Online Learning-Based Hybrid Tracking Method for Unmanned Aerial Vehicles
Abstract
1. Introduction
2. Related Work
2.1. Object Detection
2.2. Object Tracking
3. Methodology
3.1. Proposed Framework
3.2. Online Classifier for Integration
| Algorithm 1: Online adapting classifier |
| Require: training sample , , 1: Set 2: for do 3: 4: end for 5: for do 6: for do 7: if then 8: 9: else 10: 11: end if 12: 13: end for 14: 15: 16: 17: if or then 18: exit 19: end if 20: 21: if then 22: 23: else 24: 25: end if 26: end for 27: 28: 29: get new |
4. Experiments and Results
4.1. Database
4.2. Experimental Environment
4.2.1. Evaluation Metrics
- IoU: The IoU is a measure of relative overlap between two bounding boxes. For example, if a tracked bounding box and ground truth bounding box of a target object are given, their IoU is defined as follows:
- Center location error (CLE): The CLE is the Euclidean distance between a tracked center location and a manually labeled ground truth position.
4.2.2. Implementation Details
4.3. Experimental Comparison
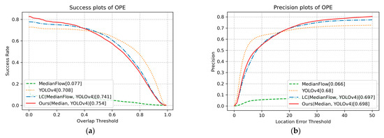
4.3.1. Evaluation for Object Tracking
4.3.2. Evaluation for Object Detection
4.3.3. Visual Comparison
4.4. Evaluation on Other Datasets
4.4.1. Results on UAV123 Dataset
4.4.2. Results on UAVL Dataset
4.5. Limitations
5. Conclusions
Author Contributions
Funding
Conflicts of Interest
Abbreviations
| UAV | unmanned aerial vehicles |
| IoU | intersection-over-union |
| RoI | region of interest |
| RPN | region proposal network |
| FPS | frames per second |
| KCF | kernelized correlation filter |
| SiamFC | fully convolutional Siamese network |
| CFE | center location error |
| mSA | mean state accuracy |
| OPE | one-pass evaluation |
| ARC | aspect ratio change |
| BC | background clutters |
| FM | fast motion |
| FOC | full occlusion |
| POC | partial occlusion |
| IV | illumination variation |
| LR | low resolution |
| OV | out-of-view |
| SOB | similar objects |
| SV | scale variation |
| VC | view-point change |
References
- Kang, H.; Joung, J.; Kim, J.; Kang, J.; Cho, Y.S. Protect your sky: A survey of counter unmanned aerial vehicle systems. IEEE Access 2020, 8, 168671–168710. [Google Scholar] [CrossRef]
- Shin, J.M.; Kim, Y.S.; Ban, T.W.; Choi, S.; Kang, K.M.; Ryu, J.Y. Position tracking techniques using multiple receivers for anti-drone systems. Sensors 2020, 21, 35. [Google Scholar] [CrossRef] [PubMed]
- Wu, Y.; Lim, J.; Yang, M.H. Object tracking benchmark. IEEE Trans. Pattern Anal. Mach. Intell. 2015, 37, 1834–1848. [Google Scholar] [CrossRef] [PubMed]
- Ondrašovič, M.; Tarábek, P. Siamese visual object tracking: A survey. IEEE Access 2021, 9, 110149–110172. [Google Scholar] [CrossRef]
- Wang, Q.; Rasmussen, C.; Song, C. Fast, deep detection and tracking of birds and nests. In Proceedings of the Advances in Visual Computing: 12th International Symposium, Las Vegas, NV, USA, 12–14 December 2016. [Google Scholar]
- Saribas, H.; Uzun, B.; Benligiray, B.; Eker, O.; Cevikalp, H. A hybrid method for tracking of objects by UAVs. In Proceedings of the IEEE/CVF Conference on Computer Vision and Pattern Recognition Workshops, Long Beach, CA, USA, 16–20 June 2019. [Google Scholar]
- Baptista, M.; Fernandes, L.; Chaves, P. Tracking and Classification of Aerial Objects. In Proceedings of the Intelligent Transport Systems, from Research and Development to the Market Uptake: Third EAI International Conference, INTSYS 2019, Braga, Portugal, 4–6 December 2019. [Google Scholar]
- Rozantsev, A.; Lepetit, V.; Fua, P. Detecting flying objects using a single moving camera. IEEE Trans. Pattern Anal. Mach. Intell. 2016, 39, 879–892. [Google Scholar] [CrossRef] [PubMed]
- Liu, L.; Ouyang, W.; Wang, X.; Fieguth, P.; Chen, J.; Liu, X.; Pietikäinen, M. Deep learning for generic object detection: A survey. Int. J. Comput. Vis. 2020, 128, 261–318. [Google Scholar] [CrossRef]
- Jiao, L.; Zhang, F.; Liu, F.; Yang, S.; Li, L.; Feng, Z.; Qu, R. A survey of deep learning-based object detection. IEEE Access 2019, 7, 128837–128868. [Google Scholar] [CrossRef]
- Ren, S.; He, K.; Girshick, R.; Sun, J. Faster r-cnn: Towards real-time object detection with region proposal networks. Adv. Neural Inf. Process. Syst. 2015, 28, 91–99. [Google Scholar] [CrossRef] [PubMed]
- Redmon, J.; Divvala, S.; Girshick, R.; Farhadi, A. You only look once: Unified, real-time object detection. In Proceedings of the IEEE Conference on Computer Vision and Pattern Recognition, Las Vegas, NV, USA, 26 June–1 July 2016. [Google Scholar]
- Girshick, R.; Donahue, J.; Darrell, T.; Malik, J. Rich feature hierarchies for accurate object detection and semantic segmentation. In Proceedings of the IEEE Conference on Computer Vision and Pattern Recognition, Las Vegas, NV, USA, 24–27 June 2014. [Google Scholar]
- Girshick, R. Fast r-cnn. In Proceedings of the IEEE International Conference on Computer Vision, Santiago, Chile, 13–16 December 2015. [Google Scholar]
- Lin, T.Y.; Dollár, P.; Girshick, R.; He, K.; Hariharan, B.; Belongie, S. Feature pyramid networks for object detection. In Proceedings of the IEEE Conference on Computer Vision and Pattern Recognition, Honolulu, HI, USA, 21–26 July 2017. [Google Scholar]
- Dai, J.; Li, Y.; He, K.; Sun, J. R-fcn: Object detection via region-based fully convolutional networks. Adv. Neural Inf. Process. Syst. 2016, 29, 379–387. [Google Scholar]
- He, K.; Gkioxari, G.; Dollár, P.; Girshick, R. Mask r-cnn. In Proceedings of the IEEE International Conference on Computer Vision, Venice, Italy, 22–29 October 2017. [Google Scholar]
- Redmon, J.; Farhadi, A. YOLO9000: Better, faster, stronger. In Proceedings of the IEEE Conference on Computer Vision and Pattern Recognition, Honolulu, HI, USA, 21–26 July 2017. [Google Scholar]
- Redmon, J.; Farhadi, A. Yolov3: An incremental improvement. arXiv 2018, arXiv:1804.02767. [Google Scholar]
- Bochkovskiy, A.; Wang, C.Y.; Liao, H.Y.M. Yolov4: Optimal speed and accuracy of object detection. arXiv 2020, arXiv:2004.10934. [Google Scholar]
- Aker, C.; Kalkan, S. Using deep networks for drone detection. In Proceedings of the 2017 14th IEEE International Conference on Advanced Video and Signal Based Surveillance (AVSS), Lecce, Italy, 29 August–1 September 2017. [Google Scholar]
- Henriques, J.F.; Caseiro, R.; Martins, P.; Batista, J. High-speed tracking with kernelized correlation filters. IEEE Trans. Pattern Anal. Mach. Intell. 2014, 37, 583–596. [Google Scholar] [CrossRef] [PubMed]
- Grabner, H.; Grabner, M.; Bischof, H. Real-time tracking via on-line boosting. In Proceedings of the Bmvc, Edinburgh, Scotland, 4–7 September 2006. [Google Scholar]
- Marvasti-Zadeh, S.M.; Cheng, L.; Ghanei-Yakhdan, H.; Kasaei, S. Deep learning for visual tracking: A comprehensive survey. IEEE Trans. Intell. Transp. Syst. 2021, 23, 3943–3968. [Google Scholar] [CrossRef]
- Bertinetto, L.; Valmadre, J.; Henriques, J.F.; Vedaldi, A.; Torr, P.H. Fully-convolutional siamese networks for object tracking. In Proceedings of the Computer Vision–ECCV 2016 Workshops, Amsterdam, The Netherlands, 8–10, 15–16 October 2016. [Google Scholar]
- Li, Y.; Zhang, X. SiamVGG: Visual tracking using deeper siamese networks. arXiv 2019, arXiv:1902.02804. [Google Scholar]
- Guo, Q.; Feng, W.; Zhou, C.; Huang, R.; Wan, L.; Wang, S. Learning dynamic siamese network for visual object tracking. In Proceedings of the IEEE International Conference on Computer Vision, Venice, Italy, 22–29 October 2017. [Google Scholar]
- He, A.; Luo, C.; Tian, X.; Zeng, W. A twofold siamese network for real-time object tracking. In Proceedings of the IEEE Conference on Computer Vision and Pattern Recognition, Salt Lake City, UT, USA, 18–23 June 2018. [Google Scholar]
- Li, B.; Yan, J.; Wu, W.; Zhu, Z.; Hu, X. High performance visual tracking with siamese region proposal network. In Proceedings of the IEEE Conference on Computer Vision and Pattern Recognition, Salt Lake City, UT, USA, 18–23 June 2018. [Google Scholar]
- Li, B.; Wu, W.; Wang, Q.; Zhang, F.; Xing, J.; Yan, J. Siamrpn++: Evolution of siamese visual tracking with very deep networks. In Proceedings of the IEEE/CVF Conference on Computer Vision and Pattern Recognition, Long Beach, CA, USA, 16–20 June 2019. [Google Scholar]
- Zhu, Z.; Wang, Q.; Li, B.; Wu, W.; Yan, J.; Hu, W. Distractor-aware siamese networks for visual object tracking. In Proceedings of the European Conference on Computer Vision (ECCV), Munich, Germany, 8–14 September 2018. [Google Scholar]
- Guo, D.; Wang, J.; Cui, Y.; Wang, Z.; Chen, S. SiamCAR: Siamese fully convolutional classification and regression for visual tracking. In Proceedings of the IEEE/CVF Conference on Computer Vision and Pattern Recognition, Virtual Conference, 14–19 June 2020. [Google Scholar]
- Wang, Q.; Zhang, L.; Bertinetto, L.; Hu, W.; Torr, P.H. Fast online object tracking and segmentation: A unifying approach. In Proceedings of the IEEE/CVF Conference on Computer Vision and Pattern Recognition, Long Beach, CA, USA, 16–20 June 2019. [Google Scholar]
- Chen, Z.; Zhong, B.; Li, G.; Zhang, S.; Ji, R. Siamese box adaptive network for visual tracking. In Proceedings of the IEEE/CVF Conference on Computer Vision and Pattern Recognition, Virtual Conference, 14–19 June 2020. [Google Scholar]
- Sosnovik, I.; Moskalev, A.; Smeulders, A.W. Scale equivariance improves siamese tracking. In Proceedings of the IEEE/CVF Winter Conference on Applications of Computer Vision, Virtual Conference, 5–9 January 2021. [Google Scholar]
- Çintaş, E.; Özyer, B.; Şimşek, E. Vision-based moving UAV tracking by another UAV on low-cost hardware and a new ground control station. IEEE Accesss 2020, 8, 194601–194611. [Google Scholar] [CrossRef]
- Tan, M.; Pang, R.; Le, Q.V. Efficientdet: Scalable and efficient object detection. In Proceedings of the IEEE/CVF Conference on Computer Vision and Pattern Recognition, Virtual Conference, 14–19 June 2020. [Google Scholar]
- Liu, W.; Anguelov, D.; Erhan, D.; Szegedy, C.; Reed, S.; Fu, C.Y.; Berg, A.C. Ssd: Single shot multibox detector. In Proceedings of the Computer Vision–ECCV 2016: 14th European Conference, Amsterdam, The Netherlands, 11–14 October 2016. [Google Scholar]
- Kalal, Z.; Mikolajczyk, K.; Matas, J. Forward-backward error: Automatic detection of tracking failures. In Proceedings of the 2010 20th International Conference on Pattern Recognition, Istanbul, Turkey, 23–26 August 2010. [Google Scholar]
- Grabner, H.; Bischof, H. On-line boosting and vision. In Proceedings of the 2006 IEEE Computer Society Conference on Computer Vision and Pattern Recognition, New York, NY, USA, 17–22 June 2006. [Google Scholar]
- Oza, N.C.; Russell, S.J. Online bagging and boosting. In Proceedings of the International Workshop on Artificial Intelligence and Statistics, Key West, FL, USA, 4–7 January 2001. [Google Scholar]
- Nguyen, T.T.; Grabner, H.; Bischof, H.; Gruber, B. On-line boosting for car detection from aerial images. In Proceedings of the 2007 IEEE International Conference on Research, Innovation and Vision for the Future, Hanoi, Vietnam, 5–9 March 2007. [Google Scholar]
- Viola, P.; Jones, M. Rapid object detection using a boosted cascade of simple features. In Proceedings of the 2001 IEEE Computer society Conference on Computer Vision and Pattern Recognition, Kauai, HI, USA, 8–14 December 2021. [Google Scholar]
- Porikli, F. Integral histogram: A fast way to extract histograms in cartesian spaces. In Proceedings of the 2005 IEEE Computer Society Conference on Computer Vision and Pattern Recognition, San Diego, CA, USA, 20–25 June 2005. [Google Scholar]
- Taha, B.; Shoufan, A. Machine learning-based drone detection and classification: State-of-the-art in research. IEEE Access 2019, 7, 138669–138682. [Google Scholar] [CrossRef]
- Coluccia, A.; Fascista, A.; Schumann, A.; Sommer, L.; Dimou, A.; Zarpalas, D.; Akyon, F.C.; Eryuksel, O.; Ozfuttu, K.A.; Altinuc, S.O.; et al. Drone-vs-bird detection challenge at IEEE AVSS2021. In Proceedings of the 2021 17th IEEE International Conference on Advanced Video and Signal Based Surveillance (AVSS), Virtual Conference, 16–19 November 2021. [Google Scholar]
- Drone-vs-Bird Detection Challenge. Available online: https://wosdetc2020.wordpress.com/drone-vs-bird-detectionchallenge/ (accessed on 15 March 2020).
- Wu, Y.; Lim, J.; Yang, M.H. Online object tracking: A benchmark. In Proceedings of the IEEE Conference on Computer Vision and Pattern Recognition, Oregon, Portland, 23–28 June 2013. [Google Scholar]
- Jiang, N.; Wang, K.; Peng, X.; Yu, X.; Wang, Q.; Xing, J.; Li, G.; Zhao, J.; Guo, G.; Han, Z. Anti-UAV: A large multi-modal benchmark for UAV tracking. arXiv 2021, arXiv:2101.08466. [Google Scholar]
- Everingham, M.; Van Gool, L.; Williams, C.K.; Winn, J.; Zisserman, A. The pascal visual object classes (voc) challenge. Int. J. Comput. Vis. 2009, 88, 303–308. [Google Scholar] [CrossRef]
- Deng, J.; Dong, W.; Socher, R.; Li, L.J.; Li, K.; Li, F.-F. Imagenet: A large-scale hierarchical image database. In Proceedings of the 2009 IEEE Conference on Computer Vision and Pattern Recognition, Miami, FL, USA, 20–25 June 2009. [Google Scholar]
- Powers, D.M. Evaluation: From precision, recall and F-measure to ROC, informedness, markedness and correlation. arXiv 2020, arXiv:2010.16061. [Google Scholar]
- Padilla, R.; Netto, S.L.; Da Silva, E.A. A survey on performance metrics for object-detection algorithms. In Proceedings of the 2020 International Conference on Systems, Signals and Image Processing (IWSSIP), Rio de Janeiro, Brazil, 1–3 July 2020. [Google Scholar]
- Russakovsky, O.; Li, L.J.; Li, F.-F. Best of both worlds: Human-machine collaboration for object annotation. In Proceedings of the IEEE Conference on Computer Vision and Pattern Recognition, Boston, MA, USA, 7–12 June 2015. [Google Scholar]
- Mueller, M.; Smith, N.; Ghanem, B. A benchmark and simulator for uav tracking. In Proceedings of the Computer Vision–ECCV 2016: 14th European Conference, Amsterdam, The Netherlands, 11–14 October 2016. [Google Scholar]
- Lin, T.Y.; Maire, M.; Belongie, S.; Hays, J.; Perona, P.; Ramanan, D.; Bourdev, L.; Girshick, R.; Dollár, P.; Zitnick, C.L. Microsoft coco: Common objects in context. In Proceedings of the Computer Vision–ECCV 2014: 13th European Conference, Zurich, Switzerland, 6–12 September 2014. [Google Scholar]










| Attribute | Description |
|---|---|
| BC | Background clutter (the background has a similar color as the target or the background has changed) |
| CM | Camera motion (the camera is moving) |
| FM | Fast motion (the ground truth’s motion between two adjacent frames is greater than 60 pixels) |
| LR | Low resolution (the number of pixels inside the ground truth is less than 400 pixels) |
| OC | Occlusion (the target it partially or heavily occluded) |
| OV | Out-of-view (the target leaves the view) |
| SV | Scale variation (the ratio of the bounding boxes of the first and current frames is out of range ) |
| Dataset | Sequences | Resolution | # of Frames | Attributes (see Table 1) |
|---|---|---|---|---|
| Drone-vs-bird dataset [44] | Seq1 (2019_08_19_C0001_5319_phantom) | 3840 × 2160 | 2951 | OC, OV, BC |
| Seq2 (2019_09_02_C0002_2527_inspire) | 3840 × 2160 | 502 | OC, OV, BC | |
| Seq3 (2019_10_16_C0003_5043_mavic) | 3840 × 2160 | 426 | CM | |
| Seq4 (2019_11_14_C0001_3922_matrice) | 3840 × 2160 | 2601 | OC, OV, LR | |
| Seq5 (gopro_004) | 1920 × 1080 | 751 | OC, BC, LR, CM | |
| Seq6 (parrot_disco_midrange_cross) | 720 × 576 | 3001 | OC, OV, BC, CM | |
| Our dataset | Seq7 | 1920 × 1080 | 2630 | OC, OV, LR, CM |
| Seq8 | 2048 × 1536 | 5807 | OC, OV, LR, CM | |
| Seq9 | 2048 × 1536 | 2701 | OC, OV, CM | |
| Seq10 | 1920 × 1080 | 1937 | CV, LR | |
| Seq11 | 2048 × 1536 | 1369 | BC, CM | |
| Seq12 | 2048 × 1536 | 3834 | OV, LR, CM |
| Tracker | SA | mSA | |||||||||||
|---|---|---|---|---|---|---|---|---|---|---|---|---|---|
| Seq1 | Seq2 | Seq3 | Seq4 | Seq5 | Seq6 | Seq7 | Seq8 | Seq9 | Seq10 | Seq11 | Seq12 | ||
| SiamRPN++ [30] | 0.108 | 0.277 | 0.856 | 0.380 | 0.341 | 0.129 | 0.507 | 0.115 | 0.755 | 0.710 | 0.396 | 0.111 | 0.390 |
| MedianFlow [39] | 0.006 | 0.329 | 0.067 | 0.353 | 0.020 | 0.047 | 0.107 | 0.028 | 0.586 | 0.033 | 0.048 | 0.087 | 0.143 |
| YOLOv4 [20] | 0.447 | 0.362 | 0.854 | 0.513 | 0.340 | 0.709 | 0.404 | 0.136 | 0.780 | 0.776 | 0.107 | 0.447 | 0.490 |
| LC [5] (MedianFlow, YOLOv4) | 0.5 | 0.455 | 0.774 | 0.545 | 0.468 | 0.639 | 0.398 | 0.238 | 0.802 | 0.713 | 0.256 | 0.467 | 0.521 |
| Proposed method (MedianFlow, YOLOv4) | 0.46 | 0.637 | 0.839 | 0.581 | 0.463 | 0.641 | 0.445 | 0.286 | 0.777 | 0.762 | 0.264 | 0.475 | 0.553 |
| Sequences | MedianFlow [39] | LC [5] | Proposed Method | YOLOv4 [20] |
|---|---|---|---|---|
| Seq1 | 15.27 | 13.46 | 11.65 | 49.74 |
| Seq2 | 14.72 | 12.90 | 10.32 | 49.90 |
| Seq3 | 15.38 | 12.90 | 9.97 | 49.77 |
| Seq4 | 14.24 | 14.03 | 10.85 | 49.81 |
| Seq5 | 51.93 | 49.11 | 28.01 | 49.23 |
| Seq6 | 89.43 | 81.67 | 43.14 | 48.39 |
| Seq7 | 53.81 | 48.34 | 23.15 | 50.40 |
| Seq8 | 37.92 | 36.65 | 21.06 | 49.08 |
| Seq9 | 42.72 | 33.23 | 23.97 | 49.13 |
| Seq10 | 53.66 | 44.86 | 30.61 | 49.18 |
| Seq11 | 49.95 | 31.96 | 25.59 | 49.58 |
| Seq12 | 51.09 | 33.09 | 24.52 | 49.38 |
| Average | 40.84 | 34.35 | 21.90 | 49.46 |
Disclaimer/Publisher’s Note: The statements, opinions and data contained in all publications are solely those of the individual author(s) and contributor(s) and not of MDPI and/or the editor(s). MDPI and/or the editor(s) disclaim responsibility for any injury to people or property resulting from any ideas, methods, instructions or products referred to in the content. |
© 2023 by the authors. Licensee MDPI, Basel, Switzerland. This article is an open access article distributed under the terms and conditions of the Creative Commons Attribution (CC BY) license (https://creativecommons.org/licenses/by/4.0/).
Share and Cite
Son, S.; Lee, I.; Cha, J.; Choi, H. Online Learning-Based Hybrid Tracking Method for Unmanned Aerial Vehicles. Sensors 2023, 23, 3270. https://doi.org/10.3390/s23063270
Son S, Lee I, Cha J, Choi H. Online Learning-Based Hybrid Tracking Method for Unmanned Aerial Vehicles. Sensors. 2023; 23(6):3270. https://doi.org/10.3390/s23063270
Chicago/Turabian StyleSon, Sohee, Injae Lee, Jihun Cha, and Haechul Choi. 2023. "Online Learning-Based Hybrid Tracking Method for Unmanned Aerial Vehicles" Sensors 23, no. 6: 3270. https://doi.org/10.3390/s23063270
APA StyleSon, S., Lee, I., Cha, J., & Choi, H. (2023). Online Learning-Based Hybrid Tracking Method for Unmanned Aerial Vehicles. Sensors, 23(6), 3270. https://doi.org/10.3390/s23063270

