An Improved Magnetic Field Method to Locate the Grounding Conductor
Abstract
1. Introduction
2. Error Analysis of Magnetic Field Differential Method
2.1. Magnetic Field Differentiation Method
2.2. Simulation of Current-Carrying Grounding Gird
2.3. Numerical Differential Error Analysis
2.4. Peak Position Error Analysis
3. Experimental Analysis
3.1. Simulation Experiment
3.2. Substation Field Experiment
4. Conclusions
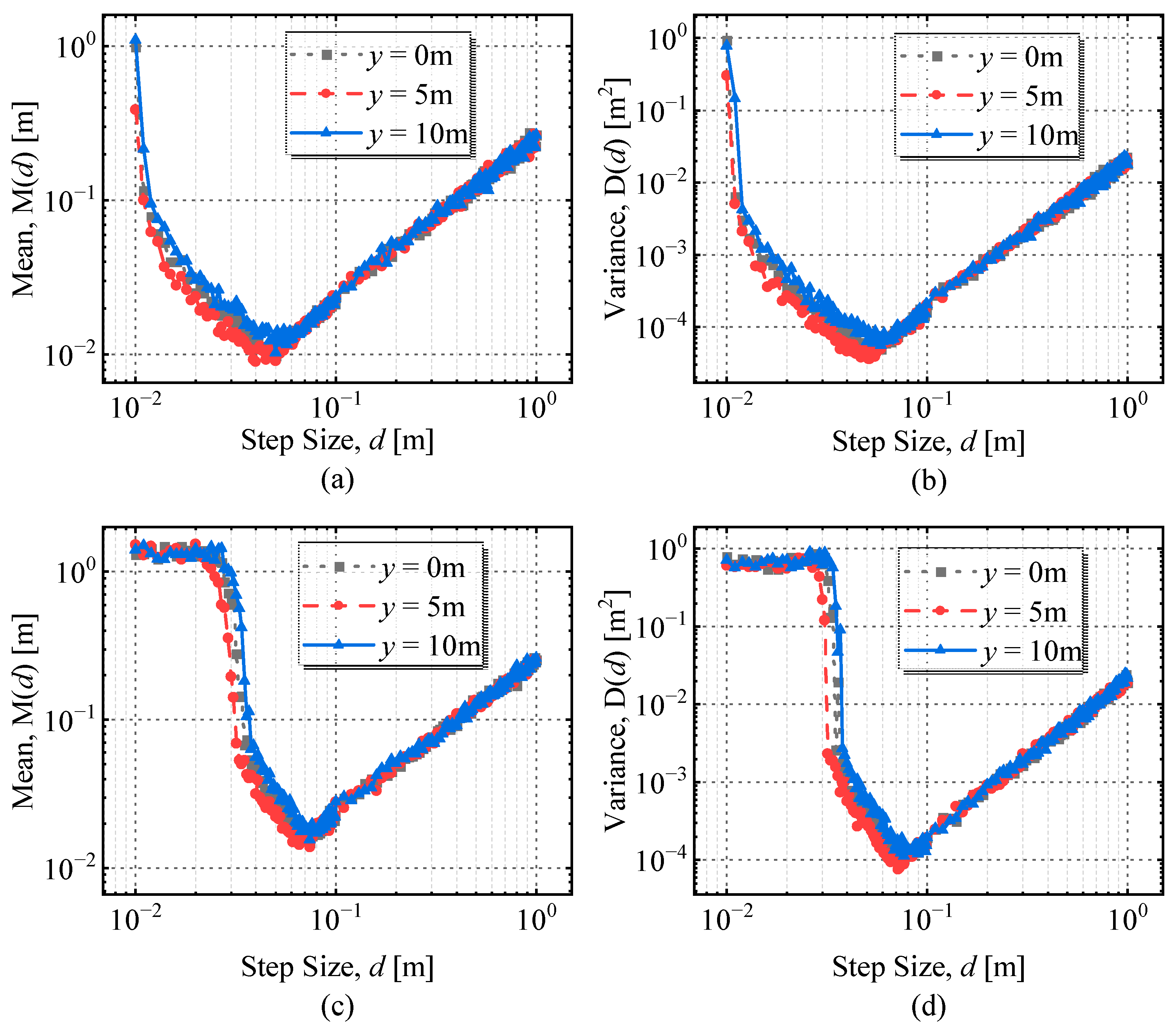
- A small measurement step causes a large rounding error in the numerical differentiation. With the increase of the measurement step, the truncation error caused by the numerical differentiation increases the error of the conductor positioning.
- The peak position deviation expectation and variance showed a trend of first decreasing and then increasing with the increase of the measurement step size. The measurement step size under different differential orders had a local optimum value, and the range of the local optimum value was given; this result is verified by simulation and experimental results.
- Choosing a reasonable measurement step size for different differential orders helps to improve the positioning accuracy of the grounding grid conductors.
Author Contributions
Funding
Institutional Review Board Statement
Informed Consent Statement
Data Availability Statement
Conflicts of Interest
References
- Liu, P.; Huang, C. Detecting Single-Phase-to-Ground Fault Event and Identifying Faulty Feeder in Neutral Ineffectively Grounded Distribution System. IEEE Trans. Power Deliv. 2018, 33, 2265–2273. [Google Scholar] [CrossRef]
- Li, B.; Ren, X.; Li, B. Study on the Charge Transfer Criterion for the Pole-to-Ground Fault in DC Distribution Networks. IEEE Access 2019, 7, 102386–102396. [Google Scholar] [CrossRef]
- Qiu, Y.; Thomas, S.; Fabijanic, D.; Barlow, A.J.; Fraser, H.L.; Birbilis, N. Microstructural Evolution, Electrochemical and Corrosion Properties of AlxCoCrFeNiTiy High Entropy Alloys. Mater. Des. 2019, 170, 107698. [Google Scholar] [CrossRef]
- Feng, L.; Yan, A.; Meng, Y.; Hou, J. Investigation on Corrosion of Yttrium-Doped Magnesium-Based Sacrificial Anode in Ground Grid Protection. J. Rare Earths 2010, 28, 389–392. [Google Scholar] [CrossRef]
- Liu, B.; Ma, H.; Xu, H.; Ju, P. Single-Phase-to-Ground Fault Detection with Distributed Parameters Analysis in Non-Direct Grounded Systems. CSEE J. Power Energy Syst. 2019, 5, 139–147. [Google Scholar] [CrossRef]
- Fu, Z.; Wang, X.; Wang, Q.; Xu, X.; Fu, N.; Qin, S. Advances and Challenges of Corrosion and Topology Detection of Grounding Grid. Appl. Sci. 2019, 9, 2290. [Google Scholar] [CrossRef]
- Xue, Y.; Chen, X.; Song, H.; Xu, B. Resonance Analysis and Faulty Feeder Identification of High-Impedance Faults in a Resonant Grounding System. IEEE Trans. Power Deliv. 2017, 32, 1545–1555. [Google Scholar] [CrossRef]
- Qamar, A.; Shah, N.; Kaleem, Z.; Uddin, Z.; Orakzai, F.A. Breakpoint diagnosis of substation grounding grid using derivative method. Prog. Electromagn. Res. M 2017, 57, 73–80. [Google Scholar] [CrossRef]
- Hu, J.; Hu, J.; Lan, D.; Ming, J.; Zhou, Y.; Li, Y. Corrosion Evaluation of the Grounding Grid in Transformer Substation Using Electrical Impedance Tomography Technology. In Proceedings of the IECON 2017—43rd Annual Conference of the IEEE Industrial Electronics Society, Beijing, China, 29 October–1 November 2017; pp. 5033–5038. [Google Scholar]
- He, Y.; Shao, X.; Hu, J.; Liu, Y.; Jin, C.; Pan, J. Corrosion Condition Detect of Entire Grounding System in a 500 kV Converting Station Using Electrical Impedance Imaging Method. In Proceedings of the 2018 IEEE International Conference on High Voltage Engineering and Application (ICHVE), Athens, Greece, 10–13 September 2018; pp. 1–4. [Google Scholar]
- Gomes, L.V.; de Macedo, E.C.T.; Albuquerque, T.C.; Guedes, E.C.; Junior, G.V.A.; de Castro, M.S.; Freire, R.C.S. Embedded System to Grounding Grid Diagnosis of Energized Substations. In Proceedings of the 2012 IEEE International Instrumentation and Measurement Technology Conference Proceedings, Graz, Austria, 13–16 May 2012; pp. 796–800. [Google Scholar]
- Hu, H.; Luo, R.; Fang, M.; Zeng, S.; Hu, F. A New Optimization Design for Grounding Grid. Int. J. Electr. Power Energy Syst. 2019, 108, 61–71. [Google Scholar] [CrossRef]
- El-Refaie, E.-S.M.; Elmasry, S.E.; Elrahman, M.K.A.; Abdo, M.H. Achievement of the Best Design for Unequally Spaced Grounding Grids. Ain Shams Eng. J. 2015, 6, 171–179. [Google Scholar] [CrossRef]
- Dong, M.; Shi, Z.; Li, X.; Shao, G.; Yang, F.; Yao, D.; Zhang, K. A Diagnosis of Grounding Grid Corrosion Defects Based on Branch Voltage Disturbance. IEEE Access 2020, 8, 36749–36756. [Google Scholar] [CrossRef]
- Chow, Y.; Salama, M. A Simplified Method for Calculating the Substation Grounding Grid Resistance. IEEE Trans. Power Deliv. 1994, 9, 736–742. [Google Scholar] [CrossRef]
- Ma, J.; Dawalibi, F.P. Influence of Inductive Coupling between Leads on Ground Impedance Measurements Using the Fall-of-Potential Method. IEEE Trans. Power Deliv. 2001, 16, 739–743. [Google Scholar] [CrossRef]
- Dawalibi, F. Electromagnetic Fields Generated by Overhead and Buried Short Conductors. Part 1 Single Conductor. IEEE Power Eng. Rev. 1986, 1, 112–119. [Google Scholar] [CrossRef]
- Zhang, B.; Zhao, Z.; Cui, X.; Li, L. Diagnosis of Breaks in Substation’s Grounding Grid by Using the Electromagnetic Method. IEEE Trans. Magn. 2002, 38, 473–476. [Google Scholar] [CrossRef]
- Kai, L.; Fan, Y.; Songyang, Z.; Liwei, Z.; Jiayuan, H.; Xiaoyu, W.; Ullah, I. Research on Grounding Grids Imaging Reconstruction Based on Magnetic Detection Electrical Impedance Tomography. IEEE Trans. Magn. 2018, 54, 1–4. [Google Scholar] [CrossRef]
- Song, H.; Dong, H.; Wang, X.; Tang, L. Non-Destructive Diagnosis of Grounding Grids Based on the Electromagnetic Induction Impedance Method. Meas. Sci. Technol. 2021, 32, 115901. [Google Scholar] [CrossRef]
- Zhang, P.; He, J.-J.; Zhang, D.; Wu, L.-M. A Fault Diagnosis Method for Substation Grounding Grid Based on the Square-Wave Frequency Domain Model. Metrol. Meas. Syst. 2012, 19, 63–72. [Google Scholar] [CrossRef]
- Ma, Y.; Karady, G.G. Investigating Grounding Grid Integrity Based on the Current Injection Method. In Proceedings of the 41st North American Power Symposium, Starkville, MS, USA, 4–6 October 2009; pp. 1–5. [Google Scholar]
- Kostić, V.I.; Raičević, N.B. A Study on High-Voltage Substation Ground Grid Integrity Measurement. Electr. Power Syst. Res. 2016, 131, 31–40. [Google Scholar] [CrossRef]
- Fan, Y.; Kai, L.; Liwei, Z.; Songyang, Z.; Jiayuan, H.; Xiaoyu, W.; Bin, G. A Derivative-Based Method for Buried Depth Detection of Metal Conductors. IEEE Trans. Magn. 2018, 54, 1–9. [Google Scholar] [CrossRef]
- Kou, X.; Dong, M.; Yang, F.; Han, S.; Zhang, K.; Guo, L.; Ding, G. Design of Grounding Grid Conductor Positioning Device on the Magnetic Field Method. Prog. Electromagn. Res. M 2018, 67, 105–117. [Google Scholar] [CrossRef]
- Arellano, Y.; Hunt, A.; Haas, O.; Ahmed, H.; Ma, L. Multiple Regression-Based Prediction Correlations for Enhanced Sensor Design of Magnetic Induction Tomography Systems. Meas. Sci. Technol. 2019, 31, 024002. [Google Scholar] [CrossRef]
- Yu, C.; Fu, Z.; Wu, G.; Zhou, L.; Zhu, X.; Bao, M. Configuration Detection of Substation Grounding Grid Using Transient Electromagnetic Method. IEEE Trans. Ind. Electron. 2017, 64, 6475–6483. [Google Scholar] [CrossRef]
- Wang, X.; Fu, Z.; Wang, Y.; Liu, R.; Chen, L. A Non-Destructive Testing Method for Fault Detection of Substation Grounding Grids. Sensors 2019, 19, 2046. [Google Scholar] [CrossRef]
- Yu, C.; Fu, Z.; Hou, X.; Tai, H.-M.; Su, X. Break-Point Diagnosis of Grounding Grids Using Transient Electromagnetic Apparent Resistivity Imaging. IEEE Trans. Power Deliv. 2015, 30, 2485–2491. [Google Scholar] [CrossRef]
- Wang, Y.; Huang, Y.; Zeng, X.; Wei, G.; Zhou, J.; Fang, T.; Chen, H. Faulty Feeder Detection of Single Phase-Earth Fault Using Grey Relation Degree in Resonant Grounding System. IEEE Trans. Power Deliv. 2017, 32, 55–61. [Google Scholar] [CrossRef]
- Anggoro, B.; Yutadhia, R.E. The Grounding Impedance Characteristics of Grid Configuration. Procedia Technol. 2013, 11, 1156–1162. [Google Scholar] [CrossRef]
- Bao, J.-F.; Li, C.; Shen, W.-P.; Yao, J.-C.; Guu, S.-M. Approximate Gauss–Newton Methods for Solving Underdetermined Nonlinear Least Squares Problems. Appl. Numer. Math. 2017, 111, 92–110. [Google Scholar] [CrossRef]
- Gaudreau, P.; Hayami, K.; Aoki, Y.; Safouhi, H.; Konagaya, A. Improvements to the Cluster Newton Method for Underdetermined Inverse Problems. J. Comput. Appl. Math. 2015, 283, 122–141. [Google Scholar] [CrossRef]
- Chunli, L.; Wei, H.; Degui, Y.; Fan, Y.; Xiaokuo, K.; Xiaoyu, W. Topological Measurement and Characterization of Substation Grounding Grids Based on Derivative Method. Int. J. Electr. Power Energy Syst. 2014, 63, 158–164. [Google Scholar] [CrossRef]
- Qamar, A.; Umair, M.; Yang, F.; Uzair, M.; Kaleem, Z. Derivative Method Based Orientation Detection of Substation Grounding Grid. Energies 2018, 11, 1873. [Google Scholar] [CrossRef]
- Qamar, A.; Uddin, Z.; Yang, F. Inverse Features Extraction for Substation Grounding Grid: Derivative and ICA Combinatorial Approach. IET Gener. Transm. Distrib. 2019, 13, 5457–5466. [Google Scholar] [CrossRef]
- Xiaoyu, W.; Wei, H.; Fan, Y.; Liwei, Z.; Xingping, L. Topology Detection of Grounding Grids Based on Derivative Method. Trans. China Electrotech. Soc. 2015, 7, 73–78. [Google Scholar]
- Qingyang, L.; Nengchao, W.; Dayi, Y. Numerical Analysis; Tsinghua University Press: Beijing, China, 2008. [Google Scholar]













| Function | Main Peak Width (m) | Side Peak Width (m) | Widess Resolution |
|---|---|---|---|
| |By(y)| | 19.90 | - | 0.6361 |
| |(y)| | 1.1552 | 3.3739 | 1.6849 |
| |(y)| | 0.6504 | 1.0516 | 2.2847 |
| Function | Calculated Grid Spacing (m) | Side Peak Width (m) |
|---|---|---|
| |By(y)| | 4.8912 | 2.18 |
| |(y)| | 4.9623 | 0.75 |
| |(y)| | 4.9861 | 0.28 |
| x0/m | 0 | 2 | 4 | 6 | 8 | 10 |
|---|---|---|---|---|---|---|
| Step size (2nd) | 0.04 | 0.04 | 0.03 | 0.03 | 0.03 | 0.03 |
| Step size (4th) | 0.06 | 0.05 | 0.05 | 0.05 | 0.05 | 0.05 |
Disclaimer/Publisher’s Note: The statements, opinions and data contained in all publications are solely those of the individual author(s) and contributor(s) and not of MDPI and/or the editor(s). MDPI and/or the editor(s) disclaim responsibility for any injury to people or property resulting from any ideas, methods, instructions or products referred to in the content. |
© 2023 by the authors. Licensee MDPI, Basel, Switzerland. This article is an open access article distributed under the terms and conditions of the Creative Commons Attribution (CC BY) license (https://creativecommons.org/licenses/by/4.0/).
Share and Cite
Yang, F.; Liu, S.; Lai, Y.; Hu, J.; Wang, S. An Improved Magnetic Field Method to Locate the Grounding Conductor. Sensors 2023, 23, 3879. https://doi.org/10.3390/s23083879
Yang F, Liu S, Lai Y, Hu J, Wang S. An Improved Magnetic Field Method to Locate the Grounding Conductor. Sensors. 2023; 23(8):3879. https://doi.org/10.3390/s23083879
Chicago/Turabian StyleYang, Fan, Songlin Liu, Yijun Lai, Jiayuan Hu, and Shaohua Wang. 2023. "An Improved Magnetic Field Method to Locate the Grounding Conductor" Sensors 23, no. 8: 3879. https://doi.org/10.3390/s23083879
APA StyleYang, F., Liu, S., Lai, Y., Hu, J., & Wang, S. (2023). An Improved Magnetic Field Method to Locate the Grounding Conductor. Sensors, 23(8), 3879. https://doi.org/10.3390/s23083879

