The Development of a Novel Headspace O2 Concentration Measurement Sensor for Vials
Abstract
1. Introduction
2. Measurement System Development
2.1. The Novel HOCM Sensor
2.2. Calibration of O2 Concentration
2.3. Sensor System Measurement Accuracy Verification
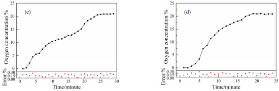
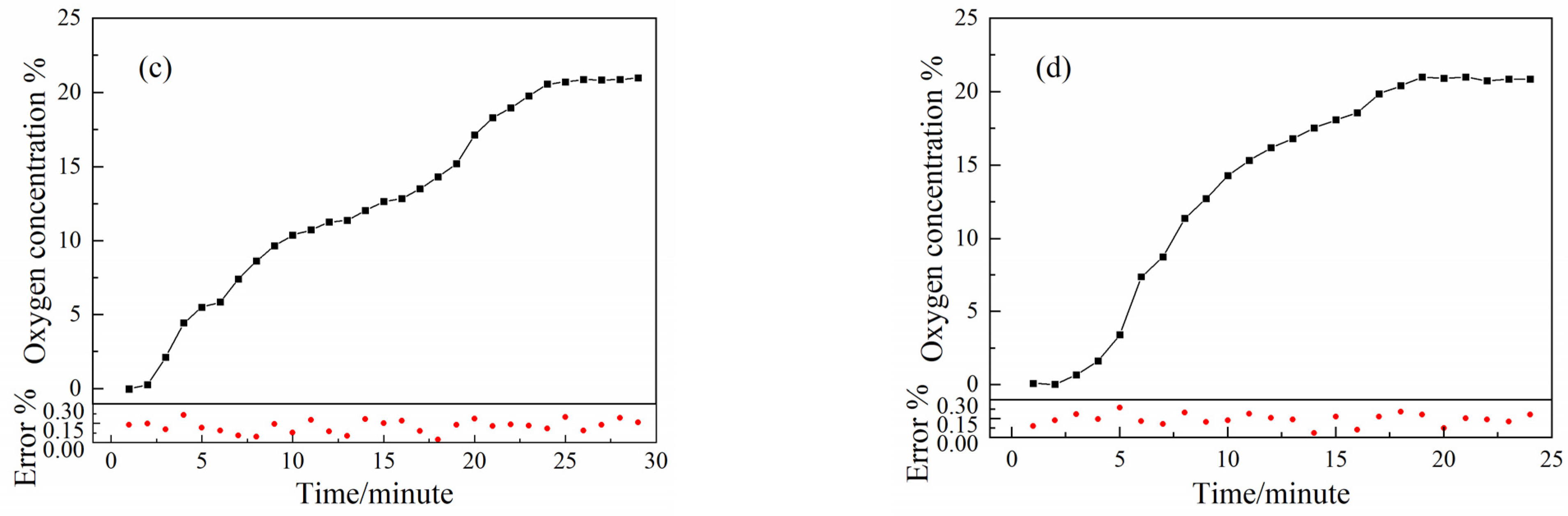
3. Results and Discussions
4. Conclusions
5. Patents
Author Contributions
Funding
Institutional Review Board Statement
Informed Consent Statement
Data Availability Statement
Conflicts of Interest
References
- Imran, M.; Ahmed, S.; Abdullah, A.Z.; Hakami, J.; Chaudhary, A.A.; Rudayni, H.A.; Khan, S.U.; Khan, A.; Basher, N.S. Nanostructured material-based optical and electrochemical detection of amoxicillin antibiotic. Luminescence 2022, 1–23. [Google Scholar] [CrossRef]
- Krishnan, S.K.; Singh, E.; Singh, P.; Meyyappan, M.; Nalwa, H.S. A review on graphene-based nanocomposites for electrochemical and fluorescent biosensors. RSC Adv. 2019, 9, 8778–8881. [Google Scholar] [CrossRef] [PubMed]
- Shi, L.; Wang, Y.; Ding, S.; Chu, Z.; Yin, Y.; Jiang, D.; Luo, J.; Jin, W. A facile and green strategy for preparing newly-designed 3D graphene/gold film and its application in highly efficient electrochemical mercury assay. Biosens. Bioelectron. 2017, 89, 871–879. [Google Scholar] [CrossRef] [PubMed]
- Majdinasab, M.; Mitsubayashi, K.; Marty, J.L. Optical and Electrochemical Sensors and Biosensors for the Detection of Quinolones. Trends Biotechnol. 2019, 37, 898–915. [Google Scholar] [CrossRef] [PubMed]
- Shen, L.; Wang, H.; Chen, P.; Yu, C.; Liang, Y.; Zhang, C. The analytical determination and electrochemiluminescence behavior of amoxicillin. J. Food Drug Anal. 2016, 24, 199–205. [Google Scholar] [CrossRef] [PubMed]
- Ditter, D.; Mahler, H.C.; Roehl, H.; Wahl, M.; Huwyler, J.; Nieto, A.; Allmendinger, A. Characterization of surface properties of glass vials used as primary packaging material for parenterals. Eur. J. Pharm. Biopharm. 2018, 125, 58–67. [Google Scholar] [CrossRef]
- Schaut, R.A.; Peanasky, J.S.; DeMartino, S.E.; Schiefelbein, S.L. A new glass option for parenteral packaging. PDA J. Pharm. Sci. Technol. 2014, 68, 527–534. [Google Scholar] [CrossRef]
- Chow, E.J.; Kitaguchi, B.; Trier, M. Effects of subzero temperature exposure and supercooling on glass vial breakage: Risk management and other applications in cold chain distribution. PDA J. Pharm. Sci. Technol. 2012, 66, 55–62. [Google Scholar] [CrossRef]
- Iacocca, R.G.; Toltl, N.; Allgeier, M.; Dong, X.; Foubert, M.; Hofer, J.; Peoples, S.; Shelbourn, T. Factors affecting the chemical durability of glass used in the pharmaceutical industry. AAPS Pharmscitech 2010, 11, 1340–1349. [Google Scholar] [CrossRef]
- Milton, N.; Gopalrathnam, G.; Craig, G.D.; Mishra, D.S.; Roy, M.L.; Yu, L. Vial breakage during freeze-drying: Crystallization of sodium chloride in sodium chloride-sucrose frozen aqueous solutions. J. Pharm. Sci. 2007, 96, 1848–1853. [Google Scholar] [CrossRef]
- Song, Y.S.; Gera, M.; Jain, B.; Koontz, J.L. Evaluation of a non-destructive high-voltage technique for the detection of pinhole leaks in flexible and semi-rigid packages for foods. Packag. Technol. Sci. 2014, 27, 423–436. [Google Scholar] [CrossRef]
- Patel, J.; Mulhall, B.; Wolf, H.; Klohr, S.; Guazzo, D.M. Vacuum Decay Container Closure Integrity Leak Test Method Development and Validation for a Lyophilized Product-Package System. PDA J. Pharm. Sci. Technol. 2011, 65, 486–505. [Google Scholar] [CrossRef] [PubMed]
- Moghimi, N.; Park, S. Leakage assessment of flexible pouches using dye penetration test with correlation to modeled bacterial aerosol challenge test. Food Sci. Biotechnol. 2017, 26, 947–953. [Google Scholar] [CrossRef] [PubMed]
- Lundin, P.; Cocola, L.; Lewander, M.; Olsson, A.; Svanberg, S. Non-intrusive headspace gas measurements by laser spectroscopy—Performance validation by a reference sensor. J. Food Eng. 2012, 111, 612–617. [Google Scholar] [CrossRef]
- Luo, L.; Li, T.; Deng, J.; Zhao, R.; Wang, J. An improved WMS-2f/1f spectral fitting method using orthogonal test in initial parameters selection. Sensors 2022, 22, 7430. [Google Scholar] [CrossRef]
- Wang, F.P.; Chang, J.; Wang, Q.; Wei, W.; Qin, Z.G. TDLAS gas sensing system utilizing fiber reflector based round-trip structure: Double absorption path-length, residual amplitude modulation removal. Sens. Actuators A 2017, 259, 152–159. [Google Scholar] [CrossRef]
- Liu, X.; Ma, Y. Tunable diode laser absorption spectroscopy based temperature measurement with a single diode laser near 1.4 μm. Sensors 2022, 22, 6095. [Google Scholar] [CrossRef]
- Neethu, S.; Verma, R.; Kamble, S.S.; Radhakrishnan, J.K.; Krishnapur, P.P.; Padaki, V.C. Validation of wavelength modulation spectroscopy techniques for oxygen concentration measurement. Sens. Actuators B 2014, 192, 70–76. [Google Scholar] [CrossRef]
- Lu, H.; Zheng, C.; Zhang, L.; Liu, Z.; Song, F.; Li, X.; Zhang, Y.; Wang, Y. A remote sensor system based on TDLAS technique for ammonia leakage monitoring. Sensors 2021, 21, 2448. [Google Scholar] [CrossRef]
- Cai, T.D.; Wang, G.S.; Cao, Z.S.; Zhang, W.J.; Gao, X.M. Sensor for headspace pressure and H2O concentration measurements in closed vials by tunable diode laser absorption spectroscopy. Opt. Lasers Eng. 2014, 58, 48–53. [Google Scholar] [CrossRef]
- Luo, Q.; Song, C.; Yang, C.; Gui, W.; Sun, Y.; Jeffrey, Z. Headspace oxygen concentration measurement for pharmaceutical glass bottles in open-path optical environment using TDLAS/WMS. IEEE Trans. Instrum. Meas. 2020, 69, 5828–5842. [Google Scholar] [CrossRef]
- Jenkins, T.P.; Berg, T. Diode Laser Absorption Sensor for Detecting Oxygen in Head Space of Vials. In Proceedings of the 2008 IEEE Sensors, Lecce, Italy, 26–29 October 2008. [Google Scholar] [CrossRef]
- Zhu, G.F.; Yang, C.H.; Zhu, H.Q.; Gui, W.H. Oxygen concentration detection and calibration method improvement in pharmaceutical vial based on wavelength modulation spectroscopy. Spectrosc. Spect. Anal. 2017, 37, 3133–3137. [Google Scholar] [CrossRef]
- Laser-Based Headspace Analysis|Lighthouse Instruments. Available online: http://lighthouseinstruments.com (accessed on 20 August 2022).
- Silver, J.A.; Wood, W.R. Miniature gas sensor for monitoring biological space environments. In Proceedings of the 2002 International Symposium on Optical Science and Technology, Seattle, WA, USA, 23 September 2002. [Google Scholar] [CrossRef]
- Goldenstein, C.S.; Spearrin, R.M.; Jeffries, J.B.; Hanson, R.K. Infrared laser-absorption sensing for combustion gases. Prog. Energy Combust. Sci. 2017, 60, 132–176. [Google Scholar] [CrossRef]
- Gianella, M.; Sigrist, M.W. Infrared spectroscopy on smoke produced by cauterization of animal tissue. Sensors 2010, 10, 2694–2708. [Google Scholar] [CrossRef]
- Liu, Y.; Ma, Y. Advances in multipass cell for absorption spectroscopy-based trace gas sensing technology. Chin. Opt. Lett. 2023, 21, 033001. [Google Scholar] [CrossRef]
- Das, D.; Wilson, A.C. Very long optical path-length from a compact multi-pass cell. Appl. Phys. B 2011, 103, 749–754. [Google Scholar] [CrossRef]
- Liu, X.; Qiao, S.; Han, G.; Liang, J.; Ma, Y. Highly sensitive HF detection based on absorption enhanced light-induced thermoelastic spectroscopy with a quartz tuning fork of receive and shallow neural network fitting. Photoacoustics 2022, 28, 100422. [Google Scholar] [CrossRef]
- Krzempek, K.; Jahjah, M.; Lewicki, R.; Stefanski, P.; So, S.; Thomazy, D.; Tittel, F.K. CW DFB RT diode laser based sensor for trace-gas detection of ethane using a novel compact multipass gas absorption cell. Appl. Phys. B 2013, 112, 461–465. [Google Scholar] [CrossRef]
- Yang, H.; Chen, J.; Luo, X.; Liu, C.; Qi, D.; Xin, X.; Su, M. Leakage detection of closed vials based on two-line water-vapor TDLAS. Measurement 2019, 135, 413–417. [Google Scholar] [CrossRef]
- Zhang, Y.; Wu, W.; Yang, H.; Li, C.; Tao, J.; Kan, R. Optimization of leakage detection system for vials based on two-line tunable diode laser absorption spectroscopy. Spectrochim. Acta Part A Mol. Biomol. Spectrosc. 2020, 233, 118194. [Google Scholar] [CrossRef]
- Persson, L.; Andersson, F.; Andersson, M.; Svanberg, S. Approach to optical interference fringes reduction in diode laser absorption spectroscopy. Appl. Phys. B 2007, 87, 523–530. [Google Scholar] [CrossRef]
- He, J.; Song, C.; Luo, Q.; Lan, L.; Yang, C.; Gui, W. Noise-robust self-adaptive support vector machine for residual oxygen concentration measurement. IEEE Trans. Instrum. Meas. 2020, 69, 8474–8485. [Google Scholar] [CrossRef]
- Zhu, G.; Hu, X.; Zhu, H.; Hu, E.; Zhu, J. The multi-beam interference suppression for measuring penicillin vial’s oxygen concentration based on tunable diode laser absorption spectroscopy. Spectrosc. Spect. Anal. 2018, 38, 372–376. [Google Scholar] [CrossRef]
- Shen, S.; He, J.; Wang, X. Relationship between harmonic line shape and temperature and pressure for wavelength modulation spectroscopy. Opt. Eng. 2022, 61, 036103. [Google Scholar] [CrossRef]
- Gordon, I.E.; Rothman, L.S.; Hargreaves, R.J.; Hashemi, R.; Karlovets, E.V.; Skinner, F.M.; Conway, E.K.; Hill, C.; Kochanov, R.V.; Tan, Y. The HITRAN2020 molecular spectroscopic database. J. Quant. Spectrosc. Radiat. Transf. 2022, 277, 107949. [Google Scholar] [CrossRef]








Disclaimer/Publisher’s Note: The statements, opinions and data contained in all publications are solely those of the individual author(s) and contributor(s) and not of MDPI and/or the editor(s). MDPI and/or the editor(s) disclaim responsibility for any injury to people or property resulting from any ideas, methods, instructions or products referred to in the content. |
© 2023 by the authors. Licensee MDPI, Basel, Switzerland. This article is an open access article distributed under the terms and conditions of the Creative Commons Attribution (CC BY) license (https://creativecommons.org/licenses/by/4.0/).
Share and Cite
Chen, X.; Sun, H.; Huang, W.; Jin, J.; Su, M.; Yang, H. The Development of a Novel Headspace O2 Concentration Measurement Sensor for Vials. Sensors 2023, 23, 2438. https://doi.org/10.3390/s23052438
Chen X, Sun H, Huang W, Jin J, Su M, Yang H. The Development of a Novel Headspace O2 Concentration Measurement Sensor for Vials. Sensors. 2023; 23(5):2438. https://doi.org/10.3390/s23052438
Chicago/Turabian StyleChen, Xiao, Hao Sun, Wei Huang, Jiayi Jin, Mingxu Su, and Huinan Yang. 2023. "The Development of a Novel Headspace O2 Concentration Measurement Sensor for Vials" Sensors 23, no. 5: 2438. https://doi.org/10.3390/s23052438
APA StyleChen, X., Sun, H., Huang, W., Jin, J., Su, M., & Yang, H. (2023). The Development of a Novel Headspace O2 Concentration Measurement Sensor for Vials. Sensors, 23(5), 2438. https://doi.org/10.3390/s23052438

