Effects of Law Enforcement Load Carriage Systems on Muscle Activity and Coordination during Walking: An Exploratory Study
Abstract
1. Introduction
2. Materials and Methods
2.1. Study Design and Participants
2.2. Procedures
2.3. Statistical Analysis
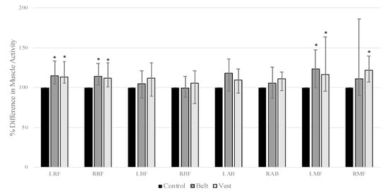
3. Results
3.1. sEMG Amplitude and Sample Entropy
3.2. Intermuscular Coordination
4. Discussion
5. Conclusions
Author Contributions
Funding
Institutional Review Board Statement
Informed Consent Statement
Data Availability Statement
Acknowledgments
Conflicts of Interest
References
- Marins, E.F.; David, G.B.; Del Vecchio, F.B. Characterization of the Physical Fitness of Police Officers: A Systematic Review. J. Strength Cond. Res. 2019, 33, 2860–2874. [Google Scholar] [CrossRef] [PubMed]
- Gray, S.E.; Collie, A. The Nature and Burden of Occupational Injury among First Responder Occupations: A Retrospective Cohort Study in Australian Workers. Injury 2017, 48, 2470–2477. [Google Scholar] [CrossRef] [PubMed]
- Lyons, K.; Radburn, C.; Orr, R.; Pope, R. A Profile of Injuries Sustained by Law Enforcement Officers: A Critical Review. Int. J. Environ. Res. Public. Health 2017, 14, 142. [Google Scholar] [CrossRef]
- Antolini, M.R.; Weston, Z.J.; Tiidus, P.M. Physical Fitness Characteristics of a Front-Line Firefighter Population. Acta Kinesiol. Univ. Tartu. 2015, 21, 61. [Google Scholar] [CrossRef]
- Kaufman, K. Military Training-Related Injuries Surveillance, Research, and Prevention. Am. J. Prev. Med. 2000, 18, 54–63. [Google Scholar] [CrossRef]
- Shaffer, S.W.; Teyhen, D.S.; Lorenson, C.L.; Warren, R.L.; Koreerat, C.M.; Straseske, C.A.; Childs, J.D. Y-Balance Test: A Reliability Study Involving Multiple Raters. Mil. Med. 2013, 178, 1264–1270. [Google Scholar] [CrossRef]
- Bock, C.; Orr, R.; Stierli, M.; Hinton, B. The Functional Movement Screen as a Predictor of Police Occupational Task Performance. J. Sci. Med. Sport 2014, 18, e79. [Google Scholar] [CrossRef]
- Kanner, J.S. Preventing Disability Losses in Emergency Services. Risk Manage. 1991, 38, 48. [Google Scholar]
- Kumar, S.; Narayan, Y. Low Back Pain among RCMP Officers: An Investigation into Vehicles, Duty Belts and Boots; PS63-2/1999-1E-PDF; Government of Canada Publications: Ottawa, ON, Canada, 1999; Available online: https://publications.gc.ca/site/eng/327989/publication.html (accessed on 18 April 2022).
- Ramsey, J.; Eisenburg, J. Evaluation of Low Back Pain and Duty Equipment Wear Configurations in Police Officers; U.S. Department of Health and Human Services, Public Health Service, Centers for Disease Control and Prevention, National Institute for Occupational Safety and Health: Washington, DC, USA, 2020.
- Crow, W.T.; Willis, D.R. Estimating Cost of Care for Patients with Acute Low Back Pain: A Retrospective Review of Patient Records. J. Am. Osteopath. Assoc. 2009, 109, 229–233. [Google Scholar] [CrossRef]
- Sterling, M.; Jull, G.; Wright, A. The Effect of Musculoskeletal Pain on Motor Activity and Control. J. Pain 2001, 2, 135–145. [Google Scholar] [CrossRef]
- Graven-Nielsen, T.; Arendt-Nielsen, L. Impact of Clinical and Experimental Pain on Muscle Strength and Activity. Curr. Rheumatol. Rep. 2008, 10, 475–481. [Google Scholar] [CrossRef] [PubMed]
- Silfies, S.P.; Squillante, D.; Maurer, P.; Westcott, S.; Karduna, A.R. Trunk Muscle Recruitment Patterns in Specific Chronic Low Back Pain Populations. Clin. Biomech. Bristol Avon 2005, 20, 465–473. [Google Scholar] [CrossRef]
- Lamoth, C.J.C.; Meijer, O.G.; Daffertshofer, A.; Wuisman, P.I.J.M.; Beek, P.J. Effects of Chronic Low Back Pain on Trunk Coordination and Back Muscle Activity during Walking: Changes in Motor Control. Eur. Spine J. 2006, 15, 23–40. [Google Scholar] [CrossRef]
- Orr, R.M.; Pope, R.; Johnston, V.; Coyle, J. Soldier Occupational Load Carriage: A Narrative Review of Associated Injuries. Int. J. Inj. Contr. Saf. Promot. 2014, 21, 388–396. [Google Scholar] [CrossRef] [PubMed]
- Knapik, J.; Harman, E.; Reynolds, K. Load Carriage Using Packs: A Review of Physiological, Biomechanical and Medical Aspects. Appl. Ergon. 1996, 27, 207–216. [Google Scholar] [CrossRef] [PubMed]
- Walsh, G.S.; Low, D.C. Military Load Carriage Effects on the Gait of Military Personnel: A Systematic Review. Appl. Ergon. 2021, 93, 103376. [Google Scholar] [CrossRef]
- Rice, H.; Fallowfield, J.; Allsopp, A.; Dixon, S. Influence of a 12.8-Km Military Load Carriage Activity on Lower Limb Gait Mechanics and Muscle Activity. Ergonomics 2017, 60, 649–656. [Google Scholar] [CrossRef]
- Simpson, K.M.; Munro, B.J.; Steele, J.R. Backpack Load Affects Lower Limb Muscle Activity Patterns of Female Hikers during Prolonged Load Carriage. J. Electromyogr. Kinesiol. Off. J. Int. Soc. Electrophysiol. Kinesiol. 2011, 21, 782–788. [Google Scholar] [CrossRef] [PubMed]
- Silder, A.; Delp, S.L.; Besier, T. Men and Women Adopt Similar Walking Mechanics and Muscle Activation Patterns during Load Carriage. J. Biomech. 2013, 46, 2522–2528. [Google Scholar] [CrossRef]
- Motmans, R.R.E.E.; Tomlow, S.; Vissers, D. Trunk Muscle Activity in Different Modes of Carrying Schoolbags. Ergonomics 2006, 49, 127–138. [Google Scholar] [CrossRef]
- Park, H.; Branson, D.; Kim, S.; Warren, A.; Jacobson, B.; Petrova, A.; Peksoz, S.; Kamenidis, P. Effect of Armor and Carrying Load on Body Balance and Leg Muscle Function. Gait Posture 2014, 39, 430–435. [Google Scholar] [CrossRef]
- Brink, K.J.; McKenzie, K.L.; Likens, A.D. Nonlinear Analyses Distinguish Load Carriage Dynamics in Walking and Standing: A Systematic Review. J. Appl. Biomech. 2022, 1, 1–14. [Google Scholar] [CrossRef] [PubMed]
- Tang, X.; Zhang, X.; Gao, X.; Chen, X.; Zhou, P. A Novel Interpretation of Sample Entropy in Surface Electromyographic Examination of Complex Neuromuscular Alternations in Subacute and Chronic Stroke. IEEE Trans. Neural Syst. Rehabil. Eng. Publ. IEEE Eng. Med. Biol. Soc. 2018, 26, 1878–1888. [Google Scholar] [CrossRef] [PubMed]
- Zhang, X.; Zhou, P. Sample Entropy Analysis of Surface EMG for Improved Muscle Activity Onset Detection against Spurious Background Spikes. J. Electromyogr. Kinesiol. Off. J. Int. Soc. Electrophysiol. Kinesiol. 2012, 22, 901–907. [Google Scholar] [CrossRef]
- Panjabi, M.M. Clinical Spinal Instability and Low Back Pain. J. Electromyogr. Kinesiol. Off. J. Int. Soc. Electrophysiol. Kinesiol. 2003, 13, 371–379. [Google Scholar] [CrossRef]
- Tsao, H.; Druitt, T.R.; Schollum, T.M.; Hodges, P.W. Motor Training of the Lumbar Paraspinal Muscles Induces Immediate Changes in Motor Coordination in Patients with Recurrent Low Back Pain. J. Pain 2010, 11, 1120–1128. [Google Scholar] [CrossRef] [PubMed]
- Stegeman, D.; Hermens, H. Standards for Surface Electromyography: The European Project Surface EMG for Non-Invasive Assessment of Muscles (SENIAM). Enschede Roessingh Res. Dev. 2007, 10, 8–12. [Google Scholar]
- Lindner, T.; Schulze, C.; Woitge, S.; Finze, S.; Mittelmeier, W.; Bader, R. The Effect of the Weight of Equipment on Muscle Activity of the Lower Extremity in Soldiers. Sci. World J. 2012, 2012, 976513. [Google Scholar] [CrossRef]
- Coles, S. Threshold Models. In An Introduction to Statistical Modeling of Extreme Values; Coles, S., Ed.; Springer Series in Statistics; Springer: London, UK, 2001; pp. 74–91. ISBN 978-1-4471-3675-0. [Google Scholar]
- Cotten, E.; Prapavessis, H. Increasing Nonsedentary Behaviors in University Students Using Text Messages: Randomized Controlled Trial. JMIR MHealth UHealth 2016, 4, e5411. [Google Scholar] [CrossRef]
- Efficacy of a Self-Management Education Program for People with Type 2 Diabetes: Results of a 12 Month Trial—PubMed. Available online: https://pubmed.ncbi.nlm.nih.gov/19566639/ (accessed on 12 October 2022).
- Wilcoxon Signed-Rank Test—An Overview|ScienceDirect Topics. Available online: https://www-sciencedirect-com.mutex.gmu.edu/topics/mathematics/wilcoxon-signed-rank-test (accessed on 12 October 2022).
- Cohen, J. Statistical Power Analysis for the Behavioral Sciences; L. Erlbaum Associates: Hillsdale, NJ, USA, 1988; ISBN 978-0-8058-0283-2. [Google Scholar]
- Attwells, R.L.; Birrell, S.A.; Hooper, R.H.; Mansfield, N.J. Influence of Carrying Heavy Loads on Soldiers’ Posture, Movements and Gait. Ergonomics 2006, 49, 1527–1537. [Google Scholar] [CrossRef] [PubMed]
- Devroey, C.; Jonkers, I.; de Becker, A.; Lenaerts, G.; Spaepen, A. Evaluation of the Effect of Backpack Load and Position during Standing and Walking Using Biomechanical, Physiological and Subjective Measures. Ergonomics 2007, 50, 728–742. [Google Scholar] [CrossRef]
- Birrell, S.A.; Haslam, R.A. The Effect of Military Load Carriage on 3-D Lower Limb Kinematics and Spatiotemporal Parameters. Ergonomics 2009, 52, 1298–1304. [Google Scholar] [CrossRef] [PubMed]
- Smith, B.; Ashton, K.M.; Bohl, D.; Clark, R.C.; Metheny, J.B.; Klassen, S. Influence of Carrying a Backpack on Pelvic Tilt, Rotation, and Obliquity in Female College Students. Gait Posture 2006, 23, 263–267. [Google Scholar] [CrossRef] [PubMed]
- Strube, E.M.; Sumner, A.; Kollock, R.; Games, K.E.; Lackamp, M.A.; Mizutani, M.; Sefton, J.M. The Effect of Military Load Carriage on Postural Sway, Forward Trunk Lean, and Pelvic Girdle Motion. Int. J. Exerc. Sci. 2017, 10, 25–36. [Google Scholar] [PubMed]
- Zajac, F.E. Muscle Coordination of Movement: A Perspective. J. Biomech. 1993, 26, 109–124. [Google Scholar] [CrossRef] [PubMed]
- Zajac, F.E.; Neptune, R.R.; Kautz, S.A. Biomechanics and Muscle Coordination of Human Walking: Part I: Introduction to Concepts, Power Transfer, Dynamics and Simulations. Gait Posture 2002, 16, 215–232. [Google Scholar] [CrossRef]
- McGill, S.M.; Grenier, S.; Kavcic, N.; Cholewicki, J. Coordination of Muscle Activity to Assure Stability of the Lumbar Spine. J. Electromyogr. Kinesiol. Off. J. Int. Soc. Electrophysiol. Kinesiol. 2003, 13, 353–359. [Google Scholar] [CrossRef] [PubMed]
- Frizziero, A.; Pellizzon, G.; Vittadini, F.; Bigliardi, D.; Costantino, C. Efficacy of Core Stability in Non-Specific Chronic Low Back Pain. J. Funct. Morphol. Kinesiol. 2021, 6, 37. [Google Scholar] [CrossRef]
- Hoogendoorn, W.E.; Bongers, P.M.; de Vet, H.C.; Douwes, M.; Koes, B.W.; Miedema, M.C.; Ariëns, G.A.; Bouter, L.M. Flexion and Rotation of the Trunk and Lifting at Work Are Risk Factors for Low Back Pain: Results of a Prospective Cohort Study. Spine 2000, 25, 3087–3092. [Google Scholar] [CrossRef]
- Maupin, D.J.; Canetti, E.F.D.; Schram, B.; Lockie, R.G.; Dawes, J.J.; Dulla, J.M.; Orr, R.M. Profiling the Injuries of Law Enforcement Recruits during Academy Training: A Retrospective Cohort Study. BMC Sports Sci. Med. Rehabil. 2022, 14, 136. [Google Scholar] [CrossRef]
- Knapik, J.J.; Harman, E.A.; Steelman, R.A.; Graham, B.S. A Systematic Review of the Effects of Physical Training on Load Carriage Performance. J. Strength Cond. Res. 2012, 26, 585–597. [Google Scholar] [CrossRef] [PubMed]
- Kraemer, W.J.; Vescovi, J.D.; Volek, J.S.; Nindl, B.C.; Newton, R.U.; Patton, J.F.; Dziados, J.E.; French, D.N.; Häkkinen, K. Effects of Concurrent Resistance and Aerobic Training on Load-Bearing Performance and the Army Physical Fitness Test. Mil. Med. 2004, 169, 994–999. [Google Scholar] [CrossRef] [PubMed]
- Orr, R.; Dawes, J.; Lockie, R.; Godeassi, D. The Relationship between Lower-Body Strength and Power, and Load Carriage Tasks: A Critical Review. Int. J. Exerc. Sci. 2019, 12, 1001–1022. [Google Scholar] [PubMed]
- Luca, C.J.D. The Use of Surface Electromyography in Biomechanics. J. Appl. Biomech. 1997, 13, 135–163. [Google Scholar] [CrossRef]




| Muscle | Control | Belt | Vest | p-Value |
|---|---|---|---|---|
| Left Rectus Femoris | 0.011 (0.008, 0.013) | 0.011 (0.006, 0.013) | 0.011 (0.008, 0.13) | 0.061 |
| Right Rectus Femoris | 0.010 (0.006, 0.013) | 0.009 (0.006, 0.013) | 0.008 (0.007, 0.012) | 0.275 |
| Left Biceps Femoris | 0.007 (0.006, 0.008) | 0.007 (0.006, 0.009) | 0.006 (0.005, 0.008) | 0.539 |
| Right Biceps Femoris | 0.006 (0.006, 0.008) | 0.006 (0.005, 0.007) | 0.006 (0.005, 0.007) | 0.550 |
| Left Rectus Abdominus | 0.012 (0.009, 0.015) | 0.013 (0.010, 0.014) | 0.012 (0.011, 0.014) | 0.959 |
| Right Rectus Abdominus | 0.012 (0.010, 0.014) | 0.011 (0.010, 0.014) | 0.012 (0.010, 0.014) | 0.687 |
| Left Multifidus | 0.014 (0.013, 0.015) | 0.014 (0.014, 0.015) | 0.015 (0.012, 0.015) | 0.957 |
| Right Multifidus | 0.015 (0.014, 0.016) | 0.015 (0.014, 0.015) | 0.015 (0.013, 0.016) | 0.738 |
| Control | Belt | Vest | ||||||
|---|---|---|---|---|---|---|---|---|
| Muscle Pair | M | SD | M | SD | M | SD | p-Value | Post-Hoc |
| LRF-RRF | 0.16 | 0.43 | 0.11 | 0.41 | 0.14 | 0.44 | 0.115 | |
| LRF-LBF | 0.50 | 0.52 | 0.51 | 0.55 | 0.47 | 0.52 | 0.755 | |
| LRF-RBF | −0.31 | 0.29 | −0.28 | 0.25 | −0.29 | 0.32 | 0.214 | |
| LRF-LAB | 0.09 | 0.19 | 0.18 | 0.21 | 0.23 | 0.20 | 0.007 | Belt < Control |
| LRF-RAB | 0.03 | 0.22 | 0.10 | 0.23 | 0.05 | 0.23 | 0.847 | |
| LRF-LMF | 0.33 | 0.27 | 0.32 | 0.28 | 0.30 | 0.31 | 0.759 | |
| LRF-RMF | 0.46 | 0.30 | 0.46 | 0.30 | 0.46 | 0.34 | 0.970 | |
| RRF-LBF | −0.21 | 0.31 | −0.18 | 0.32 | −0.22 | 0.31 | 0.883 | |
| RRF-RBF | 0.46 | 0.52 | 0.42 | 0.50 | 0.47 | 0.56 | 0.214 | |
| RRF-LAB | 0.05 | 0.19 | 0.14 | 0.18 | 0.05 | 0.22 | 0.453 | |
| RRF-RAB | 0.08 | 0.17 | 0.15 | 0.23 | 0.17 | 0.26 | 0.175 | |
| RRF-LMF | 0.54 | 0.30 | 0.50 | 0.35 | 0.52 | 0.35 | 0.610 | |
| RRF-RMF | 0.38 | 0.22 | 0.39 | 0.23 | 0.39 | 0.24 | 0.994 | |
| LBF-RBF | −0.39 | 0.27 | −0.32 | 0.21 | −0.38 | 0.25 | 0.185 | |
| LBF-LAB | 0.14 | 0.19 | 0.18 | 0.26 | 0.18 | 0.18 | 0.697 | |
| LBF-RAB | 0.04 | 0.14 | −0.03 | 0.15 | −0.07 | 0.19 | 0.048 | Vest < Control |
| LBF-LMF | 0.27 | 0.26 | 0.26 | 0.37 | 0.20 | 0.29 | 0.425 | |
| LBF-RMF | 0.29 | 0.25 | 0.26 | 0.27 | 0.27 | 0.28 | 0.697 | |
| RBF-LAB | 0.02 | 0.21 | 0.01 | 0.16 | −0.06 | 0.18 | 0.036 | None |
| RBF-RAB | 0.06 | 0.19 | 0.11 | 0.28 | 0.22 | 0.28 | 0.016 | Vest > Control |
| RBF-LMF | 0.27 | 0.30 | 0.15 | 0.31 | 0.27 | 0.32 | 0.049 | None |
| RBF-RMF | 0.28 | 0.30 | 0.20 | 0.24 | 0.26 | 0.30 | 0.263 | |
| LAB-RAB | 0.55 | 0.34 | 0.55 | 0.39 | 0.50 | 0.41 | 0.686 | |
| LAB-LMF | 0.17 | 0.21 | 0.24 | 0.20 | 0.19 | 0.16 | 0.268 | |
| LAB-RMF | 0.19 | 0.24 | 0.20 | 0.23 | 0.21 | 0.23 | 0.940 | |
| RAB-LMF | 0.14 | 0.27 | 0.17 | 0.26 | 0.21 | 0.22 | 0.354 | |
| RAB-RMF | 0.13 | 0.29 | 0.08 | 0.27 | 0.20 | 0.28 | 0.115 | |
| LMF-RMF | 0.68 | 0.33 | 0.63 | 0.42 | 0.60 | 0.38 | 0.072 | |
Disclaimer/Publisher’s Note: The statements, opinions and data contained in all publications are solely those of the individual author(s) and contributor(s) and not of MDPI and/or the editor(s). MDPI and/or the editor(s) disclaim responsibility for any injury to people or property resulting from any ideas, methods, instructions or products referred to in the content. |
© 2023 by the authors. Licensee MDPI, Basel, Switzerland. This article is an open access article distributed under the terms and conditions of the Creative Commons Attribution (CC BY) license (https://creativecommons.org/licenses/by/4.0/).
Share and Cite
Martin, J.; Sax van der Weyden, M.; Fyock-Martin, M. Effects of Law Enforcement Load Carriage Systems on Muscle Activity and Coordination during Walking: An Exploratory Study. Sensors 2023, 23, 4052. https://doi.org/10.3390/s23084052
Martin J, Sax van der Weyden M, Fyock-Martin M. Effects of Law Enforcement Load Carriage Systems on Muscle Activity and Coordination during Walking: An Exploratory Study. Sensors. 2023; 23(8):4052. https://doi.org/10.3390/s23084052
Chicago/Turabian StyleMartin, Joel, Megan Sax van der Weyden, and Marcie Fyock-Martin. 2023. "Effects of Law Enforcement Load Carriage Systems on Muscle Activity and Coordination during Walking: An Exploratory Study" Sensors 23, no. 8: 4052. https://doi.org/10.3390/s23084052
APA StyleMartin, J., Sax van der Weyden, M., & Fyock-Martin, M. (2023). Effects of Law Enforcement Load Carriage Systems on Muscle Activity and Coordination during Walking: An Exploratory Study. Sensors, 23(8), 4052. https://doi.org/10.3390/s23084052

