An Improved Differential Evolution Adaptive Fuzzy PID Control Method for Gravity Measurement Stable Platform
Abstract
1. Introduction
2. System Description
2.1. System Architecture
- Inertial coordinate system : The inertial coordinate system has the center of the Earth as the origin, and the and axes are in the equatorial plane of the Earth, where the and axes are set to point from the head to the equinox and along the Earth’s rotation axis to the North Pole direction, respectively.
- Earth coordinate system : The Earth coordinate system has the center of the Earth as the origin, and the and axes are in the Earth’s equatorial plane, where the and axes are set to point from the head to the prime meridian and along the Earth’s rotation axis to the North Pole direction, respectively.
- Geographic coordinate system : The geographic coordinate system takes the center of mass of the carrier as the origin; , and axes are set to point east, north, and skyward from the head, respectively.
- Carrier coordinate system : The carrier coordinate system takes the center of mass of the carrier as the origin, and the , , and axes are set to point to the right side of the carrier, to the front of the carrier, and the top of the page, respectively, and form a right-handed coordinate system.
- Outer frame (roll frame) coordinate system : set the direction of axes to be the same as the direction of the axes, and its coordinate system can only rotate around the axes during the subsequent movements relative to the coordinate system . The resulting roll angle is set to .
- The inner frame (pitch frame) coordinate system : set the direction of the axes to be the same as the pointing of the axes, and its coordinate system can only rotate around the axes during the subsequent motions relative to the coordinate system . The resulting pitch angle is set to .
2.2. Principle of Isolation Carrier Movement
2.3. Control System Block Diagram
3. Improved Differential Evolutionary Adaptive Fuzzy PID Control Algorithm
3.1. ADE-MMVP Algorithm
- (1)
- The ability to deal with nonlinear, non-differentiable, and multimodal functions;
- (2)
- The ability to process intensive cost functions in parallel;
- (3)
- It is easy to use and can realize algorithm optimization while making good use of control variables;
- (4)
- Good convergence, which can converge to the optimal global value in continuous independent tests.
- Variation strategy of ADE-MMVP algorithm
- 2.
- Variation factor of ADE-MMVP algorithm
- 3.
- Crossover probability factor of ADE-MMVP algorithm
3.2. Adaptive Fuzzy PID Control Algorithm with ADE-MMVP Optimization
- When the system error is large, a more significant proportional link coefficient should be used to speed up the response of the system. However, the proportional coefficient cannot be infinite or the system will have a massive amount of overshoot and the adjustment time of the system will increase, as the system error is significant at the beginning of the system. To avoid the system control exceeding the maximum execution range of the actuator, a smaller differential coefficient should be taken at this time to speed up the system response. To avoid causing a massive overshoot to the system, the integral link should be removed when the error is large and the integral coefficient is taken.
- When the system error is moderately large, the proportional link coefficient should be appropriately reduced to take a minor . This will prevent the system from having a massive amount of overshoot, resulting in system collapse. The response speed of the system and the value of the differential link are directly related, so the value of differential link coefficient at this time is critical. The magnitude of the integral link coefficient can be increased in this scenario, but this increase should not be too tremendous.
- When the system error is minor, to ensure the system has a good steady-state performance, this time can use a more significant differential link coefficient and integral link coefficient. To avoid system oscillation, the value of should be obtained appropriately.
3.3. Simulation and Analysis
4. Platform Experiments
4.1. Shaking Table Static Stability Experiment
4.2. Dynamic Rocking Experiment
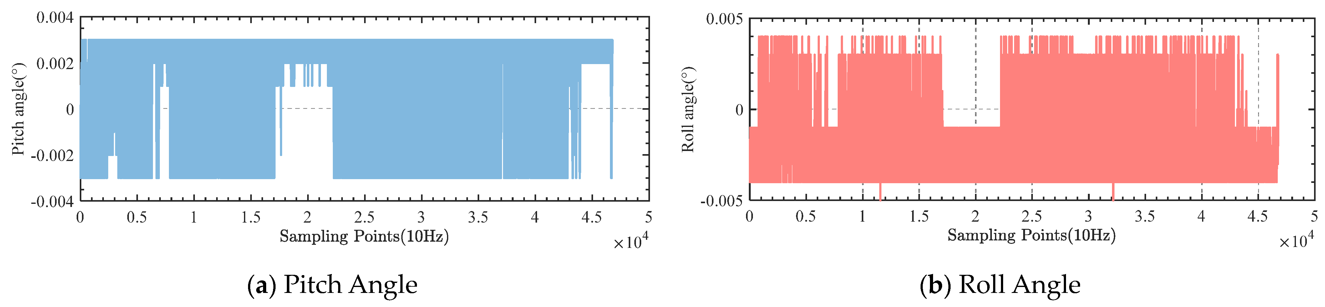
4.3. In-Vehicle Experiments
4.4. Shipboard Experiments
5. Conclusions
Author Contributions
Funding
Institutional Review Board Statement
Informed Consent Statement
Data Availability Statement
Acknowledgments
Conflicts of Interest
References
- Bidel, Y.; Zahzam, N.; Bresson, A.; Blanchard, C.; Cadoret, M.; Olesen, A.V.; Forsberg, R. Absolute airborne gravimetry with a cold atom sensor. J. Geod. 2020, 94, 1–9. [Google Scholar] [CrossRef]
- Kiani, M. Image Gravimetry: A new remote sensing approach for gravity analysis in geophysics. arXiv 2003, arXiv:2003.09388. [Google Scholar]
- Bian, H.; Xu, J.; He, H.; Wang, R.; Ma, H. The concept of resilience of national comprehensive PNT system. Geomat. Inf. Sci. Wuhan Univ. 2021, 46, 1265–1272. [Google Scholar]
- Yuan, Y.; Gao, J.; Wu, Z.; Shen, Z.; Wu, G. Performance estimate of some prototypes of inertial platform and strapdown marine gravimeters. Earth Planets Space 2020, 72, 89. [Google Scholar] [CrossRef]
- Glennie, C.L.; Schwarz, K.P.; Bruton, A.M.; Forsberg, R.; Olesen, A.V.; Keller, K. A comparison of stable platform and strapdown airborne gravity. J. Geod. 2000, 74, 383–389. [Google Scholar] [CrossRef]
- Wang, W.; Gao, J.; Li, D.; Zhang, T.; Luo, X.; Wang, J. Measurements and Accuracy Evaluation of a Strapdown Marine Gravimeter Based on Inertial Navigation. Sensors 2018, 18, 3902. [Google Scholar] [CrossRef]
- Jensen, T.E.; Forsberg, R. Helicopter Test of a Strapdown Airborne Gravimetry System. Sensors 2018, 18, 3121. [Google Scholar] [CrossRef]
- Wu, Y.; Yue, D. Desired compensation adaptive robust control of electrical-optical gyro-stabilized platform with continuous friction compensation using modified Lugre model. Int. J. Control. Autom. Syst. 2018, 16, 2264–2272. [Google Scholar] [CrossRef]
- Wang, Z. Research on Control Algorithm of Aerial Remote Sensing Stabilized Platform. Master’s Thesis, Changchun University of Technology, Jilin, China, 2021. [Google Scholar]
- Zou, Y.; Lei, X. A compound control method based on the adaptive neural network and sliding mode control for inertial stable platform. Neurocomputing 2015, 155, 286–294. [Google Scholar] [CrossRef]
- Mei, D.; Yu, Q. Disturbance rejection control of airborne radar stabilized platform based on active disturbance rejection control inverse estimation algorithm. Assem. Autom. 2021, 41, 525–535. [Google Scholar] [CrossRef]
- Tan, F.; Cao, L. Optimal PID control based on the improved dynamic mutation differential evolution algorithm. Control. Eng. China 2019, 26, 461–468. [Google Scholar]
- Zhu, Y.; Lu, Y.; Xu, J.; Cheng, X.-H. Adaptive fuzzy-PID hybrid control method of gyro stabilized platform. J. Chin. Inert. Technol. 2014, 22, 317–321. [Google Scholar]
- Zhou, X.; Jia, Y. Fuzzy/PID compound control for inertially stabilized platform in airborne remote sensing. Chin. J. Sci. Instrum. 2016, 37, 2545–2554. [Google Scholar]
- Yan, D. A method to solve the problem of low precision of micro stabilized platform caused by frame coupling-Based on Fuzzy PID. E3S Web Conf. 2021, 284, 04008. [Google Scholar] [CrossRef]
- Yan, G.; Wong, J. Strapdown Inertial Navigation Algorithm and Integrated Navigation Principle; Northwestern Polytechnical University Press: Xi’an, China, 2019; Chapter 4; pp. 78–79. [Google Scholar]
- Yin, H.; Yi, W.; Wang, K.; Guan, J.; Wu, J. Research on brushless DC motor control system based on fuzzy parameter adaptive PI algorithm. AIP Adv. 2020, 10, 105208. [Google Scholar] [CrossRef]
- Storn, R.; Price, K. Minimizing the real functions of the ICEC’96 contest by differential evolution. In Proceedings of the IEEE International Conference on Evolutionary Computation, Nagoya, Japan, 20–22 May 1996; pp. 842–844. [Google Scholar]
- Zhang, J.; Duan, J. Robot Dynamic Parameter Identification Based on Improved Differential Evolution Algorithm. J. Beijing Union Univ. 2020, 34, 48–56. [Google Scholar]
- Bai, X. Research on Wind Power Forecasting and Unit Dispatch of AGC; Beijing Jiaotong University: Beijing, China, 2009. [Google Scholar]
- Storn, R.; Price, K. Differential Evolution—A Simple and Efficient Heuristic for global Optimization over Continuous Spaces. J. Glob. Optim. 1997, 11, 341–359. [Google Scholar] [CrossRef]
- Chen, X.; Li, F.; He, H.; Wu, M. Optimization of PID parameter tuning for gravity stabilized platform based on improved differential evolutionary algorithm. J. Phys. Conf. Series. IOP Publ. 2021, 2029, 012107. [Google Scholar] [CrossRef]
- Price, K. Differential evolution. In Handbook of Optimization; Springer: Berlin, Heidelberg, 2013; pp. 187–214. [Google Scholar]
- Das, S.; Suganthan, P. Differential evolution: A survey of the state-of-the-art. IEEE Trans. Evol. Comput. 2010, 15, 4–31. [Google Scholar] [CrossRef]
- Zhang, J.; Sanderson, A. JADE: Adaptive differential evolution with optional external archive. IEEE Trans. Evol. Comput. 2009, 13, 945–958. [Google Scholar] [CrossRef]
- Zhou, X.; Shu, T.; Lyu, Z.; Sun, B. Sliding mode control of inertially stabilized platform based on fuzzy switching gain adjustment. Chin. J. Sci. Instrum. 2021, 42, 263–271. [Google Scholar]























| Parameter Name | ADE-MMVP |
|---|---|
| Number of iterations | 500 |
| Population size | 20 |
| Individual Dimension | 3 |
| Code length | 20 |
| Scale factor | 0.35 |
| Variable factors | Max 1.8 Min 0.4 |
| Crossover probability factor | Max 0.8 Min 0.2 |
| Pitch Angle Std | Roll Angle Std | |
|---|---|---|
| Traditional PID control overall stability accuracy | 2.98″ | 3.36″ |
| AFC overall stability accuracy | 2.56″ | 0.96″ |
| IDEAFC overall stability accuracy | 1.35″ | 0.72″ |
| Improved relative to traditional PID control | 54.7% | 78.6% |
| Relative AFC improves | 47.3% | 25% |
| Pitch | Roll | |
|---|---|---|
| Gear 1 | 40 s | 40 s |
| Gear 2 | 20 s | 20 s |
| Gear 3 | 15 s | 15 s |
| Pitch Angle Std | Roll Angle Std | |
|---|---|---|
| Traditional PID control overall stability accuracy | 16.00″ | 17.27″ |
| AFC overall stability accuracy | 8.92″ | 12.23″ |
| IDEAFC overall stability accuracy | 7.28″ | 8.90″ |
| Improved relative to traditional PID control | 54.5% | 48.5% |
| Relative AFC improves | 18.4% | 27.2% |
| Pitch Angle Std | Roll Angle Std | |
|---|---|---|
| Traditional PID control overall stability accuracy | 15.61″ | 16.60″ |
| AFC overall stability accuracy | 11.92″ | 13.37″ |
| IDEAFC overall stability accuracy | 6.72″ | 9.82″ |
| Improved relative to traditional PID control | 60.0% | 40.8% |
| Relative AFC improves | 43.6% | 26.6% |
Disclaimer/Publisher’s Note: The statements, opinions and data contained in all publications are solely those of the individual author(s) and contributor(s) and not of MDPI and/or the editor(s). MDPI and/or the editor(s) disclaim responsibility for any injury to people or property resulting from any ideas, methods, instructions or products referred to in the content. |
© 2023 by the authors. Licensee MDPI, Basel, Switzerland. This article is an open access article distributed under the terms and conditions of the Creative Commons Attribution (CC BY) license (https://creativecommons.org/licenses/by/4.0/).
Share and Cite
Chen, X.; Bian, H.; He, H.; Li, F. An Improved Differential Evolution Adaptive Fuzzy PID Control Method for Gravity Measurement Stable Platform. Sensors 2023, 23, 3172. https://doi.org/10.3390/s23063172
Chen X, Bian H, He H, Li F. An Improved Differential Evolution Adaptive Fuzzy PID Control Method for Gravity Measurement Stable Platform. Sensors. 2023; 23(6):3172. https://doi.org/10.3390/s23063172
Chicago/Turabian StyleChen, Xin, Hongwei Bian, Hongyang He, and Fangneng Li. 2023. "An Improved Differential Evolution Adaptive Fuzzy PID Control Method for Gravity Measurement Stable Platform" Sensors 23, no. 6: 3172. https://doi.org/10.3390/s23063172
APA StyleChen, X., Bian, H., He, H., & Li, F. (2023). An Improved Differential Evolution Adaptive Fuzzy PID Control Method for Gravity Measurement Stable Platform. Sensors, 23(6), 3172. https://doi.org/10.3390/s23063172

