Short-Term Creep Effect on Strain Transfer from Fiber-Reinforced Polymer Strips to Fiber Bragg Grating-Optical Fiber Sensors
Abstract
:1. Introduction
2. Experimental Program
2.1. Materials
2.2. Test Parameters
2.3. Fabrication of FBG-FRP Specimens
2.4. Short-Term Creep Test
3. Test Results
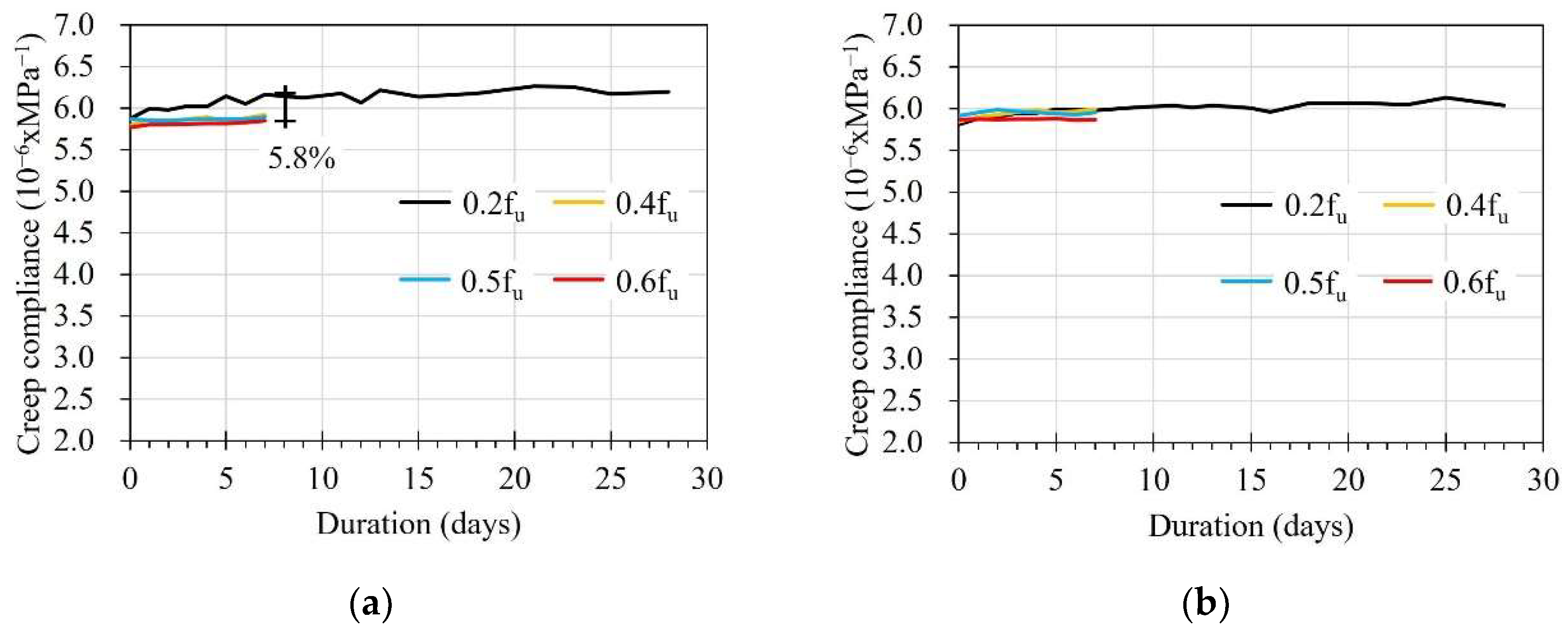
3.1. Creep Effect on the FRP Strip
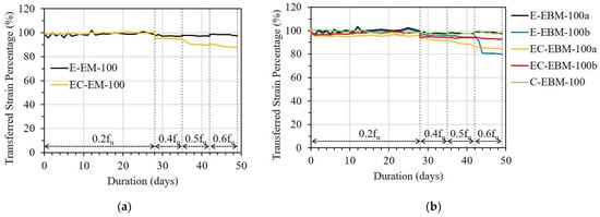
3.2. Short-Term Creep Effect on the Sensing Capacity of the OF Sensor
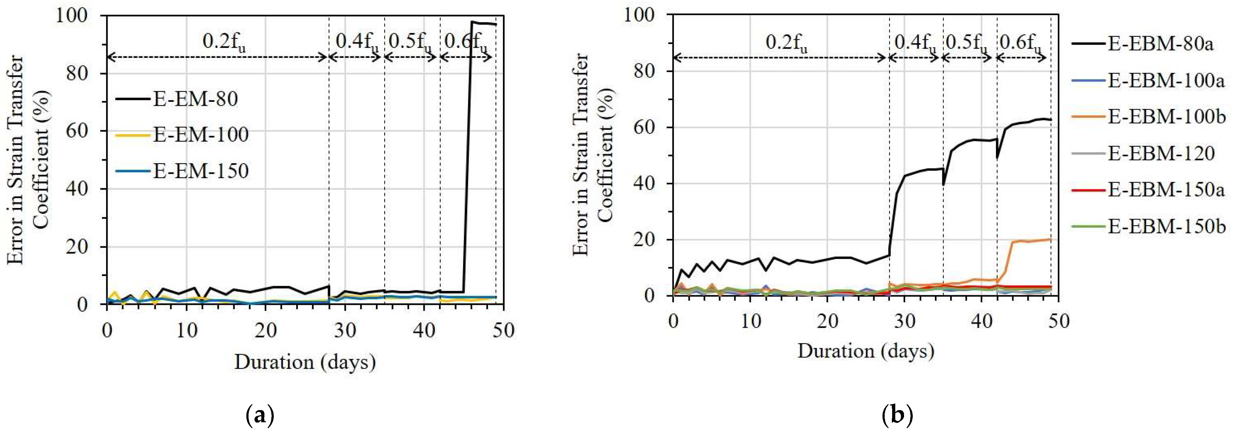
3.2.1. Influence of Bonding Methods
3.2.2. Influence of Bond Lengths
3.2.3. Influence of Different Types of Adhesives
3.2.4. Scanning Electron Microscope
4. Conclusions
- (1)
- According to previous studies regarding the FBG-OF sensor bonded by epoxy resin, it was found that a bond length of 40 mm was sufficient to control the shear lag effect for simple tensile loading. However, under short-term creep conditions to high sustained stress, such as 60% of the ultimate strength of the FRP strip, to maintain a strain carrying capacity of more than 95%, minimum bond lengths of 100 mm and 120 mm are required for the embedded and external bonding methods, respectively.
- (2)
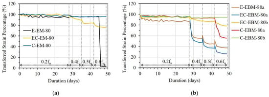
- Regarding the OF sensor bonded with epoxy resin, when the bonding length was 80 mm or less, the strain transferred from the FRP strip to the OF sensor can be greatly reduced, even at stress levels of 40% of the ultimate strength of the FRP strip. This is due to adhesion damage at the interface between the secondary coating of the OF sensor and the adhesive; this phenomenon can be observed at the early stage of the loading duration.
- (3)
- The OF sensor bonded with CN adhesive had better ability in strain transfer compared with the other adhesive types with the same bond length. In particular, in the case of the embedded method with a bond length of 80 mm, more than 95% of the TSP can be obtained at a stress level of 60% of the ultimate strength of the FRP strip.
- (4)
- Regarding the OF sensor bonded with epoxy resin combined with CN adhesive, it is not recommended due to incompatibility in the mechanical properties.
- (5)
- Sustained stress can cause additional creep deformation of FRP strips, even at low stress levels. Furthermore, it is recommended that an additional strain increase of at least 5% be considered due to creep effect when the FRP strip is exposed to conditions of sustained tensile stress.
Author Contributions
Funding
Institutional Review Board Statement
Informed Consent Statement
Data Availability Statement
Conflicts of Interest
Abbreviations and Acronyms
| CN | Cyanoacrylate |
| DFOS | Distributed fiber optic sensors |
| EB | Externally bonded |
| EBM | External bonding method |
| EM | Embedded method |
| ESG | Electrical strain gauge |
| ESTC | Error in strain transfer coefficient |
| FBG | Fiber Bragg grating |
| FRP | Fiber-reinforced polymer |
| NSM | Near surface-mounted |
| OF | Optical fiber |
| PMMA | Polymethyl methacrylate |
| RC | Reinforced concrete |
| SEM | Scanning electron microscope |
| SHM | Structural health monitoring |
| STCE | Short-term creep effect |
| TSP | Transferred strain percentage |
| A | Additional |
| C | CN adhesive |
| E | Epoxy resin |
| EC | Epoxy resin and CN adhesive |
References
- Teng, J.G.; Chen, J.F.; Yu, T. FRP-Strengthened RC Structures; Wiley: Hoboken, NJ, USA, 2002. [Google Scholar]
- De Lorenzis, L.; Teng, J.-G. Near-surface mounted FRP reinforcement: An emerging technique for strengthening structures. Compos. Part B Eng. 2007, 38, 119–143. [Google Scholar] [CrossRef]
- Seo, S.-Y.; Feo, L.; Hui, D. Bond strength of near surface-mounted FRP plate for retrofit of concrete structures. Compos. Struct. 2013, 95, 719–727. [Google Scholar] [CrossRef]
- Seo, S.-Y.; Choi, K.-B.; Kwon, Y.-S.; Lee, K.-S. Flexural Strength of RC Beam Strengthened by Partially De-bonded Near Surface-Mounted FRP Strip. Int. J. Concr. Struct. Mater. 2016, 10, 149–161. [Google Scholar] [CrossRef]
- Seo, S.-Y.; Lee, M.S.; Feo, L. Flexural analysis of RC beam strengthened by partially de-bonded NSM FRP strip. Compos. Part B Eng. 2016, 101, 21–30. [Google Scholar] [CrossRef]
- Feng, C.-W.; Keong, C.-W.; Hsueh, Y.-P.; Wang, Y.-Y.; Sue, H. Modeling of long-term creep behavior of structural epoxy adhesives. Int. J. Adhes. Adhes. 2005, 25, 427–436. [Google Scholar] [CrossRef]
- Fernando, G.F.; Hameed, A.; Winter, D.; Tetlow, J.; Leng, J.; Barnes, R.; Mays, G.; Kister, G. Structural Integrity Monitoring of Concrete Structures via Optical Fiber Sensors: Sensor Protection Systems. Struct. Health Monit. 2003, 2, 123–135. [Google Scholar] [CrossRef]
- Moyo, P.; Brownjohn, J.; Suresh, R.; Tjin, S. Development of fiber Bragg grating sensors for monitoring civil infrastructure. Eng. Struct. 2005, 27, 1828–1834. [Google Scholar] [CrossRef]
- Sahota, J.; Gupta, N.; Dhawan, D. Fiber Bragg grating sensors for monitoring of physical parameters: A comprehensive review. Opt. Eng. 2020, 59, 060901. [Google Scholar] [CrossRef]
- Hill, K.O.; Fujii, Y.; Johnson, D.C.; Kawasaki, B.S. Photosensitivity in optical fiber waveguides: Application to reflection filter fabrication. Appl. Phys. Lett. 1978, 32, 647–649. [Google Scholar] [CrossRef]
- Meltz, G.; Morey, W.W.; Glenn, W.H. Formation of Bragg gratings in optical fibers by a transverse holographic method. Opt. Lett. 1989, 14, 823–825. [Google Scholar] [CrossRef]
- Ansari, F. State-of-the-art in the applications of fiber-optic sensors to cementitious composites. Cem. Concr. Compos. 1997, 19, 3–19. [Google Scholar] [CrossRef]
- López-Higuera, J.M.; Cobo, L.R.; Incera, A.Q.; Cobo, A. Fiber Optic Sensors in Structural Health Monitoring. J. Light. Technol. 2011, 29, 587–608. [Google Scholar] [CrossRef]
- Majumder, M.; Gangopadhyay, T.K.; Chakraborty, A.K.; Dasgupta, K.; Bhattacharya, D. Fibre Bragg gratings in structural health monitoring—Present status and applications. Sens. Actuators A Phys. 2008, 147, 150–164. [Google Scholar] [CrossRef]
- Zhang, Z.; Ansari, F. Crack tip opening displacement in micro-cracked concrete by an embedded optical fiber sensor. Eng. Fract. Mech. 2005, 72, 2505–2518. [Google Scholar] [CrossRef]
- Zhang, Z.; Ansari, F. Fiber-optic laser speckle-intensity crack sensor for embedment in concrete. Sens. Actuators A Phys. 2006, 126, 107–111. [Google Scholar] [CrossRef]
- Gu, X.; Chen, Z.; Ansari, F. Embedded fiber optic crack sensor for reinforced concrete structures. Struct. J. 2000, 97, 468–476. [Google Scholar]
- Zhao, Y.; Ansari, F. Embedded fiber optic sensor for characterization of interface strains in FRP composite. Sens. Actuators A Phys. 2002, 100, 247–251. [Google Scholar] [CrossRef]
- Siwowski, T.; Rajchel, M.; Howiacki, T.; Sieńko, R.; Bednarski, Ł. Distributed fibre optic sensors in FRP composite bridge monitoring: Validation through proof load tests. Eng. Struct. 2021, 246, 113057. [Google Scholar] [CrossRef]
- Woods, J.E.; Lau, D.T.; Bao, X.; Li, W. Measuring strain fields in FRP strengthened RC shear walls using a distributed fiber optic sensor. Eng. Struct. 2017, 152, 359–369. [Google Scholar] [CrossRef]
- Wang, B.; Teng, J.; De Lorenzis, L.; Zhou, L.-M.; Ou, J.; Jin, W.; Lau, K. Strain monitoring of RC members strengthened with smart NSM FRP bars. Constr. Build. Mater. 2009, 23, 1698–1711. [Google Scholar] [CrossRef]
- Seo, S.-Y.; Park, J.-H.; Yun, H.-D.; Kim, K.-S.; Lee, G.-C.; Hong, S. Strain Transfer of Fiber Bragg Grating Sensor Externally Bonded to FRP Strip for Structural Monitoring after Reinforcement. Materials 2021, 14, 4382. [Google Scholar] [CrossRef] [PubMed]
- Seo, S.-Y.; Park, J.-H.; Yun, H.-D.; Kim, K.-S. Installation Technique of Fiber Optic Sensor into FRP Used as NSM Structural Strengthening System. Sustainability 2020, 12, 8501. [Google Scholar] [CrossRef]
- Tam, L.-H.; Jiang, J.; Yu, Z.; Orr, J.; Wu, C. Molecular dynamics investigation on the interfacial shear creep between carbon fiber and epoxy matrix. Appl. Surf. Sci. 2021, 537, 148013. [Google Scholar] [CrossRef]
- ASTM D3039/DM 3039; Standard Test Method for Tensile Properties of Polymer Matrix Composite Materials. ASTM International: West Conshohocken, PA, USA, 2008.
- Motwani, P.; Perogamvros, N.; Taylor, S.; Sonebi, M.; Laskar, A.; Murphy, A. Experimental investigation of strain sensitivity for surface bonded fibre optic sensors. Sens. Actuators A Phys. 2020, 303, 111833. [Google Scholar] [CrossRef]
- ACI Committee. State-of-the-Art Report on Fiber Reinforced Plastic (FRP) Reinforcement for Concrete Structures; ACI Committee 440; American Concrete Institute: Farmington Hills, MI, USA, 1996. [Google Scholar]
- Werneck, M.M.; Allil, R.C.S.B.; Ribeiro, B.A.; de Nazaré, F.V.B. A Guide to Fiber Bragg Grating Sensors: Current Trends in Short-and Long-Period Fiber Gratings; INTECH: Vienna, Austria, 2013. [Google Scholar]
- Ansari, F.; Libo, Y. Mechanics of Bond and Interface Shear Transfer in Optical Fiber Sensors. J. Eng. Mech. 1998, 124, 385–394. [Google Scholar] [CrossRef]





















| Type | Thickness (mm) | Width (mm) | Tensile Strength (MPa) | Elastic Module (MPa) |
|---|---|---|---|---|
| SK-CPS-0512 (CFRP strip) | 1.2 | 15 | 1813 | 183,000 |
| Type | Compressive Strength (MPa) | Shear Bond Strength (MPa) | Bond Strength to Concrete (MPa) |
|---|---|---|---|
| SK-CPA10 | 90 | 10 | 1.5 |
| Specimen Name | Name of FBG-OF Sensor | Bond Methods | Adhesive Types | Bond Length (mm) |
|---|---|---|---|---|
| E specimen | E-EBM-80a | External bond | Epoxy resin | 80 |
| E-EBM-80b (1) | 80 | |||
| E-EBM-100a | 100 | |||
| E-EBM-100b | 100 | |||
| E-EBM-150a | 150 | |||
| E-EBM-150b | 150 | |||
| E-EM-80 | Embedded bond | 80 | ||
| E-EM-100 | 100 | |||
| E-EM-150 | 150 | |||
| EC specimen | EC-EBM-80a | External bond | Epoxy resin and CN adhesive | 80 |
| EC-EBM-80b | 80 | |||
| EC-EBM-100a | 100 | |||
| EC-EBM-100b | 100 | |||
| EC-EBM-150a | 150 | |||
| EC-EBM-150b | 150 | |||
| EC-EM-80 | Embedded bond | 80 | ||
| EC-EM-100 | 100 | |||
| EC-EM-150 | 150 | |||
| C specimen | C-EBM-40a | External bond | CN adhesive | 40 |
| C-EBM-40b | 40 | |||
| C-EBM-60a | 60 | |||
| C-EBM-60b | 60 | |||
| C-EBM-80a | 80 | |||
| C-EBM-80b | 80 | |||
| C-EM-40 | Embedded bond | 40 | ||
| C-EM-60 | 60 | |||
| C-EM-80 | 80 | |||
| A specimen | E-EBM-120 | External bond | Epoxy resin | 120 |
| EC-EBM-120 (1) | Epoxy resin and CN adhesive | 120 | ||
| C-EBM-100 | CN adhesive | 100 |
| Applied Stress | Creep Compliances (10−6 × MPa−1) | COV (%) | Jc,end/Jc,start (%) | |||||||||
|---|---|---|---|---|---|---|---|---|---|---|---|---|
| Specimen Name | ESG-1 | ESG-2 | ESG-3 | Average | ||||||||
| Start (1) | End (2) | Start | End | Start | End | Start | End | Start | End | |||
| 0.2fu | E specimen | 5.85 | 6.48 | 5.70 | 5.84 | 6.08 | 6.26 | 5.88 | 6.19 | 3.27 | 5.26 | 105.27 |
| EC specimen | 5.73 | 6.22 | 5.88 | 6.05 | 5.82 | 6.07 | 5.81 | 6.11 | 1.29 | 1.50 | 105.16 | |
| C specimen | 5.82 | 6.33 | 5.65 | 5.81 | 5.73 | 5.91 | 5.73 | 6.02 | 1.46 | 4.59 | 105.06 | |
| 0.4fu | E specimen | 5.87 | 5.97 | 5.68 | 5.77 | 5.84 | 6.01 | 5.80 | 5.92 | 1.77 | 2.18 | 102.07 |
| EC specimen | 5.88 | 6.08 | 5.92 | 6.02 | 5.74 | 5.89 | 5.84 | 6.00 | 1.65 | 1.58 | 102.74 | |
| C specimen | 5.79 | 5.95 | 5.77 | 5.80 | 5.72 | 5.94 | 5.76 | 5.90 | 0.67 | 1.38 | 102.43 | |
| 0.5fu | E specimen | 5.91 | 5.96 | 5.72 | 5.75 | 5.97 | 5.97 | 5.87 | 5.89 | 2.27 | 2.17 | 100.34 |
| EC specimen | 5.96 | 5.99 | 5.93 | 5.95 | 5.84 | 5.91 | 5.91 | 5.95 | 1.05 | 0.71 | 100.68 | |
| C specimen | 5.79 | 5.86 | 5.78 | 5.91 | 5.71 | 5.82 | 5.76 | 5.86 | 0.76 | 0.77 | 101.74 | |
| 0.6fu | E specimen | 5.86 | 5.87 | 5.59 | 5.74 | 5.85 | 5.94 | 5.77 | 5.85 | 2.66 | 1.74 | 101.39 |
| EC specimen | 5.91 | 5.94 | 5.77 | 5.92 | 5.83 | 5.95 | 5.84 | 5.93 | 1.23 | 0.29 | 101.54 | |
| C specimen | 5.83 | 6.09 | 5.84 | 5.91 | 5.87 | 5.90 | 5.85 | 5.97 | 0.41 | 1.80 | 102.05 | |
| Specimen Name | Name of FBG-OF Sensor | Transferred Strain Percentage at Stress Level of (%) | |||||||
|---|---|---|---|---|---|---|---|---|---|
| 0.2fu | 0.4fu | 0.5fu | 0.6fu | ||||||
| Start (1) | End (2) | Start | End | Start | End | Start | End | ||
| E specimen | E-EBM-80a | 99 | 86 | 83 | 55 | 61 | 44 | 51 | 37 |
| E-EBM-80b (3) | - | - | - | - | - | - | - | - | |
| E-EBM-100a | 99 | 100 | 97 | 98 | 98 | 98 | 99 | 98 | |
| E-EBM-100b | 98 | 99 | 96 | 96 | 96 | 94 | 95 | 80 | |
| E-EBM-150a | 99 | 99 | 98 | 97 | 96 | 97 | 96 | 97 | |
| E-EBM-150b | 98 | 98 | 97 | 97 | 97 | 97 | 97 | 98 | |
| E-EM-80 | 100 | 94 | 98 | 95 | 96 | 95 | 96 | 3 | |
| E-EM-100 | 99 | 99 | 98 | 97 | 98 | 97 | 99 | 98 | |
| E-EM-150 | 98 | 99 | 98 | 98 | 97 | 97 | 97 | 97 | |
| EC specimen | EC-EBM-80a | 99 | 96 | 92 | 47 | 55 | 37 | 42 | 26 |
| EC-EBM-80b | 98 | 95 | 90 | 87 | 89 | 86 | 86 | 78 | |
| EC-EBM-100a | 98 | 96 | 94 | 91 | 92 | 86 | 86 | 85 | |
| EC-EBM-100b | 99 | 99 | 94 | 94 | 94 | 94 | 94 | 93 | |
| EC-EBM-150a | 99 | 100 | 100 | 99 | 99 | 99 | 97 | 98 | |
| EC-EBM-150b | 100 | 100 | 99 | 99 | 98 | 97 | 97 | 97 | |
| EC-EM-80 | 100 | 99 | 95 | 90 | 91 | 84 | 84 | 76 | |
| EC-EM-100 | 99 | 100 | 95 | 95 | 95 | 90 | 90 | 88 | |
| EC-EM-150 | 100 | 100 | 99 | 98 | 98 | 96 | 98 | 0 | |
| C specimen | C-EBM-40a | 97 | 69 | 69 | 58 | 60 | 53 | 57 | 45 |
| C-EBM-40b | 97 | 79 | 80 | 78 | 81 | 74 | 62 | 51 | |
| C-EBM-60a | 99 | 96 | 96 | 92 | 93 | 92 | 91 | 90 | |
| C-EBM-60b | 99 | 93 | 94 | 91 | 91 | 91 | 90 | 90 | |
| C-EBM-80a | 98 | 96 | 96 | 93 | 93 | 93 | 92 | 55 | |
| C-EBM-80b | 99 | 96 | 97 | 93 | 94 | 94 | 94 | 94 | |
| C-EM-40 | 97 | 60 | 60 | 56 | 61 | 44 | 50 | 36 | |
| C-EM-60 | 100 | 99 | 100 | 96 | 97 | 93 | 92 | 91 | |
| C-EM-80 | 100 | 98 | 99 | 96 | 96 | 96 | 96 | 96 | |
| A specimen | E-EBM-120 | 98 | 99 | 98 | 98 | 97 | 97 | 98 | 98 |
| EC-EBM-120 (3) | - | - | - | - | - | - | - | - | |
| C-EBM-100 | 100 | 98 | 99 | 97 | 98 | 96 | 98 | 97 | |
Disclaimer/Publisher’s Note: The statements, opinions and data contained in all publications are solely those of the individual author(s) and contributor(s) and not of MDPI and/or the editor(s). MDPI and/or the editor(s) disclaim responsibility for any injury to people or property resulting from any ideas, methods, instructions or products referred to in the content. |
© 2023 by the authors. Licensee MDPI, Basel, Switzerland. This article is an open access article distributed under the terms and conditions of the Creative Commons Attribution (CC BY) license (https://creativecommons.org/licenses/by/4.0/).
Share and Cite
Tran, H.V.; Seo, S.-Y. Short-Term Creep Effect on Strain Transfer from Fiber-Reinforced Polymer Strips to Fiber Bragg Grating-Optical Fiber Sensors. Sensors 2023, 23, 1628. https://doi.org/10.3390/s23031628
Tran HV, Seo S-Y. Short-Term Creep Effect on Strain Transfer from Fiber-Reinforced Polymer Strips to Fiber Bragg Grating-Optical Fiber Sensors. Sensors. 2023; 23(3):1628. https://doi.org/10.3390/s23031628
Chicago/Turabian StyleTran, Hai Van, and Soo-Yeon Seo. 2023. "Short-Term Creep Effect on Strain Transfer from Fiber-Reinforced Polymer Strips to Fiber Bragg Grating-Optical Fiber Sensors" Sensors 23, no. 3: 1628. https://doi.org/10.3390/s23031628
APA StyleTran, H. V., & Seo, S.-Y. (2023). Short-Term Creep Effect on Strain Transfer from Fiber-Reinforced Polymer Strips to Fiber Bragg Grating-Optical Fiber Sensors. Sensors, 23(3), 1628. https://doi.org/10.3390/s23031628

