A Center-Tapped Transformer Based Multifunctional Single-Phase Converter with Wide DC-Bus Control
Abstract
1. Introduction
- A detailed operational principle of the proposed configuration;
- Its comprehensive control strategies;
- Simulation and small-scale prototype validation.
2. Proposed Topology and Its Equivalent Circuit
2.1. Circuit Configuration
2.2. Arms’ Power Balance and Circulating Current Considerations
2.2.1. Arms’ Power Balance
2.2.2. Circulating Current Consideration
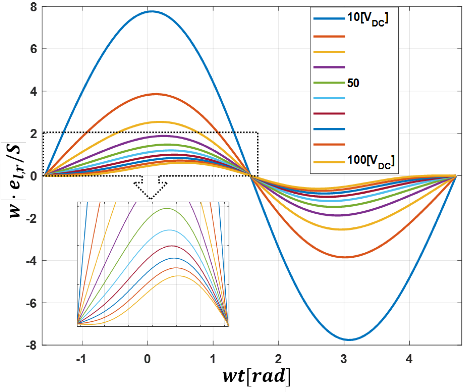
2.3. Cell Capacitor Sizing
3. Control Strategy
3.1. Total Energy and AC Current controller
3.2. Arm Energy Balancing and DC Current Control
4. Simulation Network and Result Discussion
4.1. Simulation Network
- The capacitor voltage is first charged via a pre-charge resistor.
- The converter is synchronised with the grid via PLL.
- After grid synchronization, the capacitor voltage is boosted to the rated 270 V.
- Power is then exchanged between the grid and DC-bus.
4.2. Simulation Result and Discussion
4.2.1. Case I (General Operation and DC FRT Test)
4.2.2. Case II (STATCOM Operation Test)
4.2.3. Case III PV and Grid Interfacing
5. Experimental Network and Result Discussion
5.1. Experiment Result and Discussion
5.1.1. Phase-Locking
5.1.2. Converter Steady-State Operation Test
5.1.3. STATCOM Operation Test and General stability
6. Conclusions
Author Contributions
Funding
Institutional Review Board Statement
Informed Consent Statement
Data Availability Statement
Conflicts of Interest
References
- Energy Information Administration (EIA). International Energy Outlook. 2021. Available online: https://www.eia.gov/todayinenergy/detail.php?id=49876 (accessed on 20 October 2021).
- Renewables Now (REN21). Renewables Global Status Report. 2021. Available online: https://www.ren21.net/gsr-2021/ (accessed on 18 December 2021).
- Blaabjerg, F.; Chen, Z.; Kjaer, S. Power electronics as efficient interface in dispersed power generation systems. IEEE Trans. Power Electron. 2004, 19, 1184–1194. [Google Scholar] [CrossRef]
- Hill, C.; Such, M.; Chen, D.; Gonzalez, J.; Grady, W. Battery Energy Storage for Enabling Integration of Distributed Solar Power Generation. IEEE Trans. Smart Grid 2012, 3, 850–857. [Google Scholar] [CrossRef]
- Calais, M.; Myrzik, J.; Spooner, T.; Agelidis, V. Inverters for single-phase grid connected photovoltaic systems-an overview. In Proceedings of the 2002 IEEE 33rd Annual IEEE Power Electronics Specialists Conference. Proceedings (Cat. No.02CH37289), Cairns, Australia, 23–27 June 2002; Volume 4, pp. 1995–2000. [Google Scholar] [CrossRef]
- Kjær, S.; Pedersen, J.; Blaabjerg, F. A Review of Single-Phase Grid-Connected Inverters for Photovoltaic Modules. IEEE Trans. Ind. Appl. 2005, 41, 1292–1306. [Google Scholar] [CrossRef]
- Teodorescu, R.; Liserre, M.; Rodriguez, P. Grid Converters for Photovoltaic and Wind Power Systems, Introduction. In Grid Converters for Photovoltaic and Wind Power Systems; Wiley-IEEE Press: Hoboken, NJ, USA, 2007; pp. 1–4. [Google Scholar] [CrossRef]
- Jeong, S.G.; Kwon, J.M.; Kwon, B.H. High-Efficiency Bridgeless Single-Power-Conversion Battery Charger for Light Electric Vehicles. IEEE Trans. Ind. Electron. 2019, 66, 215–222. [Google Scholar] [CrossRef]
- Bosso, J.; Llomplat, M.; Oggier, G.; García, G. Isolated Bidirectional DC to Three-Phase AC Converter for Integration of Renewable Energy Sources to Electric Grid. IET Power Electron. 2019, 12, 2058–2068. [Google Scholar] [CrossRef]
- Cao, D.; Jiang, S.; Peng, F.Z.; Li, Y. Low cost transformer isolated boost half-bridge micro-inverter for single-phase grid-connected photovoltaic system. In Proceedings of the 2012 Twenty-Seventh Annual IEEE Applied Power Electronics Conference and Exposition (APEC), Orlando, FL, USA, 5–9 February 2012; pp. 71–78. [Google Scholar] [CrossRef]
- Inoue, S.; Akagi, H. A Bidirectional DC–DC Converter for an Energy Storage System With Galvanic Isolation. IEEE Trans. Power Electron. 2007, 22, 2299–2306. [Google Scholar] [CrossRef]
- Hagiwara, M.; Akagi, H. Experiment and Simulation of a Modular Push–Pull PWM Converter for a Battery Energy Storage System. IEEE Trans. Ind. Appl. 2014, 50, 1131–1140. [Google Scholar] [CrossRef]
- Kaya, M.; Costabeber, A.; Watson, A.J.; Tardelli, F.; Clare, J.C. A Push–Pull Series Connected Modular Multilevel Converter for HVdc Applications. IEEE Trans. Power Electron. 2022, 37, 3111–3129. [Google Scholar] [CrossRef]
- Ji, K.; Liu, S.; Pang, H.; Yang, J.; Xu, Z.; He, Z.; Tang, G. Generalized Impedance Analysis and New Sight at Damping Controls for Wind Farm Connected MMC–HVdc. IEEE J. Emerg. Sel. Top. Power Electron. 2021, 9, 7278–7295. [Google Scholar] [CrossRef]
- Mohan, N.; Undeland, T.M.; Robbins, W.P. POWER ELECTRONICS; John Wiley and Sons: Hoboken, NJ, USA, 2003. [Google Scholar]
- Ilves, K.; Antonopoulos, A.; Norrga, S.; Nee, H.P. Steady-State Analysis of Interaction Between Harmonic Components of Arm and Line Quantities of Modular Multilevel Converters. IEEE Trans. Power Electron. 2012, 27, 57–68. [Google Scholar] [CrossRef]
- Merlin, M.M.C.; Green, T.C. Cell capacitor sizing in multilevel converters: Cases of the modular multilevel converter and alternate arm converter. IET Power Electron. 2015, 8, 350–360. [Google Scholar] [CrossRef]
- Min, G.H.; Lee, K.H.; Ha, J.I.; Kim, M.H. Design and Control of Single-Phase Grid-Connected Photovoltaic Microinverter with Reactive Power Support Capability. In Proceedings of the 2018 International Power Electronics Conference (IPEC-Niigata 2018—ECCE Asia), Niigata, Japan, 20–24 May 2018; pp. 2500–2504. [Google Scholar] [CrossRef]
- Hyun, D.Y.; Lim, C.S.; Kim, R.Y.; Hyun, D.S. Averaged modeling and control of a single-phase grid-connected two-stage inverter for battery application. In Proceedings of the IECON 2013—39th Annual Conference of the IEEE Industrial Electronics Society, Vienna, Austria, 10–13 November 2013; pp. 489–494. [Google Scholar] [CrossRef]
- Blahnik, V.; Kosan, T.; Talla, J. Control of single-phase AC/DC converter based on SOGI-PLL voltage synchronization. In Proceedings of the 16th International Conference on Mechatronics-Mechatronika 2014, Brno, Czech Republic, 3–5 December 2014; pp. 652–655. [Google Scholar] [CrossRef]
- Ciobotaru, M.; Teodorescu, R.; Blaabjerg, F. A New Single-Phase PLL Structure Based on Second Order Generalized Integrator. In Proceedings of the 37th IEEE Power Electronics Specialists Conference, PESC’06, Electrical Engineering/Electronics, Computer, Communications and Information Technology Association, Jeju, Republic of Korea, 18–22 June 2006; pp. 361–366. [Google Scholar] [CrossRef]
- Dannehl, J.; Wessels, C.; Fuchs, F.W. Limitations of voltage-oriented pi current control of grid-connected pwm rectifiers with lcl filters. IEEE Trans. Ind. Electron. 2009, 56, 380–388. [Google Scholar] [CrossRef]
- Bacha, S.; Munteanu, I.; Bractu, A.I. Power Electronic Converters Modeling and Control; Number 1; Springer: London, UK, 2013; pp. 248–265. [Google Scholar] [CrossRef]
- Pandit, J.K.; Sakthisudhursun, B.; Aware, M.V. A PR controller implementation using double update mode digital PWM for grid connected inverter. In Proceedings of the 2014 IEEE International Conference on Power Electronics, Drives and Energy Systems (PEDES), Mumbai, India, 16–19 December 2014; pp. 1–6. [Google Scholar] [CrossRef]
- Rojas, O.J.; Goodwin, G.C. A simple anti-windup strategy for state constrained linear control. In Proceedings of the 15th IFAC World Congress, Barcelona, Spain, 21–26 July 2002; Volume 35, pp. 109–114. [Google Scholar] [CrossRef]
- Buso, S.; Mattavelli, P. Digital Control in Power Electronics; Morganand Claypool Publishers: San Rafael, CA, USA, 2006; Volume 1. [Google Scholar] [CrossRef]
- Hagiwara, M.; Akagi, H. Control and Experiment of Pulsewidth-Modulated Modular Multilevel Converters. IEEE Trans. Power Electron. 2009, 24, 1739. [Google Scholar] [CrossRef]
- Vinod; Kumar, R.; Singh, S. Solar photovoltaic modeling and simulation: As a renewable energy solution. Energy Rep. 2018, 4, 701–712. [Google Scholar] [CrossRef]
- Liu, B.; Duan, S.; Liu, F.; Xu, P. Analysis and Improvement of Maximum Power Point Tracking Algorithm Based on Incremental Conductance Method for Photovoltaic Array. In Proceedings of the 2007 7th International Conference on Power Electronics and Drive Systems, Daegu, Republic of Korea, 22–26 October 2007; pp. 637–641. [Google Scholar] [CrossRef]

















| Parameter | Value | Unit |
|---|---|---|
| Rated Output Power | 1.8 | kVA |
| Cells Per Arm () | 3 | ea. |
| Arm Inductance | 1 | mH |
| Resistance | 0.0012/0.001 | Ω |
| DC Filter Capacitor Rating | 100 | μF |
| Cell Capacitor Rating | 2.86 | mF |
| DC-bus Voltage | 45∼100 | V |
| Grid RMS Voltage/Frequency | 220/60 | V/Hz |
| Switching Frequency | 10 | kHz |
| Transformer Turns Ratio | 2:1 | : |
| Parameter | Value | Unit |
|---|---|---|
| Rated Output Power | 1.8 | kVA |
| Cells Per Arm () | 3 | ea. |
| Arm Inductance | 1 | mH |
| Resistance | Not Measured | Ω |
| DC Filter Capacitor Rating | 100 | μF |
| Cell Capacitor Rating | 2.86 | mF |
| DC-bus Voltage | 60∼100 | V |
| Grid RMS Voltage/Frequency | 220/60 | V/Hz |
| Switching Frequency | 10 | kHz |
| Transformer Rating | 6.5 | kVA |
| Transformer Turns Ratio | 2:1 | : |
| NF DC Power Supply | 3 | kW |
Disclaimer/Publisher’s Note: The statements, opinions and data contained in all publications are solely those of the individual author(s) and contributor(s) and not of MDPI and/or the editor(s). MDPI and/or the editor(s) disclaim responsibility for any injury to people or property resulting from any ideas, methods, instructions or products referred to in the content. |
© 2023 by the authors. Licensee MDPI, Basel, Switzerland. This article is an open access article distributed under the terms and conditions of the Creative Commons Attribution (CC BY) license (https://creativecommons.org/licenses/by/4.0/).
Share and Cite
Obi, A.S.; Lee, S.-H.; Jung, H.-S.; Jung, J.-J. A Center-Tapped Transformer Based Multifunctional Single-Phase Converter with Wide DC-Bus Control. Sensors 2023, 23, 2227. https://doi.org/10.3390/s23042227
Obi AS, Lee S-H, Jung H-S, Jung J-J. A Center-Tapped Transformer Based Multifunctional Single-Phase Converter with Wide DC-Bus Control. Sensors. 2023; 23(4):2227. https://doi.org/10.3390/s23042227
Chicago/Turabian StyleObi, Arinze Stephen, Si-Heon Lee, Hyun-Sam Jung, and Jae-Jung Jung. 2023. "A Center-Tapped Transformer Based Multifunctional Single-Phase Converter with Wide DC-Bus Control" Sensors 23, no. 4: 2227. https://doi.org/10.3390/s23042227
APA StyleObi, A. S., Lee, S.-H., Jung, H.-S., & Jung, J.-J. (2023). A Center-Tapped Transformer Based Multifunctional Single-Phase Converter with Wide DC-Bus Control. Sensors, 23(4), 2227. https://doi.org/10.3390/s23042227

