A Quick Simulation Method for Aero-Optical Effects Based on a Density Proxy Model
Abstract
:1. Introduction
2. Design of Density Proxy Model
2.1. Continuous Density Model of Ellipsoidal Vortex
2.2. Location and Scale Model of Ellipsoidal Vortex
2.3. Motion Model of Ellipsoidal Vortex
3. Calibration of Control Parameters in Density Proxy Model
3.1. Density and Scale Control Parameter Constraints
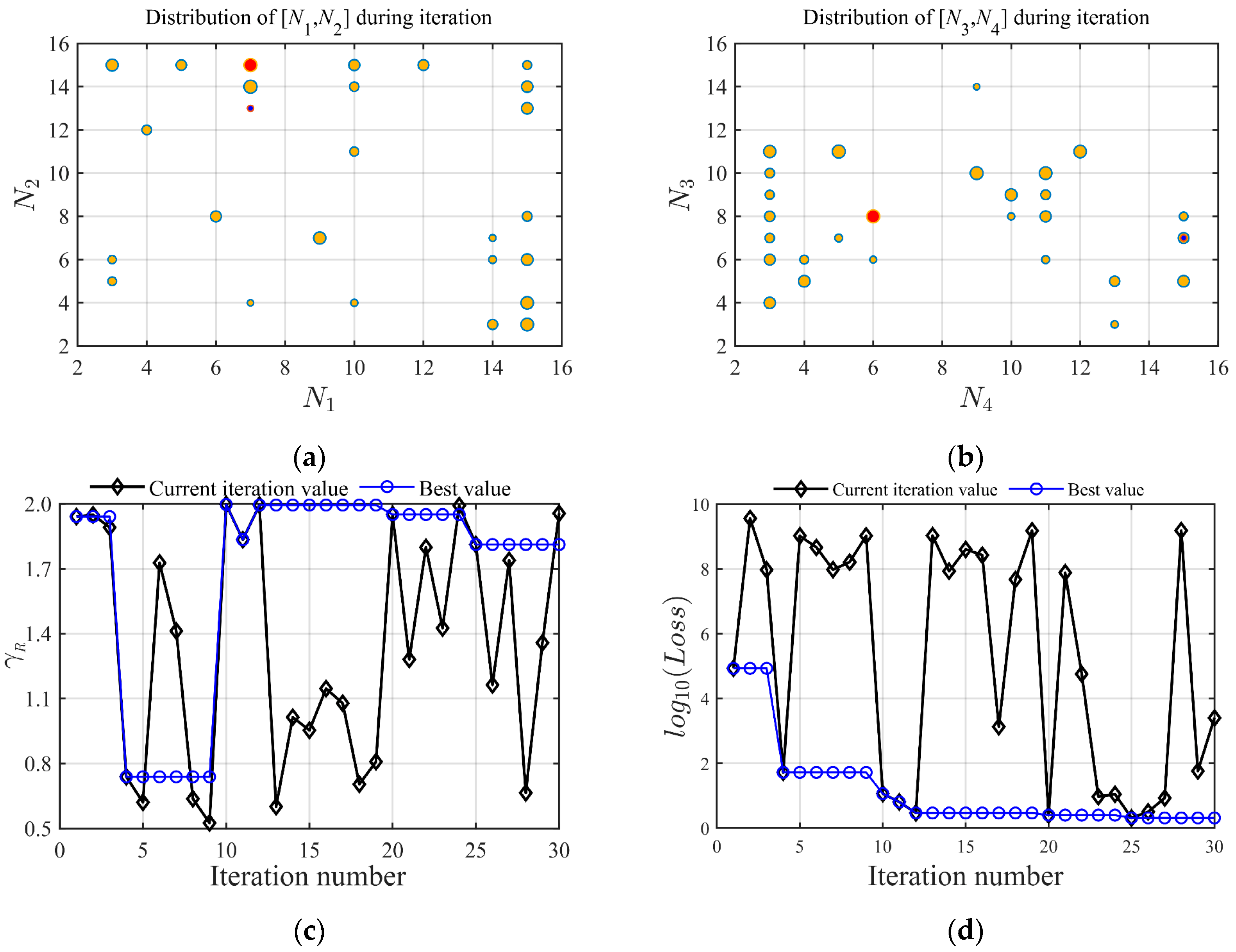
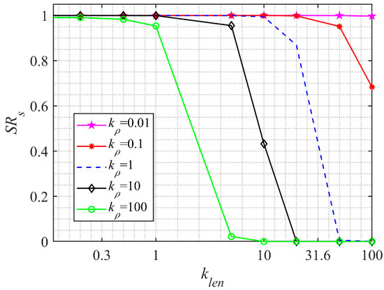
3.2. Calibration of Density and Scale Control Parameters
4. Simulation and Analysis
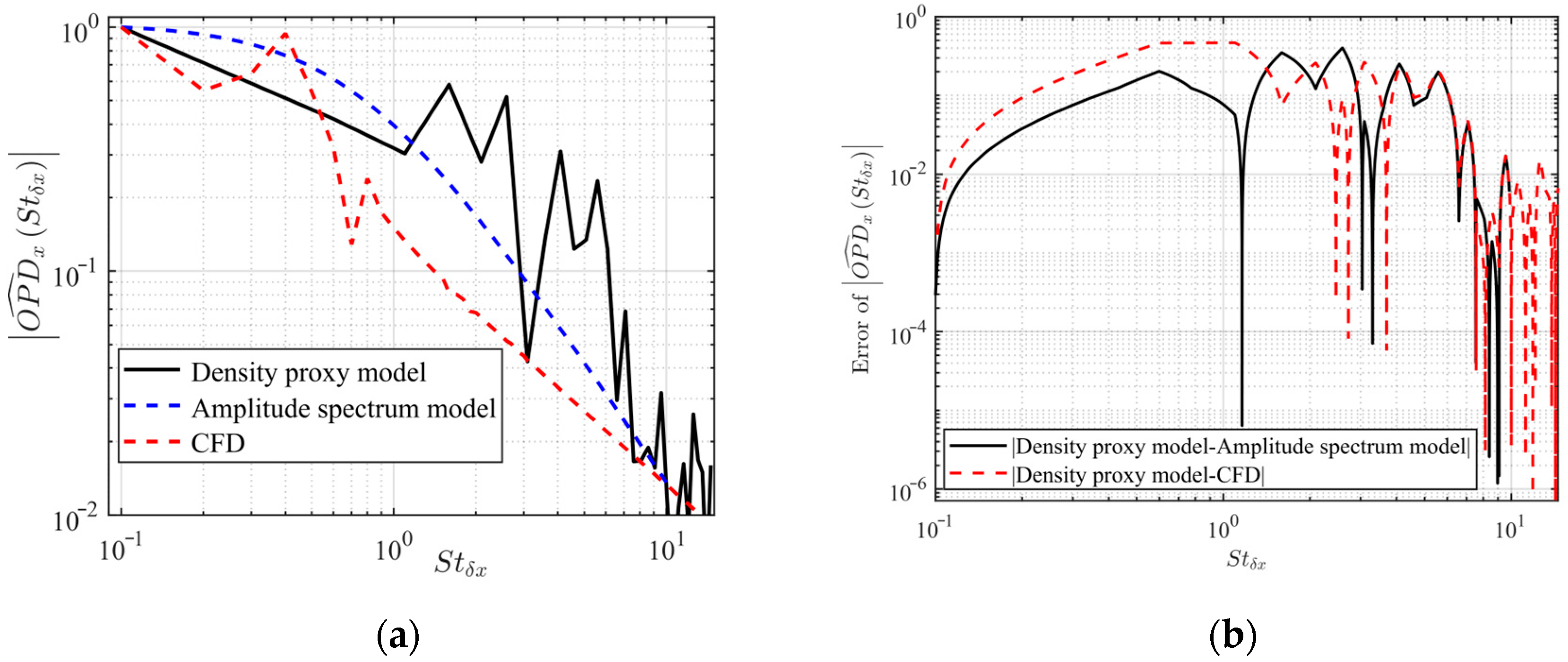
4.1. Verification of Optical Characteristics of Density Proxy Model
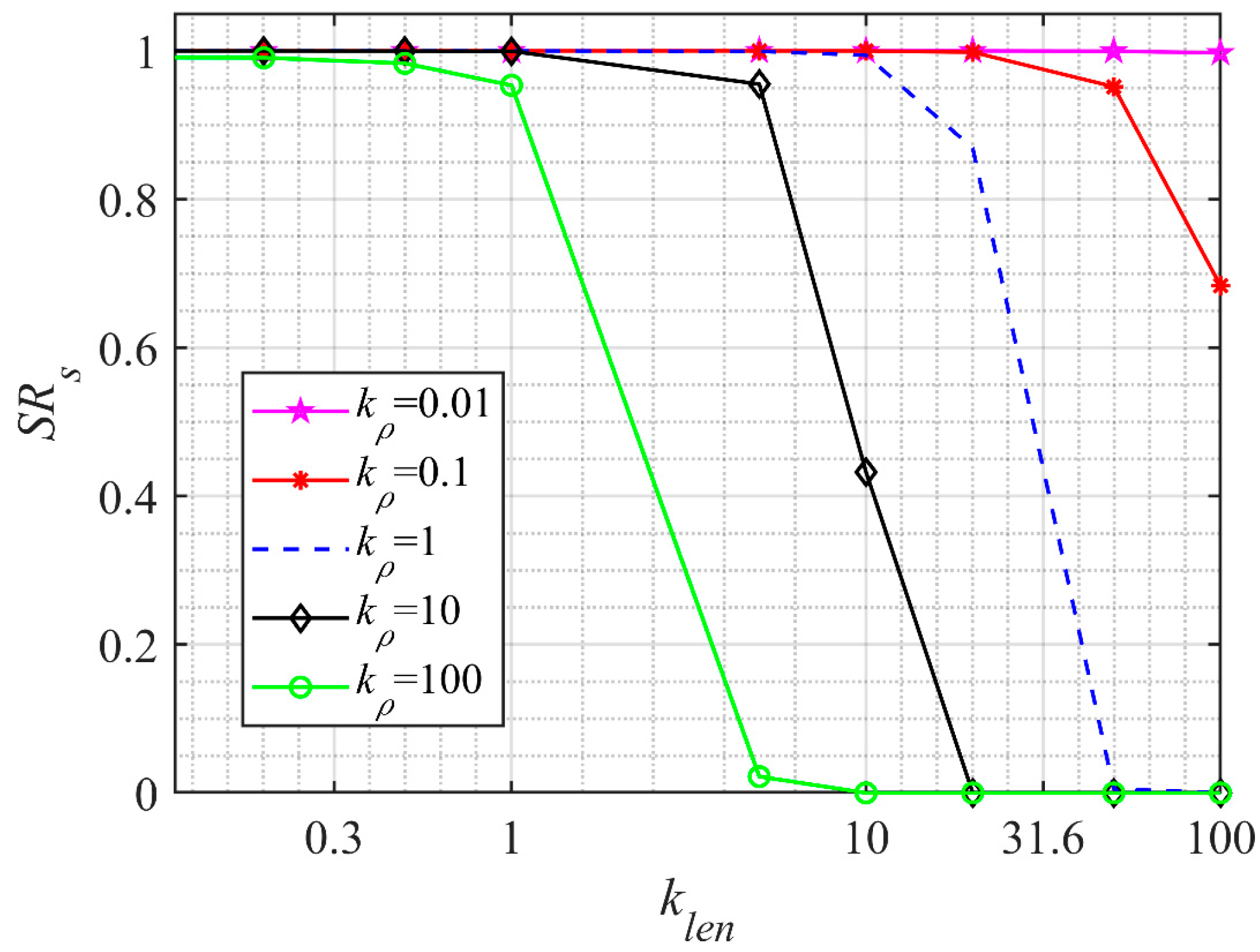
4.2. Monte Carlo Simulation under Different Working Conditions
4.3. Simulation of Distorted Star Maps
5. Conclusions
Author Contributions
Funding
Institutional Review Board Statement
Informed Consent Statement
Data Availability Statement
Acknowledgments
Conflicts of Interest
Abbreviations
| Density of the large-scale vortex structure. | |
| Internal density of the ellipsoidal vortex model. | |
| Cylindrical coordinates under the vortex coordinate system. | |
| Incoming flow density under the current conditions. | |
| Maximum spatial fluctuation of the density inside the ellipsoidal vortex. | |
| Major axis length of the ellipsoidal vortex. | |
| Control parameter of the ellipsoidal vortex density. | |
| Lower limit of . | |
| Upper limit of . | |
| Mach number influence factor. | |
| Average flow velocity distribution. | |
| Flow velocity at the height . | |
| Incoming flow velocity. | |
| Probability of arranging an ellipsoidal vortex at wall height . | |
| Wall height with the maximum probability of placing ellipsoidal vortex. | |
| Total number of ellipsoidal vortices in the simulation domain. | |
| Wall height of the smallest ellipsoidal vortex. | |
| Major axis length of the ellipsoidal vortex. | |
| Minimum value of . | |
| Control parameter of the gas-ellipsoidal scale. | |
| Lower limit of . | |
| Upper limit of . | |
| Traveling wave disturbance characteristic function. | |
| The -th order disturbance flow beam. | |
| The -th order disturbance spread beam. | |
| The -th order disturbance frequency. | |
| The -th order mode phase. | |
| Imaginary unit. | |
| Complex conjugate. | |
| Strehl ratio (SR) of the density proxy model. | |
| Mean square value of OPD. | |
| Wall friction coefficient of the TBL of the flat plate. | |
| Reynolds number. | |
| Flight altitude. | |
| Power function coefficient matrix. | |
| The highest order term of the power function. | |
| Coefficient vector of the power function. | |
| Trust coefficient which is used to change the range of control parameters. | |
| Loss function. | |
| Total number of iterations in the optimization. | |
| Penalty function of the total number of iterations. | |
| Penalty coefficient. |
References
- Quagliarella, D.; Pezzella, G.; Pirozzoli, S. An aerothermodynamic design optimization framework for hypersonic vehicles. Aerosp. Sci. Technol. 2019, 84, 339–347. [Google Scholar]
- Gruhn, P.; Gülhan, A. Aerodynamic measurements of an air-breathing hypersonic vehicle at Mach 3.5 to 8. AIAA J. 2018, 56, 4282–4296. [Google Scholar] [CrossRef]
- Yu, Y.J.; Xu, J.F.; Xiong, Z. SINS/CNS nonlinear integrated navigation algorithm for hypersonic vehicle. Math. Probl. Eng. 2015, 2015, 903054. [Google Scholar] [CrossRef]
- Bingbing, G.; Wenmin, L.; Gaoge, H.; Zhong, Y.; Xinhe, Z. Mahalanobis distance-based fading cubature Kalman filter with augmented mechanism for hypersonic vehicle INS/CNS autonomous integration. Chin. J. Aeronaut. 2022, 35, 114–128. [Google Scholar]
- Sun, X.; Yang, X.; Liu, W. Validation method of aero-optical effect simulation for supersonic turbulent boundary layer. AIAA J. 2021, 59, 410–416. [Google Scholar] [CrossRef]
- Mathews, E.; Wang, K.; Wang, M.; Jumper, E.J. Turbulence scale effects and resolution requirements in aero-optics. Appl. Opt. 2021, 60, 4426–4433. [Google Scholar] [CrossRef]
- Jumper, E.; Gordeyev, S. Physics and measurement of aero-optical effects: Past and present. Annu. Rev. Fluid Mech. 2017, 49, 419–441. [Google Scholar] [CrossRef]
- Wang, K.; Wang, M. Computational analysis of aero-optical distortions by flow over a cylindrical turret. AIAA J. 2016, 54, 1461–1471. [Google Scholar] [CrossRef]
- Emelyanov, V.; Teterina, I.; Volkov, K.; Yakovchuk, M. Aero-optical effects in free and wall-bounded turbulent compressible flows. Acta Astronaut. 2018, 150, 144–152. [Google Scholar] [CrossRef]
- Ding, H.; Yi, S.; Ouyang, T.; Shi, Y.; He, L. Influence of turbulence structure with different scale on aero-optics induced by supersonic turbulent boundary layer. Optik 2020, 202, 163565. [Google Scholar] [CrossRef]
- Zhang, D.; Tan, J.; Yao, X. Direct numerical simulation of spatially developing highly compressible mixing layer: Structural evolution and turbulent statistics. Phys. Fluids 2019, 31, 036102. [Google Scholar] [CrossRef]
- Zhang, B.; Liu, H.; Jin, S. An asymptotic preserving Monte Carlo method for the multispecies Boltzmann equation. J. Comput. Phys. 2016, 305, 575–588. [Google Scholar] [CrossRef]
- Wu, M.; Martin, M. Direct numerical simulation of supersonic turbulent boundary layer over a compression ramp. AIAA J. 2007, 45, 879–889. [Google Scholar] [CrossRef]
- Wang, K.; Wang, M. Aero-optics of subsonic turbulent boundary layers. J. Fluid Mech. 2012, 696, 122–151. [Google Scholar] [CrossRef]
- Gordeyev, S.; Jumper, E. Fluid dynamics and aero-optics of turrets. Prog. Aerosp. Sci. 2010, 46, 388–400. [Google Scholar] [CrossRef]
- Rennie, R.; Nguyen, M.; Gordeyev, S.; Jumper, E.; Cain, A.; Hayden, T. Wave-front measurements of a supersonic boundary layer using laser induced breakdown. AIAA J. 2017, 55, 2349–2357. [Google Scholar] [CrossRef]
- Tromeur, E.; Garnier, E.; Sagaut, P. Large-eddy simulation of aero-optical effects in a spatially developing turbulent boundary layer. J. Turbul. 2006, 7, N1. [Google Scholar] [CrossRef]
- Saxton-Fox, T.; McKeon, B.J.; Gordeyev, S. Effect of coherent structures on aero-optic distortion in a turbulent boundary layer. AIAA J. 2019, 57, 2828–2839. [Google Scholar] [CrossRef]
- Yang, B.; Yu, H.; Liu, C.; Wei, X.; Fan, Z.; Miao, J. A New Method for Analyzing the Aero-Optical Effects of Hypersonic Vehicles Based on a Microscopic Mechanism. Aerospace 2022, 9, 618. [Google Scholar] [CrossRef]
- Pirozzoli, S.; Bernardini, M.; Grasso, F. Characterization of coherent vortical structures in a supersonic turbulent boundary layer. J. Fluid Mech. 2008, 613, 205–231. [Google Scholar] [CrossRef]
- De Vanna, F.; Baldan, G.; Picano, F.; Benini, E. Effect of convective schemes in wall-resolved and wall-modeled LES of compressible wall turbulence. Comput. Fluids 2023, 250, 105710. [Google Scholar] [CrossRef]
- Sutton, G.W. Aero-optical foundations and applications. AIAA J. 1985, 23, 1525–1537. [Google Scholar] [CrossRef]
- Sutton, G.W. Effect of turbulent fluctuations in an optically active fluid medium. AIAA J. 1969, 7, 1737–1743. [Google Scholar] [CrossRef]
- Spina, E.; Smits, A.; Robinson, S. The Physics of supersonic turbulent boundary layers. Annu. Rev. Fluid Mech. 1994, 26, 287–319. [Google Scholar] [CrossRef]
- Gordeyev, S.; Smith, A.; Cress, J.; Jumper, E. Experimental studies of aero-optical properties of subsonic turbulent boundary layers. J. Fluid Mech. 2014, 740, 214–253. [Google Scholar] [CrossRef]
- Wyckham, C.; Smits, A. Aero-optic distortion in transonic and hypersonic turbulent boundary layers. AIAA J. 2009, 47, 2158–2168. [Google Scholar] [CrossRef]
- Bo, Y.; Zichen, F.; He, Y. Aero-optical effects simulation technique for starlight transmission in boundary layer under high-speed conditions. Chin. J. Aeronaut. 2020, 33, 1929–1941. [Google Scholar]
- Gao, Q.; Yi, S.; Jiang, Z.; He, L.; Wang, X. Structure of the refractive index distribution of the supersonic turbulent boundary layer. Opt. Lasers Eng. 2013, 51, 1113–1119. [Google Scholar] [CrossRef]
- Trolinger, J.; Rose, W. Technique for simulating and evaluating aero-optical effects in optical systems. In Proceedings of the 42nd AIAA Aerospace Sciences Meeting and Exhibit, Reno, NV, USA, 5–8 January 2004; pp. 471–481. [Google Scholar]
- Mack, L. Boundary-Layer Linear Stability Theory; Jet Propulsion Lab: Pasadena, CA, USA, 1969. [Google Scholar]
- Hoffman, M.; Shahriari, B. Modular Mechanisms for Bayesian Optimization. In NIPS Workshop Bayesian Optim. 2014, pp. 1–5. Available online: https://bayesopt.github.io/papers/2014/paper8.pdf (accessed on 9 December 2022).
- Zhang, B.; He, L.; Yi, S.; Ding, H. Multi-resolution analysis of aero-optical effects in a supersonic turbulent boundary layer. Appl. Opt. 2021, 60, 2242–2251. [Google Scholar] [CrossRef]












| Center Gray Value of Star A | Center Gray Value of Star B | |||
|---|---|---|---|---|
| 5 | 143 | 83 | 0.0621 | 0.0645 |
| 10 | 222 | 127 | 0.8613 | 0.8650 |
Disclaimer/Publisher’s Note: The statements, opinions and data contained in all publications are solely those of the individual author(s) and contributor(s) and not of MDPI and/or the editor(s). MDPI and/or the editor(s) disclaim responsibility for any injury to people or property resulting from any ideas, methods, instructions or products referred to in the content. |
© 2023 by the authors. Licensee MDPI, Basel, Switzerland. This article is an open access article distributed under the terms and conditions of the Creative Commons Attribution (CC BY) license (https://creativecommons.org/licenses/by/4.0/).
Share and Cite
Yang, B.; Yu, H.; Liu, C.; Wei, X.; Fan, Z.; Miao, J. A Quick Simulation Method for Aero-Optical Effects Based on a Density Proxy Model. Sensors 2023, 23, 1646. https://doi.org/10.3390/s23031646
Yang B, Yu H, Liu C, Wei X, Fan Z, Miao J. A Quick Simulation Method for Aero-Optical Effects Based on a Density Proxy Model. Sensors. 2023; 23(3):1646. https://doi.org/10.3390/s23031646
Chicago/Turabian StyleYang, Bo, He Yu, Chaofan Liu, Xiang Wei, Zichen Fan, and Jun Miao. 2023. "A Quick Simulation Method for Aero-Optical Effects Based on a Density Proxy Model" Sensors 23, no. 3: 1646. https://doi.org/10.3390/s23031646
APA StyleYang, B., Yu, H., Liu, C., Wei, X., Fan, Z., & Miao, J. (2023). A Quick Simulation Method for Aero-Optical Effects Based on a Density Proxy Model. Sensors, 23(3), 1646. https://doi.org/10.3390/s23031646

