google Scholar] [CrossRef]
- Moltedo, M.; Bacek, T.; Junius, K.; Vanderborght, B.; Lefeber, D. Mechanical design of a lightweight compliant and adaptable active ankle foot orthosis. In Proceedings of the IEEE RAS and EMBS International Conference on Biomedical Robotics and Biomechatronics, Singapore, 26–29 June 2016; IEEE Computer Society: Washington, DC, USA, 2016; pp. 1224–1229. [Google Scholar] [CrossRef]
- Jarrassé, N.; Morel, G. Connecting a human limb to an exoskeleton. IEEE Trans. Robot. 2012, 28, 697–709. [Google Scholar] [CrossRef]
- Bessler, J.; Prange-Lasonder, G.B.; Schulte, R.V.; Schaake, L.; Prinsen, E.C.; Buurke, J.H. Occurrence and Type of Adverse Events During the Use of Stationary Gait Robots—A Systematic Literature Review. Front. Robot. AI 2020, 7, 158. [Google Scholar] [CrossRef]
- Bessler, J.; Prange-Lasonder, G.B.; Schaake, L.; Saenz, J.F.; Bidard, C.; Fassi, I.; Valori, M.; Lassen, A.B.; Buurke, J.H. Safety Assessment of Rehabilitation Robots: A Review Identifying Safety Skills and Current Knowledge Gaps. Front. Robot. AI 2021, 8, 33. [Google Scholar] [CrossRef]
- Wang, J.; Li, X.; Huang, T.H.; Yu, S.; Li, Y.; Chen, T.; Carriero, A.; Oh-Park, M.; Su, H. Comfort-Centered Design of a Lightweight and Backdrivable Knee Exoskeleton. IEEE Robot. Autom. Lett. 2018, 3, 4265–4272. [Google Scholar] [CrossRef]
- Naf, M.B.; Junius, K.; Rossini, M.; Rodriguez-Guerrero, C.; Vanderborght, B.; Lefeber, D. Misalignment Compensation for Full Human-Exoskeleton Kinematic Compatibility: State of the Art and Evaluation. Appl. Mech. Rev. 2018, 70, 050802. [Google Scholar] [CrossRef]
- Cempini, M.; de Rossi, S.M.M.; Lenzi, T.; Vitiello, N.; Carrozza, M.C. Self-alignment mechanisms for assistive wearable robots: A kinetostatic compatibility method. IEEE Trans. Robot. 2013, 29, 236–250. [Google Scholar] [CrossRef]
- Rocon, E.; Ruiz, A.F.; Raya, R.; Schiele, A.; Pons, J.L. Human–Robot Physical Interaction. In Wearable Robots; John Wiley & Sons: Hoboken, NJ, USA, 2008; pp. 127–163. [Google Scholar] [CrossRef]
- Schiele, A.; van der Helm, F.C.T. Kinematic design to improve ergonomics in human machine interaction. IEEE Trans. Neural Syst. Rehabil. Eng. 2006, 14, 456–469. [Google Scholar] [CrossRef] [PubMed]
- Zanotto, D.; Akiyama, Y.; Stegall, P.; Agrawal, S.K. Knee Joint Misalignment in Exoskeletons for the Lower Extremities: Effects on User’s Gait. IEEE Trans. Robot. 2015, 31, 978–987. [Google Scholar] [CrossRef]
- Schiele, A.; van der Helm, F.C.T. Influence of attachment pressure and kinematic configuration on pHRI with wearable robots. Appl. Bionics Biomech. 2009, 6, 157–173. [Google Scholar] [CrossRef]
- Sarkisian, S.V.; Ishmael, M.K.; Hunt, G.R.; Lenzi, T. Design, Development, and Validation of a Self-Aligning Mechanism for High-Torque Powered Knee Exoskeletons. IEEE Trans. Med. Robot. Bionics 2020, 2, 248–259. [Google Scholar] [CrossRef]
- Bessler-Etten, J.; Schaake, L.; Prange-Lasonder, G.B.; Buurke, J.H. Assessing effects of exoskeleton misalignment on knee joint load during swing using an instrumented leg simulator. J. Neuroeng. Rehabil. 2022, 19, 13. [Google Scholar] [CrossRef]
- Cempini, M.; Marzegan, A.; Rabuffetti, M.; Cortese, M.; Vitiello, N.; Ferrarin, M. Analysis of relative displacement between the HX wearable robotic exoskeleton and the user’s hand. JNER J. Neuroeng. Rehabil. 2014, 11, 147. [Google Scholar] [CrossRef]
- Akiyama, Y.; Yamada, Y.; Okamoto, S. Interaction forces beneath cuffs of physical assistant robots and their motion-based estimation. Adv. Robot. 2015, 29, 1315–1329. [Google Scholar] [CrossRef]
- Ferrarin, M.; Stallard, J.; Palmieri, R.; Pedotti, A. Estimation of deformation in a walking orthosis for paraplegic patients. Clin. Biomech. 1993, 8, 255–261. [Google Scholar] [CrossRef] [PubMed]
- Rathore, A.; Wilcox, M.; Ramirez, D.Z.M.; Loureiro, R.; Carlson, T. Quantifying the human-robot interaction forces between a lower limb exoskeleton and healthy users. In Proceedings of the Annual International Conference of the IEEE Engineering in Medicine and Biology Society, EMBS, Orlando, FL, USA, 16–20 August 2016; Institute of Electrical and Electronics Engineers Inc.: Piscataway, NJ, USA, 2016; pp. 586–589. [Google Scholar] [CrossRef]
- Wilcox, M.; Rathore, A.; Ramirez, D.Z.M.; Loureiro, R.C.V.; Carlson, T. Muscular activity and physical interaction forces during lower limb exoskeleton use. Healthc. Technol. Lett. 2016, 3, 273–279. [Google Scholar] [CrossRef] [PubMed]
- Wang, Y.; Qiu, J.; Cheng, H.; Zheng, X. Analysis of Human–Exoskeleton System Interaction for Ergonomic Design. Hum. Factors 2023, 65, 909–922. [Google Scholar] [CrossRef] [PubMed]
- Armitage, L.; Turner, S.; Sreenivasa, M. Human-device interface pressure measurement in prosthetic, orthotic and exoskeleton applications: A systematic review. Med. Eng. Phys. 2021, 97, 56–69. [Google Scholar] [CrossRef] [PubMed]
- Christensen, S.; Rafique, S.; Bai, S. Design of a powered full-body exoskeleton for physical assistance of elderly people. Int. J. Adv. Robot. Syst. 2021, 18, 17298814211053534. [Google Scholar] [CrossRef]
- Laffranchi, M.; D’Angella, S.; Vassallo, C.; Piezzo, C.; Canepa, M.; De Giuseppe, S.; Di Salvo, M.; Succi, A.; Cappa, S.; Gerruti, G.; et al. User-Centered Design and Development of the Modular TWIN Lower Limb Exoskeleton. Front. Neurorobot. 2021, 15, 709731. [Google Scholar] [CrossRef] [PubMed]
- Weerasingha, A.H.; Pragnathilaka, A.D.K.H.; Withanage, W.P.K.; Ranaweera, R.K.P.S.; Gopura, R.A.R.C. C-JAE: 3 DOF robotic ankle exoskeleton with compatible joint axes. In Proceedings of the MERCon 2018—4th International Multidisciplinary Moratuwa Engineering Research Conference, Moratuwa, Sri Lanka, 30 May–1 June 2018; Institute of Electrical and Electronics Engineers Inc.: Piscataway, NJ, USA, 2018; pp. 270–275. [Google Scholar] [CrossRef]
- Rodríguez-Fernández, A.; Lobo-Prat, J.; Font-Llagunes, J.M. Systematic review on wearable lower-limb exoskeletons for gait training in neuromuscular impairments. J. NeuroEng. Rehabil. 2021, 18, 22. [Google Scholar] [CrossRef]
- Technaid—H2 Exoskeleton. Available online: https://www.technaid.com/products/robotic-exoskeleton-exo-exoesqueleto/ (accessed on 10 February 2023).
- BIRDLab—SMARTOs Project. Available online: http://birdlab.dei.uminho.pt/smartos (accessed on 10 February 2023).
- Tsushima, H.; Morris, M.E.; Mcginley, J. Test-Retest Reliability and Inter-Tester Reliability of Kinematic Data from a Three-Dimensional Gait Analysis System. J. Jpn. Phys. Ther. Assoc. 2003, 6, 9–17. [Google Scholar] [CrossRef]
- De Castro, M.P.; Meucci, M.; Soares, D.P.; Fonseca, P.; Borgonovo-Santos, M.; Sousa, F.; Machado, L.; Vilas-Boas, J.P. Accuracy and repeatability of the gait analysis by the walkinsense system. Biomed. Res. Int. 2014, 2014, 348659. [Google Scholar] [CrossRef]
- Bader, D.L.; Worsley, P.R.; Gefen, A. Bioengineering considerations in the prevention of medical device-related pressure ulcers. Clin. Biomech. 2019, 67, 70–77. [Google Scholar] [CrossRef]
- Silva, P.C.; Silva, M.T.; Martins, J.M. Evaluation of the contact forces developed in the lower limb/orthosis interface for comfort design. Multibody Syst. Dyn. 2010, 24, 367–388. [Google Scholar] [CrossRef]
- Burger, H.; Giordano, A.; Mlakar, M.; Albensi, C.; Brezovar, D.; Franchignoni, F. Cross-cultural adaptation and Rasch validation of the Slovene version of the Orthotics and Prosthetics Users’ Survey (OPUS) Client Satisfaction with Device (CSD) in upper-limb prosthesis users. Ann. Phys. Rehabil. Med. 2019, 62, 168–173. [Google Scholar] [CrossRef] [PubMed]
- Visual 3D Wiki—Model Based Items. Available online: https://c-motion.com/v3dwiki/index.php?title=Model_Based_Items (accessed on 7 February 2023).
- Kermavnar, T.; Power, V.; de Eyto, A.; Ireland, L. Cuff Pressure Algometry in Patients with Chronic Pain as Guidance for Circumferential Tissue Compression for Wearable Soft Exoskeletons: A Systematic Review. Soft Robot. 2018, 5, 497–511. [Google Scholar] [CrossRef] [PubMed]
- Kermavnar, T.; Power, V.; De Eyto, A.; O’Sullivan, L.W. Computerized Cuff Pressure Algometry as Guidance for Circumferential Tissue Compression for Wearable Soft Robotic Applications: A Systematic Review. Soft Robot. 2018, 5, 1–16. [Google Scholar] [CrossRef] [PubMed]
- Neckel, N.; Wisman, W.; Hidler, J. Limb alignment and kinematics inside a lokomat robotic orthosis. In Proceedings of the Annual International Conference of the IEEE Engineering in Medicine and Biology, New York, NY, USA, 30 August–3 September 2006; pp. 2698–2701. [Google Scholar] [CrossRef]
- Neckel, N.D.; Blonien, N.; Nichols, D.; Hidler, J. Abnormal joint torque patterns exhibited by chronic stroke subjects while walking with a prescribed physiological gait pattern. J. Neuroeng. Rehabil. 2008, 5, 19. [Google Scholar] [CrossRef] [PubMed]
- Wang, D.H.; Guo, J.; Lee, K.M.; Yang, C.J.; Yu, H. An adaptive knee joint exoskeleton based on biological geometries. In Proceedings of the IEEE International Conference on Robotics and Automation, Shanghai, China, 9–13 May 2011; pp. 1386–1391. [Google Scholar] [CrossRef]
- Akiyama, Y.; Okamoto, S.; Yamada, Y.; Ishiguro, K. Measurement of contact behavior including slippage of cuff when using wearable physical assistant robot. IEEE Trans. Neural Syst. Rehabil. Eng. 2016, 24, 784–793. [Google Scholar] [CrossRef] [PubMed]
- D’Elia, N.; Vanetti, F.; Cempini, M.; Pasquini, G.; Parri, A.; Rabuffetti, M.; Ferrarin, M.; Lova, R.M.; Vitiello, N. Physical human-robot interaction of an active pelvis orthosis: Toward ergonomic assessment of wearable robots. J. Neuroeng. Rehabil. 2017, 14, 29. [Google Scholar] [CrossRef] [PubMed]
- Ghonasgi, K.; Yousaf, S.N.; Esmatloo, P.; Deshpande, A.D. A modular design for distributed measurement of human–robot interaction forces in wearable devices. Sensors 2021, 21, 1445. [Google Scholar] [CrossRef]
- Tamez-Duque, J.; Cobian-Ugalde, R.; Kilicarslan, A.; Venkatakrishnan, A.; Soto, R.; Contreras-Vidal, J.L. Real-time strap pressure sensor system for powered exoskeletons. Sensors 2015, 15, 4550–4563. [Google Scholar] [CrossRef]
- Lee, T.; Kim, I.; Baek, Y.S. Design of a 2dof ankle exoskeleton with a polycentric structure and a bi-directional tendon-driven actuator controlled using a pid neural network. Actuators 2021, 10, 9. [Google Scholar] [CrossRef]
- Kermavnar, T.; O’Sullivan, K.J.; Casey, V.; de Eyto, A.; O’Sullivan, L.W. Circumferential tissue compression at the lower limb during walking, and its effect on discomfort, pain and tissue oxygenation: Application to soft exoskeleton design. Appl. Ergon. 2020, 86, 103093. [Google Scholar] [CrossRef] [PubMed]
- Sarkisian, S.V.; Ishmael, M.K.; Lenzi, T. Self-Aligning Mechanism Improves Comfort and Performance with a Powered Knee Exoskeleton. IEEE Trans. Neural Syst. Rehabil. Eng. 2021, 29, 629–640. [Google Scholar] [CrossRef] [PubMed]
- Schiele, A. Ergonomics of exoskeletons: Subjective performance metrics. In Proceedings of the 2009 IEEE/RSJ International Conference on Intelligent Robots and Systems, IROS 2009, Salt Lake City, UT, USA, 8–20 March 2009; pp. 480–485. [Google Scholar] [CrossRef]
- Hart, S.G.; Staveland, L.E. Development of NASA-TLX (Task Load Index): Results of Empirical and Theoretical Research. Adv. Psychol. 1988, 52, 139–183. [Google Scholar] [CrossRef]



















| H2-AFO | SOF-AFO | SOL-AFO | |
|---|---|---|---|
| Foot Module | Rubber Outsole with 4 Velcro straps | Sports shoe | Sports shoe |
| Shin Guard | NA | Frontal | Lateral |
| Shank Fixation | Lateral and posterior foam Velcro straps | Posterior Velcro straps | Lateral and posterior fabric straps |
| Upright structure | Stainless steel, 7005 aluminum | AL5754 aluminum | AL5754 aluminum |
| Mass (kg) | 2.10 | 2.18 | 1.90 |
| H2-AFO | SOF-AFO | SOL-AFO | |
|---|---|---|---|
| Top Strap | 19.56 ± 3.07 (0.48) | 8.66 ± 2.84 (0.21) | 7.3 ± 1.43 (0.18) |
| Bottom Strap | 32.96 ± 2.86 (0.80) | 17.35 ± 4.86 (0.42) | 24.56 ± 2.45 (0.60) |
| FSR Group | F-AFO | L-AFO | H2-AFO |
|---|---|---|---|
| Anterior Proximal | 3 | 6 | 3 |
| Anterior Distal | 6 | 7 | 8 |
| Posterior Proximal | 7 | 5 | 1 |
| Posterior Distal | 8 | 8 | 6 |
| Null Hypothesis | Studied Condition | Fixed Conditions | Measure | Test |
|---|---|---|---|---|
| No differences between gait speeds | Gait Speed Variability | FSR, Orthosis | Average Linear and Angular Misalignment/Displacement during Stance and Swing | Two-sample t-test |
| No differences between the 3 AFOs | Orthosis Variability | Speed, Trial, Measure | Average Linear and Angular Misalignment/Displacement during Stance and Swing | One-Way ANOVA/Tukey’s HSD |
| No differences between gait speeds | Gait Speed Variability | FSR, Orthosis | Peak Pressure | Wilcoxon signed-rank Test |
| No differences in Rash Measures between 3 AFOs | Orthosis Variability | FSR, Speed, Trial | Rash Measures | Friedman Test/Tukey’s HSD |
| Joint angles have equal means and variances at different gait speeds | Speed Variability | Orthosis, Joint | Maximum/Minimum Joint Angle | Two-sample t-test |
| No difference in maximum/minimum joint angles between the 4 conditions | Orthosis Variability | Speed, Trial, Joint | Maximum/Minimum Joint Angle | One-Way ANOVA/Tukey’s HSD |
| No difference in Spatiotemporal Parameters between 3 AFOs | Orthosis Variability | Speed, Trial, Parameter | Spatiotemporal Parameters | One-Way ANOVA/Tukey’s HSD |
| Measure | H2 | SOF | SOL | ANOVA p-Value |
|---|---|---|---|---|
| Mz (cm) | −3.03 ± 0.24 | −1.38 ± 0.31 | −1.33 ± 0.11 | 0.0006 |
| * 0.0022 † 0.0017 | ||||
| Dy (cm) | −0.36 ± 0.19 | 0.2 ± −0.69 | 0.44 ± −0.35 | <0.0001 |
| * <0.05 † <0.05 | † 0.0231 | |||
| Dz (cm) | 0.19 ± 0.13 | −0.18 ± −0.91 | −0.15 ± −1.2 | 0.0036 |
| * 0.0070 † 0.0112 | ||||
| Dα (°) | 1.51 ± 0.66 | −1.05 ± 0.45 | −0.86 ± 1.06 | <0.0001 |
| * <0.0001 † <0.0001 |
| Measure | H2 | SOF | SOL | p-Value |
|---|---|---|---|---|
| Mz (cm) | −2.15 ± 0.31 | −0.48 ± 0.38 | −0.58 ± 0.38 | 0.0003 |
| * <0.0001 † 0.0015 | ||||
| Dx (cm) | −0.2 ± 0.7 | −0.45 ± 0.33 | −0.32 ± −0.87 | 0.0170 |
| * 0.0126 | ||||
| Dy (cm) | 0.14 ± −0.56 | 0.88 ± −0.83 | 1.08 ± −0.38 | <0.0001 |
| * <0.0001 † <0.0001 | ||||
| Dz (cm) | −0.1 ± −2.01 | −0.3 ± −0.69 | −0.33 ± −0.65 | 0.0103 |
| * 0.0309 † 0.0152 | ||||
| Dα (°) | −0.55 ± 1.13 | −2.3 ± 0.32 | −2.54 ± 0.88 | 0.0020 |
| * <0.001 † <0.0001 |
| H2-AFO | F-AFO | L-AFO | |
|---|---|---|---|
| FSR1 | 1.000 | 1.000 | 1.000 |
| FSR2 | 1.000 | 0.375 | 1.000 |
| FSR3 | 1.000 | 0.508 | 1.000 |
| FSR4 | 0.727 | 1.000 | 1.000 |
| FSR5 | 0.453 | 0.727 | 0.508 |
| FSR6 | 0.727 | 0.039 | 0.039 |
| FSR7 | 1.000 | 1.000 | 1.000 |
| FSR8 | 0.727 | 0.508 | 1.000 |
| Pressure Values (kPa) | ||||||||
|---|---|---|---|---|---|---|---|---|
| F-AFO | L-AFO | H2-AFO | PDT | PTT | PPT | |||
| Healthy | Chronic Pain | Healthy | Chronic Pain | |||||
| Group Anterior Proximal | 0.88 ± 1.01 | 10.84 ± 8.8 | 24.66 ± 20.72 | NA | 545.50 | |||
| Group Anterior Distal | 1.43 ± 1.26 | 12.55 ± 12.88 | 6.91 ± 8.32 | 588.10 | ||||
| Group Posterior Proximal | 7.52 ± 8.46 | 8.98 ± 6.23 | 9.42 ± 7.44 | 16–34 | 10–18 | 42–91 | <25 | 416.60 |
| Group Posterior Distal | 2.89 ± 1.73 | 12.02 ± 7.7 | 11.68 ± 7.63 | 416.60 | ||||
| Condition | Right Knee | Left Knee | Left Hip |
|---|---|---|---|
| H2-AFO | 54.24 ± 6.55° | 56.34 ± 4.52° | 29.14 ± 5.17° |
| F-AFO | 59.65 ± 4.12° | 61.82 ± 2.95° | 29.71 ± 4.34° |
| L-AFO | 59.72 ± 4.71° | 61.59 ± 3.92° | 31.27 ± 4.68° |
| Non-AFO (Control) | 65.36 ± 4.32° | 64.41 ± 3.78° | 23.17 ± 3.67° |
| p-Value | 0.00038 | 0.00039 | 0.00333 |
| Orthosis | Right Ankle | Right Hip | Left Hip |
|---|---|---|---|
| H2-AFO | 1.32 ± 2.84° | −4.59 ± 4.1° | −6.54 ± 4.19° |
| F-AFO | −5.34 ± 6.67° | −5.74 ± 2.94° | −7.13 ± 4.23° |
| L-AFO | −5.6 ± 6.31° | −4.5 ± 4.48° | −5.78 ± 4.86° |
| Non-AFO (Control) | −8.5 ± 5.54° | −17.28 ± 3.06° | −17.24 ± 3.97° |
| p-Value | 0.0065 | <0.0001 | <0.0001 |
| Parameter | H2-AFO | F-AFO | L-AFO | Control | p-Value |
|---|---|---|---|---|---|
| Gait Speed | 0.64 ± 0.12 | 0.93 ± 0.09 | 0.94 ± 0.13 | 1.07 ± 0.09 | <0.0001 |
| * <0.0001 † <0.0001 ‡ <0.0001 | |||||
| Right Step Length | 0.57 ± 0.04 | 0.63 ± 0.04 | 0.64 ± 0.05 | 0.64 ± 0.03 | 0.0021 |
| * 0.0197 † 0.0001 ‡ 0.0001 | |||||
| Right Stance Time | 1.18 ± 0.22 | 0.84 ± 0.08 | 0.85 ± 0.1 | 0.77 ± 0.06 | <0.0001 |
| * <0.0001 † <0.0001 ‡ <0.0001 | |||||
| Right Swing time | 0.67 ± 0.08 | 0.53 ± 0.05 | 0.53 ± 0.05 | 0.43 ± 0.03 | <0.0001 |
| * <0.0001 † <0.0001 ‡ <0.0001 | ‡ 0.0038 | ‡ 0.0025 | |||
| L/R Stance Time | 1.1 ± 0.04 | 1.05 ± 0.03 | 1.05 ± 0.03 | 1 ± 0.02 | <0.0001 |
| * 0.0094 † 0.0093 ‡ <0.0001 | ‡ <0.0001 | ‡ <0.0001 | |||
| L/R Swing Time | 0.83 ± 0.05 | 0.91 ± 0.04 | 0.91 ± 0.04 | 1.01 ± 0.04 | <0.0001 |
| * 0.0011 † <0.0001 ‡ <0.0001 | ‡ <0. 0001 | ‡ <0.0001 |
| Parameter | H2-AFO | F-AFO | L-AFO | Control | p-Value |
|---|---|---|---|---|---|
| Gait Speed | 0.67 ± 0.05 | 0.73 ± 0.06 | 0.73 ± 0.07 | 1.07 ± 0.09 | <0.0001 |
| ‡ <0.0001 | ‡ <0.05 | ‡ <0.0001 | |||
| Right Step Length | 0.58 ± 0.04 | 0.62 ± 0.04 | 0.62 ± 0.05 | 0.64 ± 0.03 | 0.0087 |
| ‡ 0.0067 | |||||
| Right Stance Time | 1.11 ± 0.07 | 1.08 ± 0.05 | 1.07 ± 0.05 | 0.77 ± 0.06 | <0.0001 |
| ‡ <0.0001 | ‡ <0.0001 | ‡ <0.0001 | |||
| Right Swing time | 0.64 ± 0.05 | 0.64 ± 0.03 | 0.65 ± 0.04 | 0.43 ± 0.03 | <0.0001 |
| ‡ <0.0001 | ‡ <0.0001 | ‡ <0.0001 | |||
| L/R Stance time | 1.08 ± 0.06 | 1.03 ± 0.02 | 1.04 ± 0.04 | 1 ± 0.02 | 0.00036 |
| ‡ <0.0001 | |||||
| L/R Swing Time | 0.88 ± 0.11 | 0.95 ± 0.06 | 0.92 ± 0.05 | 1.01 ± 0.04 | 0.00294 |
| ‡ 0.0016 |
Disclaimer/Publisher’s Note: The statements, opinions and data contained in all publications are solely those of the individual author(s) and contributor(s) and not of MDPI and/or the editor(s). MDPI and/or the editor(s) disclaim responsibility for any injury to people or property resulting from any ideas, methods, instructions or products referred to in the content. |
© 2023 by the authors. Licensee MDPI, Basel, Switzerland. This article is an open access article distributed under the terms and conditions of the Creative Commons Attribution (CC BY) license (https://creativecommons.org/licenses/by/4.0/).
Share and Cite
Andrade, R.L.; Figueiredo, J.; Fonseca, P.; Vilas-Boas, J.P.; Silva, M.T.; Santos, C.P. Human-Robot Joint Misalignment, Physical Interaction, and Gait Kinematic Assessment in Ankle-Foot Orthoses. Sensors 2024, 24, 246. https://doi.org/10.3390/s24010246
Andrade RL, Figueiredo J, Fonseca P, Vilas-Boas JP, Silva MT, Santos CP. Human-Robot Joint Misalignment, Physical Interaction, and Gait Kinematic Assessment in Ankle-Foot Orthoses. Sensors. 2024; 24(1):246. https://doi.org/10.3390/s24010246
Chicago/Turabian StyleAndrade, Ricardo Luís, Joana Figueiredo, Pedro Fonseca, João P. Vilas-Boas, Miguel T. Silva, and Cristina P. Santos. 2024. "Human-Robot Joint Misalignment, Physical Interaction, and Gait Kinematic Assessment in Ankle-Foot Orthoses" Sensors 24, no. 1: 246. https://doi.org/10.3390/s24010246
APA StyleAndrade, R. L., Figueiredo, J., Fonseca, P., Vilas-Boas, J. P., Silva, M. T., & Santos, C. P. (2024). Human-Robot Joint Misalignment, Physical Interaction, and Gait Kinematic Assessment in Ankle-Foot Orthoses. Sensors, 24(1), 246. https://doi.org/10.3390/s24010246

