Validity and Reliability of Inertial Measurement System for Linear Movement Velocity in Flywheel Squat Exercise
Abstract
1. Introduction
2. Materials and Methods
2.1. Study Design
2.2. Participants
2.3. Testing Procedures
2.4. Statistical Analyses
3. Results
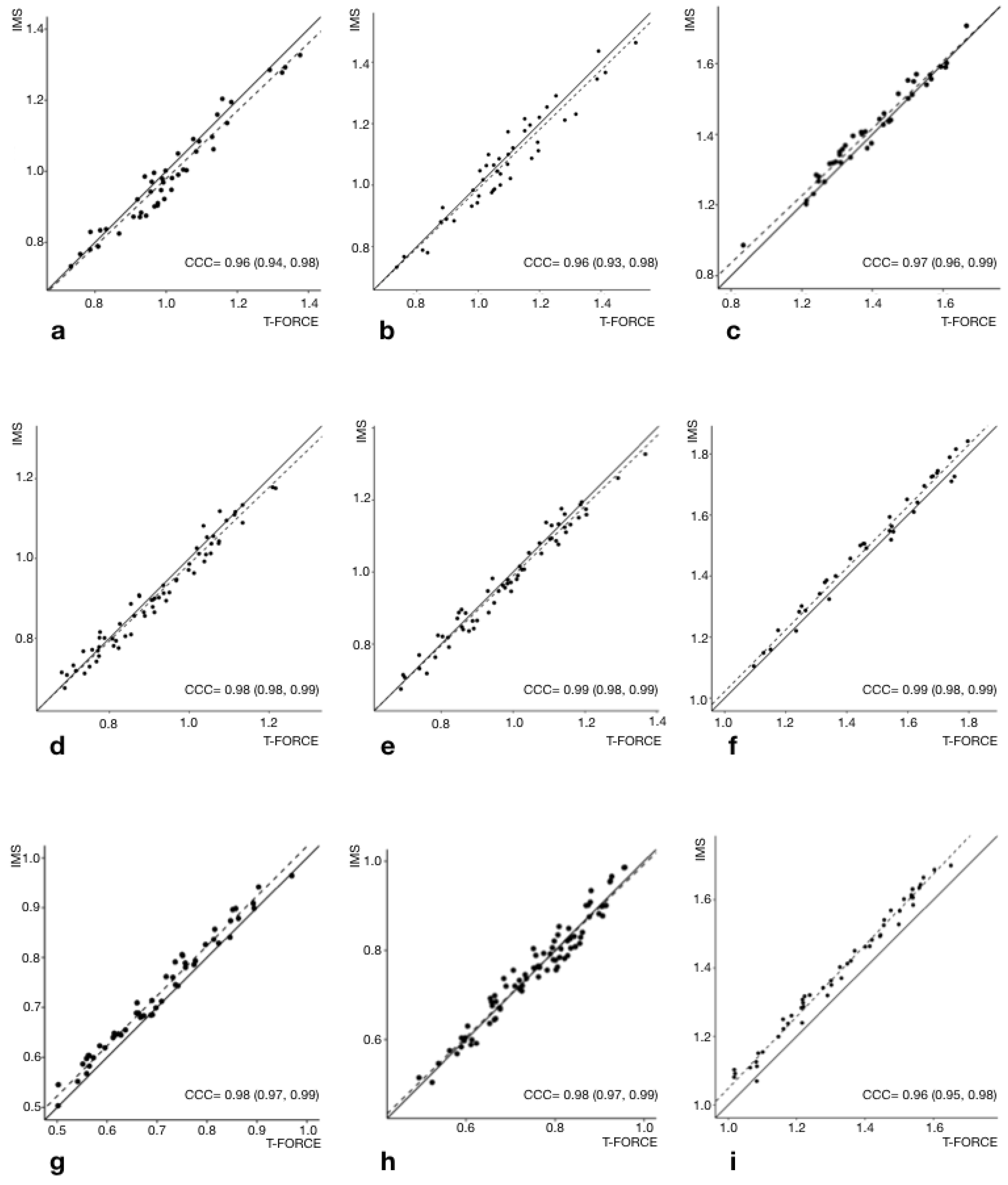
3.1. Validity
3.2. Reliability
4. Discussion
5. Conclusions
Author Contributions
Funding
Institutional Review Board Statement
Informed Consent Statement
Data Availability Statement
Conflicts of Interest
References
- Jonathon, W.; Bryan, M.; Harry, B.; Shaun, M.; Tannath, S.; Amador, G.-R. Velocity-Based Training: From Theory to Application. Strength Cond. J. 2021, 43, 31–49. [Google Scholar] [CrossRef]
- González-Badillo, J.J.; Sánchez-Medina, L.; Ribas-Serna, J.; Rodríguez-Rosell, D. Toward a New Paradigm in Resistance Training by Means of Velocity Monitoring: A Critical and Challenging Narrative. Sport Med.—Open 2022, 8, 118. [Google Scholar] [CrossRef] [PubMed]
- Carroll, K.M.; Wagle, J.P.; Sato, K.; Taber, C.B.; Yoshida, N.; Bingham, G.E.; Stone, M.H. Characterising Overload in Inertial Flywheel Devices for Use in Exercise Training. Sports Biomech. 2019, 18, 390–401. [Google Scholar] [CrossRef] [PubMed]
- Banyard, H.G.; Tufano, J.J.; Delgado, J.; Thompson, S.W.; Nosaka, K. Comparison of the Effects of Velocity-Based Training Methods and Traditional 1RM-Percent-Based Training Prescription on Acute Kinetic and Kinematic Variables. Int. J. Sports Physiol. Perform. 2019, 4, 246–255. [Google Scholar] [CrossRef] [PubMed]
- Sanchez-Medina, L.; Perez, C.E.; Gonzalez-Badillo, J.J. Importance of the propulsive phase in strength assessment. Int. J. Sports Med. 2010, 31, 123–129. [Google Scholar] [CrossRef] [PubMed]
- Balsalobre-Fernández, C.; Marchante, D.; Muñoz-López, M.; Jiménez, S.L. Validity and reliability of a novel iPhone app for the measurement of barbell velocity and 1RM on the bench-press exercise. J. Sports Sci. 2018, 36, 64–70. [Google Scholar] [CrossRef] [PubMed]
- Martín-Rivera, F.; Beato, M.; Alepuz-Moner, V.; Maroto-Izquierdo, S. Use of concentric linear velocity to monitor flywheel exercise load. Front. Physiol. 2022, 13, 961572. [Google Scholar] [CrossRef] [PubMed]
- Balsalobre-Fernández, C.; Marchante, D.; Baz-Valle, E.; Alonso-Molero, I.; Jiménez, S.L.; Muñóz-López, M. Analysis of Wearable and Smartphone-Based Technologies for the Measurement of Barbell Velocity in Different Resistance Training Exercises. Front. Physiol. 2017, 8, 649. [Google Scholar] [CrossRef]
- Suchomel, T.J.; Nimphius, S.; Bellon, C.R.; Stone, M.H. The Importance of Muscular Strength: Training Considerations. Sports Med. 2018, 48, 765–785. [Google Scholar] [CrossRef]
- Douglas, J.; Pearson, S.; Ross, A.; McGuigan, M. Chronic Adaptations to Eccentric Training: A Systematic Review. Sports Med. 2017, 47, 917–941. [Google Scholar] [CrossRef]
- Suchomel, T.J.; Wagle, J.P.; Douglas, J.; Taber, C.B.; Harden, M.; Haff, G.G.; Stone, M.H. Implementing Eccentric Resistance Training—Part 1: A Brief Review of Existing Methods. J. Funct. Morphol. Kinesiol. 2019, 4, 38. [Google Scholar] [CrossRef] [PubMed]
- Hernández-Davó, J.L.; Sabido, R.; Blazevich, A.J. High-speed stretch-shortening cycle exercises as a strategy to provide eccentric overload during resistance training. Scand. J. Med. Sci. Sports 2021, 31, 2211–2220. [Google Scholar] [CrossRef] [PubMed]
- Wagle, J.P.; Taber, C.B.; Cunanan, A.J.; Bingham, G.E.; Carroll, K.M.; Deweese, B.H.; Sato, K.; Stone, M.H. Accentuated eccentric loading for training and performance: A review. Sports Med. 2017, 47, 2473–2495. [Google Scholar] [CrossRef] [PubMed]
- Maroto-Izquierdo, S.; García-López, D.; Fernandez-Gonzalo, R.; Moreira, O.C.; González-Gallego, J.; de Paz, J.A. Skeletal muscle functional and structural adaptations after eccentric overload flywheel resistance training: A systematic review and meta-analysis. J. Sci. Med. Sport 2017, 20, 943–951. [Google Scholar] [CrossRef] [PubMed]
- Marco, B.; Antonio, D.I. Implementing Flywheel (Isoinertial) Exercise in Strength Training: Current Evidence, Practical Recommendations, and Future Directions. Front. Physiol. 2020, 11, 569. [Google Scholar] [CrossRef]
- Fernandez-Gonzalo, R.; Lundberg, T.R.; Alvarez-Alvarez, L.; de Paz, J.A. Muscle damage responses and adaptations to eccentric-overload resistance exercise in men and women. Eur. J. Appl. Physiol. 2014, 114, 1075–1084. [Google Scholar] [CrossRef]
- de Keijzer, K.L.; McErlain-Naylor, S.A.; Brownlee, T.E.; Raya-González, J.; Beato, M. Perception and application of flywheel training by professional soccer practitioners. Biol. Sport 2022, 39, 809–817. [Google Scholar] [CrossRef]
- Beato, M.; Bigby, A.E.J.; De Keijzer, K.L.; Nakamura, F.Y.; Coratella, G.; McErlain-Naylor, S.A. Post-activation potentiation effect of eccentric overload and traditional weightlifting exercise on jumping and sprinting performance in male athletes. PLoS ONE 2019, 14, 0222466. [Google Scholar] [CrossRef]
- Beato, M.; Maroto-Izquierdo, S.; Turner, A.N.; Bishop, C. Implementing strength training strategies for injury prevention in soccer: Scientific rationale and methodological recommendations. Int. J. Sports Physiol. Perform. 2021, 16, 456–461. [Google Scholar] [CrossRef]
- Tesch, P.A.; Fernandez-Gonzalo, R.; Lundberg, T.R. Clinical Applications of Iso-Inertial, Eccentric-Overload (YoYo™) Resistance Exercise. Front. Physiol. 2017, 27, 241. [Google Scholar] [CrossRef]
- Maroto-Izquierdo, S.; McBride, J.; Gonzalez-Diez, N.; García-López, D.; González-Gallego, J.; de Paz, J.A. Comparison of Flywheel and Pneumatic Training on Hypertrophy, Strength, and Power in Professional Handball Players. Res. Q. Exerc. Sport 2022, 93, 1–15. [Google Scholar] [CrossRef] [PubMed]
- Maroto-Izquierdo, S.; Raya-González, J.; Hernández-Davó, J.L.; Beato, M. Load Quantification and Testing Using Flywheel Devices in Sports. Front. Physiol. 2021, 12, 739399. [Google Scholar] [CrossRef]
- Weakley, J.; Till, K.; Sampson, J.; Banyard, H.; Leduc, C.; Wilson, K.; Roe, G.; Jones, B. The Effects of Augmented Feedback on Sprint, Jump, and Strength Adaptations in Rugby Union Players After a 4-Week Training Program. Int. J. Sports Physiol. Perform. 2019, 29, 1205–1211. [Google Scholar] [CrossRef]
- Bollinger, L.M.; Brantley, J.T.; Tarlton, J.K.; Baker, P.A.; Seay, R.F.; Abel, M.G. Construct validity, test-retest reliability, and repeatability of performance variables using a flywheel resistance training device. J. Strength Cond. Res. 2020, 34, 3149–3156. [Google Scholar] [CrossRef] [PubMed]
- Beato, M.; Maroto-Izquierdo, S.; Hernández-Davó, J.L.; Raya-González, J. Flywheel Training Periodization in Team Sports. Front. Physiol. 2021, 12, 732802. [Google Scholar] [CrossRef] [PubMed]
- Yan, Z.; Zhang, X.-P. General Energy Filters for Power Smoothing, Tracking and Processing Using Energy Storage. IEEE Access 2017, 5, 19373–19382. [Google Scholar] [CrossRef]
- Maroto-Izquierdo, S.; Bautista, I.; Rivera, F. Post-activation performance enhancement (PAPE) after a single-bout of high-intensity flywheel resistance training. Biol. Sport 2020, 37, 343–350. [Google Scholar] [CrossRef]
- Martín-San Agustín, R.; Sánchez-Barbadora, M.; García-Vidal, J.A. Validity of an inertial system for measuring velocity, force, and power during hamstring exercises performed on a flywheel resistance training device. PeerJ 2020, 8, e10169. [Google Scholar] [CrossRef]
- Courel-Ibáñez, J.; Martínez-Cava, A.; Morán-Navarro, R.; Escribano-Peñas, P.; Chavarren-Cabrero, J.; González-Badillo, J.J.; Pallarés, J.G. Reproducibility and Repeatability of Five Different Technologies for Bar Velocity Measurement in Resistance Training. Ann. Biomed. Eng. 2019, 47, 1523–1538. [Google Scholar] [CrossRef]
- Cuenca-Fernández, F.; López-Contreras, G.; Arellano, R. Effect on Swimming Start Performance of Two Types of Activation Protocols: Lunge and YoYo Squat. J. Strength Cond. Res. 2015, 29, 647–655. [Google Scholar] [CrossRef]
- Mina, M.A.; Blazevich, A.J.; Tsatalas, T.; Giakas, G.; Seitz, L.B.; Kay, A.D. Variable, But not Free-Weight, Resistance back Squat Exercise Potentiates Jump Performance Following a Comprehensive Task-Specific Warm-Up. Scand. J. Med. Sci. Sports 2018, 29, 380–392. [Google Scholar] [CrossRef] [PubMed]
- Ludbrook, J. Statistical techniques for comparing measurers and methods of measurement: A critical review. Clin. Exp. Pharmacol. Physiol. 2002, 29, 527–536. [Google Scholar] [CrossRef] [PubMed]
- Ludbrook, J. A primer for biomedical scientists on how to execute model ii linear regression analysis. Clin. Exp. Pharmacol. Physiol. 2012, 39, 329–335. [Google Scholar] [CrossRef] [PubMed]
- Lin, L.I.-K. A concordance correlation coefficient to evaluate reproducibility. Biometrics 1989, 45, 255–268. [Google Scholar] [CrossRef]
- Lin, L.I.-K. A note on the concordance correlation coefficient. Biometrics 2000, 56, 324–325. [Google Scholar]
- Cortés-Reyes, É.; Rubio-Romero, J.A.; Gaitán-Duarte, H. Statistical methods of assessing the concordance and reproductibility of diagnostic tests. Rev. Colomb. De Obstet. Y Ginecol. 2010, 61, 247–255. [Google Scholar] [CrossRef]
- Hedges, L.V.; Olkin, I. Estimation of a single effect size: Parametric and nonparametric methods. In Statistical Methods for Meta-Analysis; Academic Press: San Diego, CA, USA, 1985; pp. 75–106. [Google Scholar] [CrossRef]
- Cohen, J. The t test for means. In Statistical Power Analysis for the Behavioral Sciences; Lawrence Earlbaum Associates: Hilldale, NJ, USA, 1988; pp. 19–74. [Google Scholar]
- Duthie, G.; Pyne, D.; Hooper, S. The reliability of video-based time motion analysis. J. Hum. Mov. Stud. 2003, 44, 259–272. [Google Scholar]
- Cormack, S.J.; Newton, R.U.; McGuigan, M.R. Reliability of measures obtained during single and repeated countermovement jumps. Int. J. Sports Physiol. Perform. 2008, 3, 131–144. [Google Scholar] [CrossRef]
- Sabido, R.; Hernández-Davó, J.L.; Pereyra-Gerber, G.T. Influence of Different Inertial Loads on Basic Training Variables During the Flywheel Squat Exercise. Int. J. Sports Physiol. Perform. 2018, 13, 482–489. [Google Scholar] [CrossRef]
- Muñoz-López, A.; Floría, P.; Sañudo, B.; Pecci, J.; Carmona Pérez, J.; Pozzo, M. The Maximum Flywheel Load: A Novel Index to Monitor Loading Intensity of Flywheel Devices. Sensors 2021, 21, 8124. [Google Scholar] [CrossRef]
- Rojas-Delgado, B.; Alonso, M.; Amaris, H.; de Santiago, J. Wavepower output smoothing through the use of a high-speed kinetic buffer. Energies 2019, 12, 2196. [Google Scholar] [CrossRef]
- Peña García-Orea, G.; Belando-Pedreño, N.; Merino-Barrero, J.A.; Jiménez-Ruiz, A.; Heredia-Elvar, J.R. Validation of an opto-electronic instrument for the measurement of weighted countermovement jump execution velocity. Sports Biomech. 2021, 20, 150–164. [Google Scholar] [CrossRef] [PubMed]
- Peña García-Orea, G.; Belando-Pedreño, N.; Merino-Barrero, J.A.; Heredia-Elvar, J.R. Validation of an opto-electronic instrument for the measurement of execution velocity in squat exercise. Sports Biomech. 2021, 20, 706–719. [Google Scholar] [CrossRef] [PubMed]


| Load | T-Force | IMS | Hedge’s g | 
|---|---|---|---|
| 0.02 kg·m2 | |||
| MV (m·s−1) | 0.998 (0.152) | 0.977 (0.148) | 0.141 | 
| Vmax (m·s−1) | 1.560 (0.274) | 1.596 (0.265) | 0.133 | 
| MPV (m·s−1) | 1.072 (0.168) | 1.050 (0.169) | 0.091 | 
| 0.05 kg·m2 | |||
| MV (m·s−1) | 0.905 (0.140) | 0.895 (0.134) | 0.071 | 
| Vmax (m·s−1) | 1.464 (0.208) | 1.491 (0.210) | 0.135 | 
| MPV (m·s−1) | 0.971 (0.160) | 0.962 (0.155) | 0.061 | 
| 0.11 kg·m2 | |||
| MV (m·s−1) | 0.689 ( 0.119) | 0.713 (0.119) | 0.191 | 
| Vmax (m·s−1) | 1.301 (0.191) | 1.363 (0.201) | 0.136 | 
| MPV (m·s−1) | 0.764 (0.129) | 0.764 (0.127) | 0.003 | 
| Variable | Intercept | Slope | Lin’s CCC | 
|---|---|---|---|
| 0.02 kg·m2 | |||
| MV | −0.00 (−0.06, 0.07) | 1.02 (0.95, 1.08) | 0.96 (0.94, 0.98) | 
| Vmax | −0.09 (−0.18, 0.01) | 1.04 (0.97, 1.1) | 0.97 (0.96, 0.99) | 
| MPV | 0.02 (−0.05, 0.19) | 0.99 (0.92, 1.06) | 0.96 (0.93, 0.98) | 
| 0.05 kg·m2 | |||
| MV | −0.03 (−0.07, 0.02) | 1.04 (0.99, 1.09) | 0.98 (0.98, 0.99) | 
| Vmax | −0.01 (−0.083, 0.042) | 0.99 (0.954, 1.041) | 0.99 (0.98, 0.99) | 
| MPV | −0.02 (−0.06, 0.03) | 1.03 (0.98, 1.07) | 0.99 (0.98, 0.99) | 
| 0.11 kg·m2 | |||
| MV | −0.03 (−0.06, 0.001) | 1.01 (0.97, 1.05) | 0.98 (0.97, 0.99) | 
| Vmax | 0.00 (−0.04, 0.05) | 0.95 (0.92, 1.00) | 0.96 (0.95, 0.98) | 
| MPV | −0.01 (−0.052, 0.018) | 1.02 (0.98, 1,07) | 0.98 (0.97, 0.99) | 
| Variable | CV (%) | ICC (95%CI) | SEM | 
|---|---|---|---|
| T-Force | |||
| MV—0.02 kg·m2 | 0.150 | 0.90 (0.80,0.95) | 0.048 | 
| MV—0.05 kg·m2 | 0.187 | 0.94 (0.89,0.97) | 0.041 | 
| MV—0.11 kg·m2 | 0.206 | 0.92 (0.84,0.96) | 0.038 | 
| Vmax—0.02 kg·m2 | 0.173 | 0.95 (0.90,0.98) | 0.061 | 
| Vmax—0.05 kg·m2 | 0.201 | 0.94 (0.88,0.97) | 0.071 | 
| Vmax—0.11 kg·m2 | 0.186 | 0.95 (0.89,0.97) | 0.054 | 
| MPV—0.02 kg·m2 | 0.155 | 0.87 (0.76,0.94) | 0.061 | 
| MPV—0.05 kg·m2 | 0.196 | 0.95 (0.89,0.97) | 0.042 | 
| MPV—0.11 kg·m2 | 0.190 | 0.93 (0.85,0.96) | 0.039 | 
| IMS | |||
| MV—0.02 kg·m2 | 0.150 | 0.90 (0.80,0.95) | 0.044 | 
| MV—0.05 kg·m2 | 0.183 | 0.89 (0.78,0.94) | 0.054 | 
| MV—0.11 kg·m2 | 0.201 | 0.93 (0.85,0.96) | 0.038 | 
| Vmax—0.02 kg·m2 | 0.163 | 0.95 (0.89,0.97) | 0.059 | 
| Vmax—0.05 kg·m2 | 0.200 | 0.91 (0.82,0.95) | 0.088 | 
| Vmax—0.11 kg·m2 | 0.187 | 0.95 (0.89,0.97) | 0.057 | 
| MPV—0.02 kg·m2 | 0.156 | 0.88 (0.77,0.94) | 0.059 | 
| MPV—0.05 kg·m2 | 0.194 | 0.92 (0.84,0.96) | 0.053 | 
| MPV—0.11 kg·m2 | 0.187 | 0.90 (0.81,0.95) | 0.045 | 
| Disclaimer/Publisher’s Note: The statements, opinions and data contained in all publications are solely those of the individual author(s) and contributor(s) and not of MDPI and/or the editor(s). MDPI and/or the editor(s) disclaim responsibility for any injury to people or property resulting from any ideas, methods, instructions or products referred to in the content. | 
© 2023 by the authors. Licensee MDPI, Basel, Switzerland. This article is an open access article distributed under the terms and conditions of the Creative Commons Attribution (CC BY) license (https://creativecommons.org/licenses/by/4.0/).
Share and Cite
Maroto-Izquierdo, S.; Nosaka, K.; Alarcón-Gómez, J.; Martín-Rivera, F. Validity and Reliability of Inertial Measurement System for Linear Movement Velocity in Flywheel Squat Exercise. Sensors 2023, 23, 2193. https://doi.org/10.3390/s23042193
Maroto-Izquierdo S, Nosaka K, Alarcón-Gómez J, Martín-Rivera F. Validity and Reliability of Inertial Measurement System for Linear Movement Velocity in Flywheel Squat Exercise. Sensors. 2023; 23(4):2193. https://doi.org/10.3390/s23042193
Chicago/Turabian StyleMaroto-Izquierdo, Sergio, Kazunori Nosaka, Jesús Alarcón-Gómez, and Fernando Martín-Rivera. 2023. "Validity and Reliability of Inertial Measurement System for Linear Movement Velocity in Flywheel Squat Exercise" Sensors 23, no. 4: 2193. https://doi.org/10.3390/s23042193
APA StyleMaroto-Izquierdo, S., Nosaka, K., Alarcón-Gómez, J., & Martín-Rivera, F. (2023). Validity and Reliability of Inertial Measurement System for Linear Movement Velocity in Flywheel Squat Exercise. Sensors, 23(4), 2193. https://doi.org/10.3390/s23042193
 
         
                                                


 
       