Apply Graph Signal Processing on NILM: An Unsupervised Approach Featuring Power Sequences †
Abstract
1. Introduction
- an improved STS extraction method is proposed for capturing sequences containing each complete switching event between operational states of an appliance;
- in the proposed unsupervised GSP-based NILM approach, each graph node maps a STS, where the adjacency matrix is weighted based on DTW distances between STSs;
- a forward-backward power STS matching algorithm is proposed for matching each ‘rising’ STS to the optimal ‘falling’ one, based on their power ranges and time interval;
- the proposed method is validated on open-access AMPds, REFIT and REDD datasets, benchmarked with state-of-the-art GSP-based NILM methods using different features and two classic NILM approaches based on SHMM and CO.
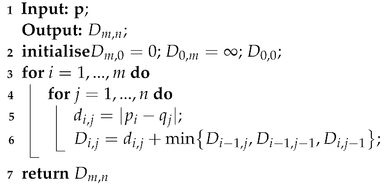
2. Preliminary Knowledge
2.1. Dynamic Time Warping
| Algorithm 1: DTW distance calculation |
![]() |
2.2. Graph Signal Processing
3. Methodology
3.1. State Transition Sequence Extraction
| Algorithm 2: STS extraction algorithm |
![]() |
3.2. GSP-Based Power Sequence Clustering
3.3. Forward-Backward Power STS Matching
| Algorithm 3: STS pairing algorithm |
![]() |
| Algorithm 4: Forward-backward power STS matching algorithm |
![]() |
4. Experiment Setup
4.1. Dataset
4.2. Parameter Selection
4.3. Evaluation Metrics
4.3.1. Percent-Noisy Measure
4.3.2. F-Measure
4.3.3. Disaggregation Accuracy
5. Experimental Results and Discussion
5.1. NILM Results on AMPds Dataset
5.2. NILM Results on REFIT Dataset
5.3. NILM Results on REDD Dataset
5.4. Noise Measurement for All Experimental Cases
6. Conclusions
Author Contributions
Funding
Institutional Review Board Statement
Informed Consent Statement
Data Availability Statement
Conflicts of Interest
References
- Corbett, J.; Wardle, K.; Chen, C. Toward a Sustainable Modern Electricity Grid: The Effects of Smart Metering and Program Investments on Demand-Side Management Performance in the US Electricity Sector 2009-2012. IEEE Trans. Eng. Manag. 2018, 252–263. [Google Scholar] [CrossRef]
- Hart, G.W. Nonintrusive appliance load monitoring. Proc. IEEE 1992, 80, 1870–1891. [Google Scholar] [CrossRef]
- Lin, Y.H. Trainingless multi-objective evolutionary computing-based nonintrusive load monitoring: Part of smart-home energy management for demand-side management. J. Build. Eng. 2021, 33, 101601. [Google Scholar] [CrossRef]
- Zeifman, M.; Roth, K. Nonintrusive appliance load monitoring: Review and outlook. IEEE Trans. Consum. Electr. 2011, 57, 76–84. [Google Scholar] [CrossRef]
- Makonin, S.; Popowich, F.; Bajić, I.V.; Gill, B.; Bartram, L. Exploiting HMM sparsity to perform online real-time nonintrusive load monitoring. IEEE Trans. Smart Grid 2015, 7, 2575–2585. [Google Scholar] [CrossRef]
- Xiao, Z.; Gang, W.; Yuan, J.; Zhang, Y.; Fan, C. Cooling load disaggregation using a NILM method based on random forest for smart buildings. Sustain. Cities Soc. 2021, 74, 103202. [Google Scholar] [CrossRef]
- Liao, J.; Elafoudi, G.; Stankovic, L.; Stankovic, V. Non-intrusive appliance load monitoring using low-resolution smart meter data. In Proceedings of the 2014 IEEE International Conference on Smart Grid Communications (SmartGridComm), Venice, Italy, 3–6 November 2014; pp. 535–540. [Google Scholar]
- Kelly, J.; Knottenbelt, W. Neural nilm: Deep neural networks applied to energy disaggregation. In Proceedings of the 2nd ACM International Conference on Embedded Systems for Energy-Efficient Built Environments, Seoul, Republic of Korea, 4–5 November 2015; pp. 55–64. [Google Scholar]
- Chen, S.; Zhao, B.; Zhong, M.; Luan, W.; Yu, Y. Non-intrusive Load Monitoring based on Self-supervised Learning. IEEE Trans. Instrument. Meas. 2023, 72, 1–13. [Google Scholar] [CrossRef]
- Zhang, C.; Zhong, M.; Wang, Z.; Goddard, N.; Sutton, C. Sequence-to-point learning with neural networks for non-intrusive load monitoring. In Proceedings of the Thirty-second AAAI Conference on Artificial Intelligence, New Orleans, LA, USA, 2–7 February 2018. [Google Scholar]
- D’Incecco, M.; Squartini, S.; Zhong, M. Transfer learning for non-intrusive load monitoring. IEEE Trans. Smart Grid 2019, 11, 1419–1429. [Google Scholar] [CrossRef]
- Altrabalsi, H.; Stankovic, V.; Liao, J.; Stankovic, L. Low-complexity energy disaggregation using appliance load modelling. Aims Energy 2016, 4, 884–905. [Google Scholar] [CrossRef]
- Lin, Y.H.; Tsai, M.S.; Chen, C.S. Applications of fuzzy classification with fuzzy c-means clustering and optimization strategies for load identification in NILM systems. In Proceedings of the 2011 IEEE International Conference on Fuzzy Systems (FUZZ-IEEE 2011), Taipei, Taiwan, 27–30 June 2011; pp. 859–866. [Google Scholar] [CrossRef]
- Bhotto, M.Z.A.; Makonin, S.; Bajić, I.V. Load Disaggregation Based on Aided Linear Integer Programming. IEEE Trans. Circ. Syst. II Express Briefs 2017, 64, 792–796. [Google Scholar] [CrossRef]
- Dash, S.; Sodhi, R.; Sodhi, B. An Appliance Load Disaggregation Scheme Using Automatic State Detection Enabled Enhanced Integer Programming. IEEE Trans. Ind. Inform. 2021, 17, 1176–1185. [Google Scholar] [CrossRef]
- Balletti, M.; Piccialli, V.; Sudoso, A.M. Mixed-Integer Nonlinear Programming for State-Based Non-Intrusive Load Monitoring. IEEE Trans. Smart Grid 2022, 13, 3301–3314. [Google Scholar] [CrossRef]
- Zhao, B.; Stankovic, L.; Stankovic, V. On a training-less solution for non-intrusive appliance load monitoring using graph signal processing. IEEE Access 2016, 4, 1784–1799. [Google Scholar] [CrossRef]
- He, K.; Stankovic, V.; Stankovic, L. Building a Graph signal processing model using dynamic time warping for load disaggregation. Sensors 2020, 20, 6628. [Google Scholar] [CrossRef] [PubMed]
- Jia, N.; Wang, J.; Li, N. Application of data mining in intelligent power consumption. In Proceedings of the International Conference on Automatic Control and Artificial Intelligence (ACAI 2012), Xiamen, China, 3–5 March 2012; pp. 538–541. [Google Scholar]
- Bonfigli, R.; Principi, E.; Fagiani, M.; Severini, M.; Squartini, S.; Piazza, F. Non-intrusive load monitoring by using active and reactive power in additive Factorial Hidden Markov Models. Appl. Energy 2017, 208, 1590–1607. [Google Scholar] [CrossRef]
- Cominola, A.; Giuliani, M.; Piga, D.; Castelletti, A.; Rizzoli, A.E. A Hybrid Signature-based Iterative Disaggregation algorithm for Non-Intrusive Load Monitoring. Appl. Energy 2017, 185, 331–344. [Google Scholar] [CrossRef]
- Luan, W.; Yang, F.; Zhao, B.; Liu, B. Industrial load disaggregation based on hidden Markov models. Electr. Power Syst. Res. 2022, 210, 108086. [Google Scholar] [CrossRef]
- Kumar, P.; Abhyankar, A.R. A Time Efficient Factorial Hidden Markov Model Based Approach for Non-Intrusive Load Monitoring. IEEE Trans. Smart Grid 2023. [Google Scholar] [CrossRef]
- Athanasiadis, C.L.; Papadopoulos, T.A.; Doukas, D.I. Real-time non-intrusive load monitoring: A light-weight and scalable approach. Energy Build. 2021, 253, 111523. [Google Scholar] [CrossRef]
- Ahmed, S.; Bons, M. Edge Computed NILM: A Phone-Based Implementation Using MobileNet Compressed by Tensorflow Lite. In Proceedings of the 5th International Workshop on Non-Intrusive Load Monitoring (NILM ‘20), New York, NY, USA, 18 November 2020; pp. 44–48. [Google Scholar] [CrossRef]
- Su, S.; Yan, Y.; Lu, H.; Kangping, L.; Yujing, S.; Fei, W.; Liming, L.; Hui, R. Non-intrusive load monitoring of air conditioning using low-resolution smart meter data. In Proceedings of the 2016 IEEE International Conference on Power System Technology (POWERCON), Wollongong, NSW, Australia, 28 September–1 October 2016; pp. 1–5. [Google Scholar]
- Himeur, Y.; Alsalemi, A.; Bensaali, F.; Amira, A. Smart non-intrusive appliance identification using a novel local power histogramming descriptor with an improved k-nearest neighbors classifier. Sustain. Cities Soc. 2021, 67, 102764. [Google Scholar] [CrossRef]
- Liu, Q.; Nakoty, F.M.; Wu, X.; Anaadumba, R.; Liu, X.; Zhang, Y.; Qi, L. A secure edge monitoring approach to unsupervised energy disaggregation using mean shift algorithm in residential buildings. Comput. Commun. 2020, 162, 187–195. [Google Scholar] [CrossRef]
- Stankovic, V.; Liao, J.; Stankovic, L. A graph-based signal processing approach for low-rate energy disaggregation. In Proceedings of the 2014 IEEE Symposium on Computational Intelligence for Engineering Solutions (CIES), Orlando, FL, USA, 9–12 December 2014; pp. 81–87. [Google Scholar]
- He, K.; Stankovic, L.; Liao, J.; Stankovic, V. Non-intrusive load disaggregation using graph signal processing. IEEE Trans. Smart Grid 2018, 9, 1739–1747. [Google Scholar] [CrossRef]
- Zhao, B.; He, K.; Stankovic, L.; Stankovic, V. Improving Event-Based Non-Intrusive Load Monitoring Using Graph Signal Processing. IEEE Access 2018, 6, 53944–53959. [Google Scholar] [CrossRef]
- Batra, N.; Kukunuri, R.; Pandey, A.; Malakar, R.; Kumar, R.; Krystalakos, O.; Zhong, M.; Meira, P.; Parson, O. Towards Reproducible State-of-the-Art Energy Disaggregation. In Proceedings of the 6th ACM International Conference on Systems for Energy-Efficient Buildings, Cities, and Transportation, New York, NY, USA, 13–14 November 2019; BuildSys ’19. pp. 193–202. [Google Scholar] [CrossRef]
- Makonin, S.; Popowich, F.; Bartram, L.; Gill, B.; Bajić, I.V. AMPds: A public dataset for load disaggregation and eco-feedback research. In Proceedings of the 2013 IEEE Electrical Power & Energy Conference, Halifax, Nova Scotia, Canada, 21–23 August 2013; pp. 1–6. [Google Scholar]
- Murray, D.; Stankovic, L.; Stankovic, V. An electrical load measurements dataset of United Kingdom households from a two-year longitudinal study. Sci. Data 2017, 4, 160122. [Google Scholar] [CrossRef]
- Kolter, J.Z.; Johnson, M.J. REDD: A public data set for energy disaggregation research. In Proceedings of the Workshop on Data Mining Applications in Sustainability (SIGKDD), San Diego, CA, USA, 21 August 2011; Volume 25, pp. 59–62. [Google Scholar]
- Itakura, F. Minimum prediction residual principle applied to speech recognition. IEEE Trans. Acoust. Speech Signal Process. 1975, 23, 67–72. [Google Scholar] [CrossRef]
- Liu, B.; Luan, W.; Yu, Y. Dynamic time warping based non-intrusive load transient identification. Appl. Energy 2017, 195, 634–645. [Google Scholar] [CrossRef]
- Qi, B.; Liu, L.; Wu, X. Low-rate nonintrusive load disaggregation for resident load based on graph signal processing. IEEJ Trans. Electr. Electron. Eng. 2018, 13. [Google Scholar] [CrossRef]
- Shuman, D.I.; Narang, S.K.; Frossard, P.; Ortega, A.; Vandergheynst, P. The Emerging Field of Signal Processing on Graphs: Extending High-Dimensional Data Analysis to Networks and Other Irregular Domains. IEEE Signal Process. Magaz. 2013, 30, 83–98. [Google Scholar] [CrossRef]
- Li, X.; Zhao, B.; Luan, W.; Liu, B. An Unsupervised Load Disaggregation Approach Based on Graph Signal Processing Featuring Power Sequences. In Proceedings of the 9th ACM International Conference on Systems for Energy-Efficient Buildings, Cities, and Transportation, New York, NY, USA, 9–10 November 2022; BuildSys ’22. pp. 378–382. [Google Scholar] [CrossRef]
- Zhao, B.; Ye, M.; Stankovic, L.; Stankovic, V. Non-intrusive load disaggregation solutions for very low-rate smart meter data. Appl. Energy 2020, 268, 114949. [Google Scholar] [CrossRef]














| Parameters | T | q | ||||||||
|---|---|---|---|---|---|---|---|---|---|---|
| AMPds | 50 | 1 | 1 | 500 | 0.2 | 0.5 | 0.5 | 0.01 | 50 | 0.5 |
| REFIT | 50 | 2 | 2 | 1000 | 0.2 | 0.9 | 0.1 | 0.01 | 50 | 0.5 |
| REDD | 50 | 3 | 3 | 2000 | 0.2 | 0.5 | 0.5 | 0.01 | 50 | 0.5 |
Disclaimer/Publisher’s Note: The statements, opinions and data contained in all publications are solely those of the individual author(s) and contributor(s) and not of MDPI and/or the editor(s). MDPI and/or the editor(s) disclaim responsibility for any injury to people or property resulting from any ideas, methods, instructions or products referred to in the content. |
© 2023 by the authors. Licensee MDPI, Basel, Switzerland. This article is an open access article distributed under the terms and conditions of the Creative Commons Attribution (CC BY) license (https://creativecommons.org/licenses/by/4.0/).
Share and Cite
Zhao, B.; Li, X.; Luan, W.; Liu, B. Apply Graph Signal Processing on NILM: An Unsupervised Approach Featuring Power Sequences. Sensors 2023, 23, 3939. https://doi.org/10.3390/s23083939
Zhao B, Li X, Luan W, Liu B. Apply Graph Signal Processing on NILM: An Unsupervised Approach Featuring Power Sequences. Sensors. 2023; 23(8):3939. https://doi.org/10.3390/s23083939
Chicago/Turabian StyleZhao, Bochao, Xuhao Li, Wenpeng Luan, and Bo Liu. 2023. "Apply Graph Signal Processing on NILM: An Unsupervised Approach Featuring Power Sequences" Sensors 23, no. 8: 3939. https://doi.org/10.3390/s23083939
APA StyleZhao, B., Li, X., Luan, W., & Liu, B. (2023). Apply Graph Signal Processing on NILM: An Unsupervised Approach Featuring Power Sequences. Sensors, 23(8), 3939. https://doi.org/10.3390/s23083939





