Validation of a Skin Calorimeter to Determine the Heat Capacity and the Thermal Resistance of the Skin
Abstract
1. Introduction
2. Materials and Methods
2.1. Experimental System
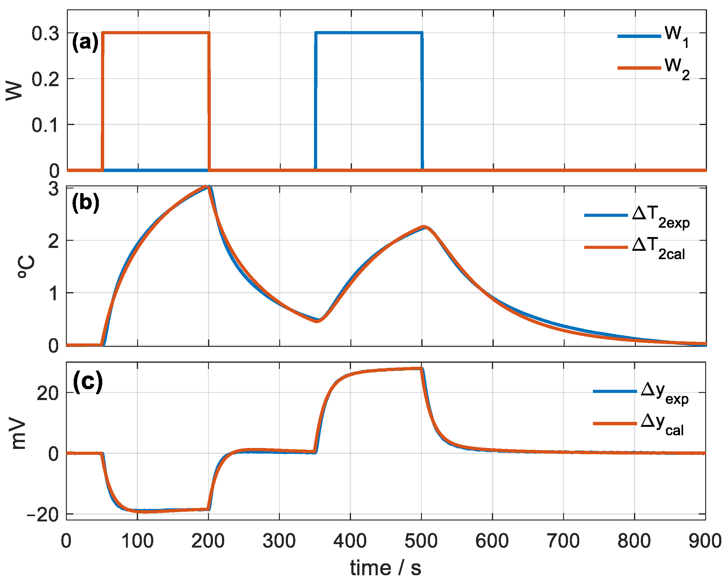
2.2. Calorimetric Model and Calibration
2.3. Skin Thermal Property Determination
3. Results and Discussion
3.1. Determination of Heat Capacity of Inert Substances
3.2. Initial Heat Capacity Value and Measurement Thermal Depth
3.3. Effects of the Thermostat Temperature Change Magnitude
3.4. Skin Heat Capacity Determination
4. Conclusions
- Calibration is achieved by dissipating known powers and using inert substances with known thermal properties. It has been found that the heat capacity determined by the device is directly dependent on the thermal measurement depth, which has exponential time dependence.
- With inert substances, the uncertainty in the measurement of heat capacities is ±0.04 JK−1, and the uncertainty in the measurement of thermal resistance is ±0.4 KW−1. However, in measurements made in the dorsal and volar areas of the wrist, this uncertainty increases to ±0.1 JK−1 for heat capacity and ±0.7 KW−1 for thermal resistance. This increase is likely caused by the inherent variability of the skin, a living tissue.
- The skin calorimeter can be used to monitor the thermal properties of the skin. However, if periodic variations in the thermostat temperature are used, it must be taken into account that the depth of the measurement will increase with the period. For a clinical validation of the instrument, it would be necessary to perform more measurements in humans that are well designed in terms of measurement time, type of activity and temperature scheduling.
Author Contributions
Funding
Institutional Review Board Statement
Informed Consent Statement
Data Availability Statement
Conflicts of Interest
References
- Rodríguez de Rivera, P.J.; Socorro, F.; Calbet, J.A.L.; Rodríguez de Rivera, M. Advantages of in vivo measurement of human skin thermal conductance using a calorimetric sensor. J. Therm. Anal. Calorim. 2022, 147, 10027–10036. [Google Scholar] [CrossRef]
- Rodríguez de Rivera, P.J.; Socorro, F.; Rodríguez de Rivera, M. In vivo measurement of skin heat capacity: Advantages of the scanning calorimetric sensor. J. Therm. Anal. Calorim. 2022, 147, 12155–12163. [Google Scholar] [CrossRef]
- Webb, R.C.; Pielak, R.M.; Bastien, P.; Ayers, J.; Niittynen, J.; Kurniawan, J.; Manco, M.; Lin, A.; Cho, N.H.; Malyrchuk, V.; et al. Thermal Transport Characteristics of Human Skin Measured In Vivo Using Ultrathin Conformal Arrays of Thermal Sensors and Actuators. PLoS ONE 2015, 10, e0118131. [Google Scholar] [CrossRef] [PubMed]
- Okabe, T.; Fujimura, T.; Okajima, J.; Aiba, S.; Maruyama, S. Non-invasive measurement of effective thermal conductivity of human skin with a guard-heated thermistor probe. Int. J. Heat Mass Transf. 2018, 126, 625–635. [Google Scholar] [CrossRef]
- Okabe, T.; Fujimura, T.; Okajima, J.; Kambayashi, Y.; Aiba, S.; Maruyama, S. First-in-human clinical study of novel technique to diagnose malignant melanoma via thermal conductivity measurements. Sci. Rep. 2019, 9, 3853. [Google Scholar] [CrossRef] [PubMed]
- Sabbah, R.; Xu, A.; Chickos, J.S.; Planas Leitão, M.L.; Roux, M.V.; Torres, L.A. Reference materials for calorimetry and differential thermal analysis. Thermochim. Acta 1999, 331, 93–204. [Google Scholar] [CrossRef]
- Socorro, F.; Rodriguez de Rivera, P.J.; Rodríguez de Rivera, M. Calorimetric minisensor for the localized measurement of surface heat dissipated from the human body. Sensors 2016, 16, 1864. [Google Scholar] [CrossRef] [PubMed]
- Kirchner, R.; Rodriguez de Rivera, M.; Seidel, J.; Torra, V. Identification of micro-scale calorimetric devices. Part VI. An approach by RC-representative model to improvements in TAM Microcalorimeters. J. Therm. Anal. Calorim. 2005, 82, 179–184. [Google Scholar] [CrossRef]
- Nelder, J.A.; Mead, C. A simplex method for function minimization. Comput. J. 1965, 7, 308–313. [Google Scholar] [CrossRef]
- Lagarias, J.C.; Reeds, A.; Wright, M.H.; Wright, P.E. Convergence Properties of the Nelder-Mead Simplex Method in Low Dimensions. SIAM J. Optim. 1998, 9, 112–147. [Google Scholar] [CrossRef]
- Rodríguez de Rivera, P.J.; Rodríguez de Rivera, M. Measurement of human body surface heat flux using a calorimetric sensor. J. Therm. Biol. 2019, 81, 178–184. [Google Scholar] [CrossRef] [PubMed]
- Hasgall, P.A.; Di Gennaro, F.; Baumgartner, C.; Neufeld, E.; Lloyd, B.; Gosselin, M.C.; Payne, D.; Klingenböck, A.; Kuster, N. IT’IS Database for Thermal and Electromagnetic Parameters of Biological Tissues, version 4.1; IT’IS Foundation: Zürich, Switzerland, 2022. [Google Scholar] [CrossRef]
- Gustafsson, S.E. Transient plane source techniques for thermal conductivity and thermal diffusivity measurements of solid materials. Rev. Sci. Instrum. 1991, 62, 797. [Google Scholar] [CrossRef]
- D’Esposito, R.; Balanethiram, S.; Battaglia, J.L.; Frégonèse, S.; Zimmer, T. Thermal Penetration Depth Analysis and Impact of the BEOL Metals on the Thermal Impedance of SiGe HBTs. IEEE Electron. Device Lett. 2017, 38, 1457–1460. [Google Scholar] [CrossRef]












| C1 (JK−1) | C2 (JK−1) | P1 (WK−1) | P2 (WK−1) | P12 (WK−1) | K (VK−1) | |
|---|---|---|---|---|---|---|
| Mean | 3.617 | 4.373 | 32.52 × 10−3 | 54.45 × 10−3 | 109.65 × 10−3 | 20.82 × 10−3 |
| std | 0.004 | 0.025 | 0.643 × 10−3 | 1.28 × 10−3 | 0.86 × 10−3 | 0.012 × 10−3 |
| Material | Thermal Diffusivity (m2 s−1) | Heat Capacity (JK−1 cm−3) | Thermal Conductivity (WK−1 m−1) |
|---|---|---|---|
| EPS | 1.778 × 10−6 | 0.0225 | 0.040 |
| Yellow Brass | 42.636 × 10−6 | 2.5800 | 110.0 |
| Teflon | 0.0777 × 10−6 | 3.2186 | 0.250 |
| Human Skin [12] | 0.0984 × 10−6 | 3.7606 | 0.370 |
Disclaimer/Publisher’s Note: The statements, opinions and data contained in all publications are solely those of the individual author(s) and contributor(s) and not of MDPI and/or the editor(s). MDPI and/or the editor(s) disclaim responsibility for any injury to people or property resulting from any ideas, methods, instructions or products referred to in the content. |
© 2023 by the authors. Licensee MDPI, Basel, Switzerland. This article is an open access article distributed under the terms and conditions of the Creative Commons Attribution (CC BY) license (https://creativecommons.org/licenses/by/4.0/).
Share and Cite
Rodríguez de Rivera, P.J.; Rodríguez de Rivera, M.; Socorro, F.; Rodríguez de Rivera, M. Validation of a Skin Calorimeter to Determine the Heat Capacity and the Thermal Resistance of the Skin. Sensors 2023, 23, 4391. https://doi.org/10.3390/s23094391
Rodríguez de Rivera PJ, Rodríguez de Rivera M, Socorro F, Rodríguez de Rivera M. Validation of a Skin Calorimeter to Determine the Heat Capacity and the Thermal Resistance of the Skin. Sensors. 2023; 23(9):4391. https://doi.org/10.3390/s23094391
Chicago/Turabian StyleRodríguez de Rivera, Pedro Jesús, Miriam Rodríguez de Rivera, Fabiola Socorro, and Manuel Rodríguez de Rivera. 2023. "Validation of a Skin Calorimeter to Determine the Heat Capacity and the Thermal Resistance of the Skin" Sensors 23, no. 9: 4391. https://doi.org/10.3390/s23094391
APA StyleRodríguez de Rivera, P. J., Rodríguez de Rivera, M., Socorro, F., & Rodríguez de Rivera, M. (2023). Validation of a Skin Calorimeter to Determine the Heat Capacity and the Thermal Resistance of the Skin. Sensors, 23(9), 4391. https://doi.org/10.3390/s23094391

