In-Network Processing of Skyline Join Queries in Wireless Sensor Networks Using Synopses of Skyline Attribute Value Ranges
Abstract
:1. Introduction
- We first establish an algorithm for processing skyline join queries in distributed databases, and then adapt it to WSNs, proposing a protocol. The algorithm for distributed databases conducts skyline filtering based on the sorting of tuples on skyline attributes. The adapted protocol constructs the synopses of skyline attribute value ranges instead of sorting the tuples. This range synopsis is a very compact data structure that could be stored in the limited memory of each sensor node. It consists of range descriptors and Bloom filters [37,38,39]. This structure is used not only for skyline filtering but also for join filtering based on 2-way semijoins [40,41,42];
- We address the optimization of the proposed protocol. The solutions for finding the optimal length of the Bloom filter in the range synopsis, and the optimal size of a range of the skyline attribute values is presented;
- We examine the threshold of the join rate, below which using join filtering only without skyline filtering is more efficient;
- Through implementation and a set of detailed simulations, we show the effectiveness of our proposed protocol with the random, correlated, and anti-correlated distributions [2];
2. Preliminaries
2.1. Sensor Network Database and Query Processing
2.2. 2-Way Semijoin
2.3. Bloom Filter
3. Skyline Join Query Processing in WSNs
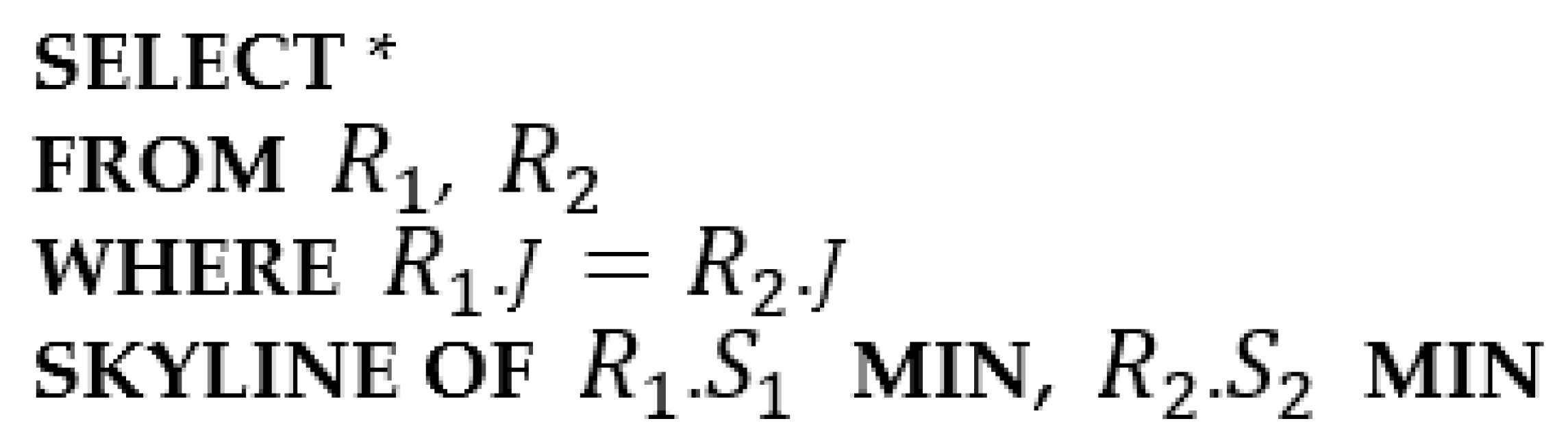
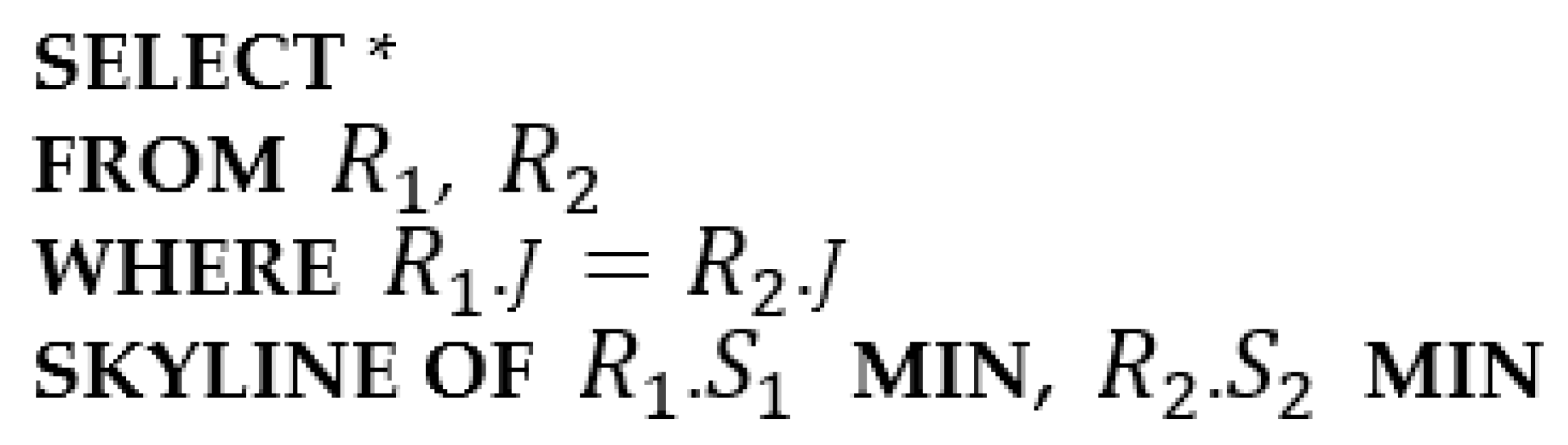
3.1. SKYJD: Skyline Join Query Processing in Distributed Databases
- Site 3 requests site i to sort the tuples of on in increasing order, i = 1, 2;
- Site 3 requests site i to send the join key of the first tuple, i = 1, 2;
- Site 3 checks if a join match exists between the join keys of and received so far. Suppose that the join key received last is v, and it is received from site i, i = 1 or 2. If one of the join keys received so far from the other site (i.e., site j, where j = ) is equal to v, a join match exists. If no join match is found, site 3 requests site j to send the join key of the next tuple. If site j has no tuple left, site 3 requests site i to send the join key of the next tuple. This step is repeated until a join match is found;
- If a join match is found for join key v, let be the set of all the join keys received from site i earlier than v, i = 1, 2. Site 3 obtains and using 2-way semijoins and so that = and = , making the join filter JF, which is obtained as {v} ;
- Site 3 sends JF to site i, requesting all the tuples of whose join keys are in JF, i = 1, 2;
- Site 3 computes the final query result with the tuples received from site i, i = 1, 2.
3.2. SKYJW: Proposed Protocol for Skyline Join Query Processing in WSNs
3.2.1. Problems and Requirements
3.2.2. Range Synopsis
3.2.3. Overview of SKYJW
- Initially, requests to construct the region synopsis of , i = 1, 2;
- requests to send the first range descriptor in the region synopsis of , i = 1, 2;
- checks if one or more join matches exist between the join keys of and contained in the range descriptors received so far (in a range pair between a range descriptor d of and e of , if one of the join keys in d is equal to one in e, a join match exists). If no join match is found, requests to send the next range descriptor, i = 1, 2. This step is repeated until at least one join match is found or all the range descriptors in both of the region synopses of are exhausted, i = 1, 2;
- If no join match is found, requests to update the region synopsis of and send the first new range descriptor in the updated region synopsis, i = 1, 2. After that, step 3 is resumed;
- If one or more join matches are found, conducts skyline filtering using the anchor points associated with the join matches. Additionally, conducts join filtering with using 2-way semijoins that access the region synopsis of instead of , i = 1, 2. makes the join filter JF, which consists of the join keys that survived, and sends JF to , requesting the tuples of whose join keys are in JF to be sent to the sink node, i = 1, 2;
- searches for the requested tuples by consulting the subtree synopses in the region of in the level order down the routing tree from to its descendants, and sends them to the sink node, i = 1, 2;
- The sink node computes the final query result with the tuples received.
3.2.4. Initial Construction of a Region Synopsis
3.2.5. Additional Collection of Range Descriptors (Update of a Region Synopsis)
3.2.6. Skyline Filtering Using Anchor Points
3.2.7. Join Filtering Using 2-Way Semijoins
3.2.8. Tuple Search and Transmission
3.2.9. Range Synopses without Bloom Filters
4. Optimization
4.1. The Optimal Length of the Bloom Filter
4.2. The Optimal Size of a Range
4.2.1. The Cost of Region Synopsis Update
4.2.2. The Cost of Searching and Transmitting of Extraneous Tuples
4.2.3. The Optimal Size of a Range
5. Simulations
5.1. Comparison of Protocols for Random, Correlated, and Anti-Correlated Distributions
5.2. Comparison between SKYJW and SJAF for Random Distribution
6. Related Work
7. Conclusions
Funding
Institutional Review Board Statement
Informed Consent Statement
Data Availability Statement
Conflicts of Interest
References
- Kung, H.T.; Luccio, E.; Preparata, E.P. On finding the maxima of a set of vectors. J. ACM 1975, 22, 469–476. [Google Scholar] [CrossRef]
- Borzsony, S.; Kossmann, D.; Stocker, K. The Skyline operator. In Proceedings of the 17th International Conference on Data Engineering, Heidelberg, Germany, 2–6 April 2001; pp. 421–430. [Google Scholar]
- Papadias, D.; Tao, Y.; Fu, G.; Seeger, B. An optimal and progressive algorithm for skyline queries. In Proceedings of the ACM SIGMOD International Conference on Management of Data, San Diego, CA, USA, 9–12 June 2003; pp. 467–478. [Google Scholar]
- Dellis, E.; Seeger, B. Efficient computation of reverse skyline queries. In Proceedings of the 33rd International Conference on Very Large Data Bases, Vienna, Austria, 23–27 September 2007; pp. 291–302. [Google Scholar]
- Kalyvas, C.; Tzouramanis, T. A survey of skyline query processing. arXiv 2017, arXiv:1704.01788. [Google Scholar]
- Hose, K.; Vlachou, A. A survey of skyline processing in highly distributed environments. VLDB J. 2012, 21, 359–384. [Google Scholar] [CrossRef]
- Mullesgaard, K.; Pedersen, J.L.; Lu, H.; Zhou, Y. Efficient skyline computation in MapReduce. In Proceedings of the 17th International Conference on Extending Database Technology, Athens, Greece, 24–28 March 2014; pp. 37–48. [Google Scholar]
- Matteis, T.; Girolamo, S.; Mencagli, G. Continuous skyline queries on multicore architectures. Concurr. Comput. Pract. Exp. 2016, 28, 3503–3522. [Google Scholar]
- Romero, J.C.; Navarro, A.; Rodríguez, A.; Asenjo, R. SkyFlow: Heterogeneous streaming for skyline computation using flowgraph and SYCL. Future Gener. Comput. Syst. 2023, 141, 269–283. [Google Scholar] [CrossRef]
- Bourahla, C.; Maamri, R.; Brahimi, S. Skyline recomputation in big data. Inf. Syst. 2023, 114, 102164. [Google Scholar] [CrossRef]
- Chen, H.; Zhou, S.; Guan, J. Towards energy-efficient skyline monitoring in wireless sensor networks. In Proceedings of the 4th European Conference on Wireless Sensor Networks, Delft, The Netherlands, 29–31 January 2007; pp. 101–116. [Google Scholar]
- Xin, J.; Wang, G.; Chen, L.; Zhang, X.; Wang, Z. Continuously maintaining sliding window skylines in a sensor network. In Proceedings of the 12th International Conference on Database Systems for Advanced Applications, Bangkok, Thailand, 9–12 April 2007; pp. 509–521. [Google Scholar]
- Liang, W.; Chen, B.; Yu, J.X. Energy-efficient skyline query processing and maintenance in sensor networks. In Proceedings of the 17th ACM Conference on Information and Knowledge Management, Napa Valley, CA, USA, 26–30 October 2008; pp. 1471–1472. [Google Scholar]
- Xin, J.; Wang, G.; Chen, L.; Oria, V. Energy-efficient evaluation of multiple skyline queries over a wireless sensor network. In Proceedings of the 14th International Conference on Database Systems for Advanced Applications, Brisbane, Australia, 21–23 April 2009; pp. 247–262. [Google Scholar]
- Su, I.; Chung, Y.; Lee, C.; Lin, Y. Efficient skyline query processing in wireless sensor networks. J. Parallel Distrib. Comput. 2010, 70, 680–698. [Google Scholar] [CrossRef]
- Roh, Y.; Song, I.; Jeon, J.; Woo, K.; Kim, M. Energy efficient two-dimensional skyline query processing in wireless sensor networks. In Proceedings of the IEEE 10th Consumer Communications and Networking Conference, Las Vegas, NV, USA, 11–14 January 2013; pp. 294–301. [Google Scholar]
- Song, S.; Kwak, Y.; Lee, S. Skyline query processing in sensor network based on data centric storage. Sensors 2011, 11, 10283–10292. [Google Scholar] [CrossRef] [Green Version]
- Wang, Y.; Wei, W.; Deng, O.; Liu, W.; Song, H. An energy-efficient skyline query for massively multidimensional sensing data. Sensors 2016, 16, 83. [Google Scholar] [CrossRef] [Green Version]
- Xiao, Y.; Jiao, X.; Wang, H.; Hsu, C.; Liu, L.; Zheng, W. Efficient continuous skyline query processing in wireless sensor networks. Sensors 2019, 19, 2902. [Google Scholar] [CrossRef] [Green Version]
- Wang, G.; Xin, J.; Chen, L.; Liu, Y. Energy-efficient reverse skyline query processing over wireless sensor networks. IEEE Trans. Knowl. Data Eng. 2012, 24, 1259–1275. [Google Scholar] [CrossRef]
- Yin, B.; Zhou, S.; Zhang, S.; Gu, K.; Yu, F. On efficient processing of continuous reverse skyline queries in wireless sensor networks. KSII Trans. Internet Inf. Syst. 2017, 11, 1931–1953. [Google Scholar]
- Ahmed, K.; Nafi, N.S.; Gregory, M.A. Enhanced distributed dynamic skyline query for wireless sensor networks. J. Sens. Actuator Netw. 2016, 5, 2. [Google Scholar] [CrossRef] [Green Version]
- Dong, L.; Liu, G.; Cui, X.; Yu, Q. Efficiently computing Pareto optimal G-skyline query in wireless sensor network. Int. J. Distrib. Sens. Netw. 2021, 17, 15501477211060673. [Google Scholar] [CrossRef]
- Jin, W.; Ester, M.; Hu, Z.; Han, J. The multi-relational skyline operator. In Proceedings of the IEEE International Conference on Data Engineering, Istanbul, Turkey, 15–20 April 2007. [Google Scholar]
- Sun, D.; Wu, S.; Li, J.; Tung, A.K.H. Skyline-join in distributed databases. In Proceedings of the ICDE Workshops, Cancun, Mexico, 7–12 April 2008. [Google Scholar]
- Jin, W.; Morse, M.D.; Patel, J.M.; Ester, M.; Hu, Z. Evaluating skylines in the presence of equijoins. In Proceedings of the IEEE International Conference on Data Engineering, Long Beach, CA, USA, 1–6 March 2010; pp. 249–260. [Google Scholar]
- Nagendra, M.; Candan, K.S. Skyline-sensitive joins with LR-pruning. In Proceedings of the International Conference on Extending Database Technology, Berlin, Germany, 27–30 March 2012; pp. 252–263. [Google Scholar]
- Nagendra, M.; Candan, K.S. Efficient processing of skyline-join queries over multiple data sources. ACM Trans. Database Syst. 2015, 40, 1–46. [Google Scholar] [CrossRef]
- Zhang, J.; Lin, Z.; Li, B.; Wang, W.; Meng, D. Skyline join query processing over multiple relations. In Proceedings of the DASFAA Workshops, Dallas, TX, USA, 16–19 April 2016; pp. 353–361. [Google Scholar]
- Vlachou, A.; Doulkeridis, C.; Polyzotis, N. Skyline query processing over joins. In Proceedings of the ACM SIGMOD International Conference on Management of Data, Athens, Greece, 12–16 June 2011. [Google Scholar]
- Bai, M.; Xin, J.; Wang, G.; Zimmermann, R.; Wang, X. Skyline-join query processing in distributed databases. Front. Comput. Sci. 2016, 10, 330–352. [Google Scholar] [CrossRef]
- Balke, W.; Güntzer, U.; Zheng, J.X. Efficient distributed skylining for web information systems. In Proceedings of the International Conference on Extending Database Technology, Crete, Greece, 14–18 March 2004. [Google Scholar]
- Trimponias, G.; Bartolini, I.; Papadias, D.; Yang, Y. Skyline processing on distributed vertical decompositions. IEEE Trans. Knowl. Data Eng. 2013, 25, 850–862. [Google Scholar] [CrossRef]
- Bhattacharya, A.; Teja, B.P. Aggregate skyline join queries: Skylines with aggregate operations over multiple relations. In Proceedings of the International Conference on Management of Data, Indianapolis, IN, USA, 6–10 June 2010. [Google Scholar]
- Nagendra, M.; Candan, K.S. SkySuite: A framework of skyline-join operators for static and stream environments. In Proceedings of the 39th International Conference on Very Large Data Bases, Riva del Garda, Trento, Italy, 26–30 August 2013. [Google Scholar]
- Kang, H. In-network processing of joins in wireless sensor networks. Sensors 2013, 13, 3358–3393. [Google Scholar] [CrossRef] [Green Version]
- Bloom, B. Space/time trade-offs in hash coding with allowable errors. Commun. ACM 1970, 7, 422–426. [Google Scholar] [CrossRef]
- Andrei, B.; Mitzenmacher, M. Network applications of Bloom filters: A survey. Internet Math. 2004, 4, 485–509. [Google Scholar]
- Mullin, J.K. Optimal semijoins for distributed database systems. IEEE Trans. Softw. Eng. 1990, 5, 558–560. [Google Scholar] [CrossRef]
- Kang, H.; Roussopoulos, N. Using 2-way Semijoins in Distributed Query Processing. In Proceedings of the 3rd IEEE International Conference on Data Engineering, Los Angeles, CA, USA, 3–5 February 1987; pp. 644–651. [Google Scholar]
- Roussopoulos, N.; Kang, H. A pipeline n-way join algorithm based on the 2-way semijoin program. IEEE Trans. Knowl. Data Eng. 1991, 4, 486–495. [Google Scholar] [CrossRef] [PubMed]
- Li, Z.; Ross, K.A. PERF Join: An Alternative to Two-way Semijoin and Bloomjoin. In Proceedings of the 4th International Conference on Information and Knowledge Management, Baltimore, MD, USA, 28 November–2 December 1995; pp. 137–144. [Google Scholar]
- Navarro-Camba, E.A.; Felici-Castell, S.; Segura-García, J.; García-Pineda, M.; Pérez-Solano, J.J. Feasibility of a stochastic collaborative beamforming for long range communications in wireless sensor networks. Electronics 2018, 7, 417. [Google Scholar] [CrossRef] [Green Version]
- Madden, S.; Franklin, M.; Hellerstein, J.; Hong, W. TinyDB: An acquisitional query processing system for sensor networks. ACM Trans. Database Syst. 2005, 1, 122–173. [Google Scholar] [CrossRef] [Green Version]
- Madden, S.; Franklin, M.J.; Hellerstein, J.M.; Hong, W. TAG: A tiny aggregation service for ad-hoc sensor networks. In Proceedings of the 5th Symposium on Operating Systems Design and Implementation, Boston, MA, USA, 9–11 December 2002. [Google Scholar]
- Yao, Y.; Gehrke, J. The Cougar approach to in-network query processing in sensor networks. ACM SIGMOD Rec. 2002, 31, 9–18. [Google Scholar] [CrossRef] [Green Version]
- Zhao, F.; Guibas, L. Wireless Sensor Networks: An Information Processing Approach; Morgan Kaufmann: San Francisco, CA, USA, 2004. [Google Scholar]
- Bernstein, P.A.; Chiu, D.W. Using semi-joins to solve relational queries. J. ACM 1981, 1, 25–40. [Google Scholar] [CrossRef]
- Bartolini, I.; Ciaccia, P.; Patella, M. Salsa: Computing the skyline without scanning the whole sky. In Proceedings of the ACM Conference on Information and Knowledge Management, Arlington, VA, USA, 6–11 November 2006. [Google Scholar]
















| Parameter | Value |
|---|---|
| The number of hops between and the sink node (i = 1, 2) | 50 |
| The number of hops between and (i = 1, 2) | 30 |
| Size of a region (NN nodes) | N = 50, 100, 150 |
| Memory space allocated for storing a range synopsis per node | 1K, 2K, 3K bytes |
| Join rate | 1.0, 0.7, 0.4, 0.1, 0.05, 0.01, 0.005, 0.001 |
| Size of a tuple | 100 bytes |
Disclaimer/Publisher’s Note: The statements, opinions and data contained in all publications are solely those of the individual author(s) and contributor(s) and not of MDPI and/or the editor(s). MDPI and/or the editor(s) disclaim responsibility for any injury to people or property resulting from any ideas, methods, instructions or products referred to in the content. |
© 2023 by the author. Licensee MDPI, Basel, Switzerland. This article is an open access article distributed under the terms and conditions of the Creative Commons Attribution (CC BY) license (https://creativecommons.org/licenses/by/4.0/).
Share and Cite
Kang, H. In-Network Processing of Skyline Join Queries in Wireless Sensor Networks Using Synopses of Skyline Attribute Value Ranges. Sensors 2023, 23, 3022. https://doi.org/10.3390/s23063022
Kang H. In-Network Processing of Skyline Join Queries in Wireless Sensor Networks Using Synopses of Skyline Attribute Value Ranges. Sensors. 2023; 23(6):3022. https://doi.org/10.3390/s23063022
Chicago/Turabian StyleKang, Hyunchul. 2023. "In-Network Processing of Skyline Join Queries in Wireless Sensor Networks Using Synopses of Skyline Attribute Value Ranges" Sensors 23, no. 6: 3022. https://doi.org/10.3390/s23063022
APA StyleKang, H. (2023). In-Network Processing of Skyline Join Queries in Wireless Sensor Networks Using Synopses of Skyline Attribute Value Ranges. Sensors, 23(6), 3022. https://doi.org/10.3390/s23063022
