SERS for Detection of Proteinuria: A Comparison of Gold, Silver, Al Tape, and Silicon Substrates for Identification of Elevated Protein Concentration in Urine
Abstract
1. Introduction
2. Materials and Methods
2.1. Samples
2.2. Chemicals and Equipment
2.3. SEM and TEM Characterisation
2.4. Substrate Preparation
2.5. Spectra Acquisition
2.6. Spectra Processing and Data Analysis
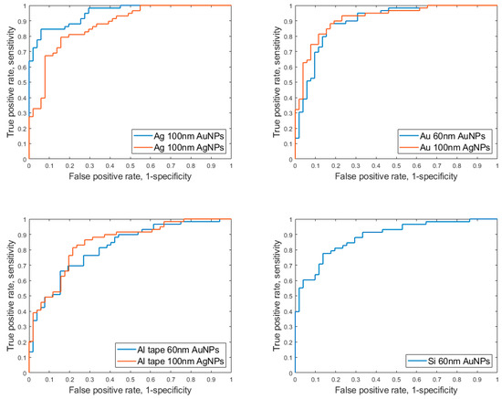
3. Results and Discussions
- Silver substrate with 100 nm Au NPs (Ag_100nm_AuNPs);
- Gold substrate with 100 nm Au NPs (Au_100nm_AuNPs);
- Gold substrate with 60 nm Au NPs (Au_60nm_AuNPs);
- Silicon substrate with 60 nm Au NPs (Si_60nm_AuNPs);
- Silver substrate with 100 nm Ag NPs (Ag_100nm_AgNPs);
- Aluminum tape with 100 nm Au NPs (Al_tape_100nm_AuNPs);
- Aluminum tape with 60 nm Au NPs (Al_tape_60nm_AuNPs).
| Paper | Method | Condition (Threshold) | Sensitivity | Specificity | Accuracy | AUC |
|---|---|---|---|---|---|---|
| Current paper | 100 nm Au NPs@Au, SERS | Proteinuria 300 mg/L | 0.932 | 0.750 | 0.847 | 0.897 |
| 60 nm Au NPs@Au, SERS | Proteinuria 300 mg/L | 0.915 | 0.769 | 0.847 | 0.893 | |
| 100 nm Au NPs@Ag, SERS | Proteinuria 300 mg/L | 0.914 | 0.843 | 0.881 | 0.941 | |
| 100 nm Ag NPs@Ag, SERS | Proteinuria 300 mg/L | 0.690 | 0.882 | 0.780 | 0.853 | |
| 100 nm Au NPs@Al_tape, SERS | Proteinuria 300 mg/L | 0.814 | 0.784 | 0.800 | 0.844 | |
| 60 nm Au NPs@Al_tape, SERS | Proteinuria 300 mg/L | 0.627 | 0.827 | 0.721 | 0.770 | |
| 60 nm Au NPs@Si, SERS | Proteinuria 300 mg/L | 0.793 | 0.843 | 0.816 | 0.876 | |
| Rizk et al. [61] | SERS | Proteinuria | 0.804 | 0.688 | NA | 0.82 |
| Zong et al. [50] | SERS | Chronic kidney disease | 0.78 | 0.86 | 0.818 | 0.886 |
| Chen et al. [64] | Raman spectroscopy | Chronic renal failure | 0.833 | 0.857 | 0.846 | NA |
| Nielsen et al. [67] | Urinary dipstick test | Proteinuria | 0.727 | 0.557 | NA | 0.762 |
| Chock et al. [62] | Near infrared spectroscopy | Acute kidney injury | 0.79 | 0.82 | NA | NA |
| De Souza Vieira et al. [63] | Raman spectroscopy | Chronic kidney disease | NA | NA | 0.79 | NA |
| Chen et al. [65] | Liquid chromatography tandem mass spectrometry (LC–MS/MS) | Bladder cancer | 0.711 | 0.75 | NA | 0.796 |
| Satirapoj et al. [66] | ELISA immunoassay | Diabetic kidney disease | 0.838 | 0.848 | NA | 0.84 |
4. Conclusions
Supplementary Materials
Author Contributions
Funding
Institutional Review Board Statement
Informed Consent Statement
Conflicts of Interest
Abbreviations
| SERS | surface-enhanced Raman spectroscopy |
| PCA | principal component analysis |
| PC | principal component |
| LDA | linear discriminant analysis |
| AUC | area under the (ROC) curve |
| SEM | scanning electron microscope |
| TEM | transmission electron microscope |
References
- Langer, J.; Jimenez de Aberasturi, D.; Aizpurua, J.; Alvarez-Puebla, R.A.; Auguié, B.; Baumberg, J.J.; Bazan, G.C.; Bell, S.E.J.; Boisen, A.; Brolo, A.G.; et al. Present and Future of Surface-Enhanced Raman Scattering. ACS Nano 2020, 14, 28–117. [Google Scholar] [CrossRef] [PubMed]
- Sharma, B.; Frontiera, R.R.; Henry, A.-I.; Ringe, E.; Van Duyne, R.P. SERS: Materials, applications, and the future. Mater. Today 2012, 15, 16–25. [Google Scholar] [CrossRef]
- Rodriguez-Lorenzo, L.; Fabris, L.; Alvarez-Puebla, R.A. Multiplex optical sensing with surface-enhanced Raman scattering: A critical review. Anal. Chim. Acta 2012, 745, 10–23. [Google Scholar] [CrossRef]
- Aitekenov, S.; Gaipov, A.; Bukasov, R. Review: Detection and quantification of proteins in human urine. Talanta 2021, 223, 121718. [Google Scholar] [CrossRef]
- Hutter, E.; Fendler, J.H. Exploitation of Localized Surface Plasmon Resonance. Adv. Mater. 2004, 16, 1685–1706. [Google Scholar] [CrossRef]
- Bantz, K.C.; Meyer, A.F.; Wittenberg, N.; Im, H.; Kurtuluş, Ö.; Lee, S.H.; Lindquist, N.C.; Oh, S.-H.; Haynes, C.L. Recent progress in SERS biosensing. Phys. Chem. Chem. Phys. 2011, 13, 11551–11567. [Google Scholar] [CrossRef]
- Le Ru, E.C.; Galloway, C.; Etchegoin, P.G. On the connection between optical absorption/extinction and SERS enhancements. Phys. Chem. Chem. Phys. 2006, 8, 3083–3087. [Google Scholar] [CrossRef]
- Stiles, P.L.; Dieringer, J.A.; Shah, N.C.; Van Duyne, R.P. Surface-Enhanced Raman Spectroscopy. Annu. Rev. Anal. Chem. 2008, 1, 601–626. [Google Scholar] [CrossRef]
- Xi, X.; Liang, C. Perspective of Future SERS Clinical Application Based on Current Status of Raman Spectroscopy Clinical Trials. Front. Chem. 2021, 9, 665841. [Google Scholar] [CrossRef]
- Xiang, X.; Feng, S.; Chen, J.; Feng, J.; Hou, Y.; Ruan, Y.; Weng, X.; Milcovich, G. Gold nanoparticles/electrochemically expanded graphite composite: A bifunctional platform toward glucose sensing and SERS applications. J. Electroanal. Chem. 2019, 851, 113471. [Google Scholar] [CrossRef]
- Hackshaw, K.V.; Miller, J.S.; Aykas, D.P.; Rodriguez-Saona, L. Vibrational Spectroscopy for Identification of Metabolites in Biologic Samples. Molecules 2020, 25, 4725. [Google Scholar] [CrossRef] [PubMed]
- Baker, M.J.; Hussain, S.R.; Lovergne, L.; Untereiner, V.; Hughes, C.; Lukaszewski, R.A.; Thiéfin, G.; Sockalingum, G.D. Developing and understanding biofluid vibrational spectroscopy: A critical review. Chem. Soc. Rev. 2016, 45, 1803–1818. [Google Scholar] [CrossRef] [PubMed]
- Aitekenov, S.; Sultangaziyev, A.; Abdirova, P.; Yussupova, L.; Gaipov, A.; Utegulov, Z.; Bukasov, R. Raman, Infrared and Brillouin Spectroscopies of Biofluids for Medical Diagnostics and for Detection of Biomarkers. Crit. Rev. Anal. Chem. 2022. [Google Scholar] [CrossRef]
- Zabetian, A.; Coca, S.G. Plasma and urine biomarkers in chronic kidney disease: Closer to clinical application. Curr. Opin. Nephrol. Hypertens. 2021, 30, 531–537. [Google Scholar] [CrossRef] [PubMed]
- Heerspink, H.J.L.; Brinkman, J.W.; Bakker, S.J.; Gansevoort, R.T.; de Zeeuw, D. Update on microalbuminuria as a biomarker in renal and cardiovascular disease. Curr. Opin. Nephrol. Hypertens. 2006, 15, 631–636. [Google Scholar] [CrossRef] [PubMed]
- Viberti, G.C.; Jarrett, R.J.; Mahmud, U.; Hill, R.D.; Argyropoulos, A.; Keen, H. Microalbuminuria as a predictor of clinical nephropathy in insulin-dependent diabetes mellitus. Lancet 1982, 319, 1430–1432. [Google Scholar] [CrossRef]
- Aitekenov, S.; Sultangaziyev, A.; Ilyas, A.; Dyussupova, A.; Boranova, A.; Gaipov, A.; Bukasov, R. Surface-enhanced Raman spectroscopy (SERS) for protein determination in human urine. Sens. Bio-Sens. Res. 2022, 38, 100535. [Google Scholar] [CrossRef]
- Gaipov, A.; Utegulov, Z.; Bukasov, R.; Turebekov, D.; Tarlykov, P.; Markhametova, Z.; Nurekeyev, Z.; Kunushpayeva, Z.; Sultangaziyev, A. Development and validation of hybrid Brillouin-Raman spectroscopy for non-contact assessment of mechano-chemical properties of urine proteins as biomarkers of kidney diseases. BMC Nephrol. 2020, 21, 229. [Google Scholar] [CrossRef]
- Matikainen, A.; Nuutinen, T.; Itkonen, T.; Heinilehto, S.; Puustinen, J.; Hiltunen, J.; Lappalainen, J.; Karioja, P.; Vahimaa, P. Atmospheric oxidation and carbon contamination of silver and its effect on surface-enhanced Raman spectroscopy (SERS). Sci. Rep. 2016, 6, 37192. [Google Scholar] [CrossRef]
- Ishida, T.; Tsuneda, S.; Nishida, N.; Hara, M.; Sasabe, H.; Knoll, W. Surface-Conditioning Effect of Gold Substrates on Octadecanethiol Self-Assembled Monolayer Growth. Langmuir 1997, 13, 4638–4643. [Google Scholar] [CrossRef]
- Mirsaleh-Kohan, N.; Bass, A.D.; Sanche, L. X-ray Photoelectron Spectroscopy Analysis of Gold Surfaces after Removal of Thiolated DNA Oligomers by Ultraviolet/Ozone Treatment. Langmuir 2010, 26, 6508–6514. [Google Scholar] [CrossRef] [PubMed]
- Palaghias, G.; Eliades, G.; Vougiouklakis, G. In vivo corrosion behavior of gold-plated versus titanium dental retention pins. J. Prosthet. Dent. 1992, 67, 194–198. [Google Scholar] [CrossRef] [PubMed]
- Kunushpayeva, Z.; Rapikov, A.; Akhmetova, A.; Sultangaziyev, A.; Dossym, D.; Bukasov, R. Sandwich SERS immunoassay of human immunoglobulin on silicon wafer compared to traditional SERS substrate, gold film. Sens. Bio-Sens. Res. 2020, 29, 100355. [Google Scholar] [CrossRef]
- Gudun, K.; Elemessova, Z.; Khamkhash, L.; Ralchenko, E.; Bukasov, R. Commercial Gold Nanoparticles on Untreated Aluminum Foil: Versatile, Sensitive, and Cost-Effective SERS Substrate. J. Nanomater. 2017, 2017, 9182025. [Google Scholar] [CrossRef]
- Arbuz, A.; Sultangaziyev, A.; Rapikov, A.; Kunushpayeva, Z.; Bukasov, R. How gap distance between gold nanoparticles in dimers and trimers on metallic and non-metallic SERS substrates can impact signal enhancement. Nanoscale Adv. 2022, 4, 268–280. [Google Scholar] [CrossRef]
- Sergiienko, S.; Moor, K.; Gudun, K.; Yelemessova, Z.; Bukasov, R. Nanoparticle–nanoparticle vs. nanoparticle–substrate hot spot contributions to the SERS signal: Studying Raman labelled monomers, dimers and trimers. Phys. Chem. Chem. Phys. 2017, 19, 4478–4487. [Google Scholar] [CrossRef]
- Bukasov, R.; Kunushpayeva, Z.; Rapikov, A.; Zhunussova, S.; Sultangaziyev, A.; Filchakova, O. High Contrast Surface Enhanced Fluorescence of Carbon Dot Labeled Bacteria Cells on Aluminum Foil. J. Fluoresc. 2020, 30, 1477–1482. [Google Scholar] [CrossRef]
- Sultangaziyev, A.; Ilyas, A.; Dyussupova, A.; Bukasov, R. Trends in Application of SERS Substrates beyond Ag and Au, and Their Role in Bioanalysis. Biosensors 2022, 12, 967. [Google Scholar] [CrossRef]
- Kaminska, A.; Inya-Agha, O.; Forster, R.J.; Keyes, T.E. Chemically bound gold nanoparticle arrays on silicon: Assembly, properties and SERS study of protein interactions. Phys. Chem. Chem. Phys. 2008, 10, 4172–4180. [Google Scholar] [CrossRef]
- Kamińska, A.; Szymborski, T.; Jaroch, T.; Zmysłowski, A.; Szterk, A. Gold-capped silicon for ultrasensitive SERS-biosensing: Towards human biofluids analysis. Mater. Sci. Eng. C 2018, 84, 208–217. [Google Scholar] [CrossRef] [PubMed]
- Zhu, C.; Zhao, Q.; Huo, D.; Hu, X.; Wang, X. Electrodeposition of rough gold nanoarrays for surface-enhanced Raman scattering detection. Mater. Chem. Phys. 2021, 263, 124388. [Google Scholar] [CrossRef]
- Fang, C.; Agarwal, A.; Widjaja, E.; Garland, M.V.; Wong, S.M.; Linn, L.; Khalid, N.M.; Salim, S.M.; Balasubramanian, N. Metallization of Silicon Nanowires and SERS Response from a Single Metallized Nanowire. Chem. Mater. 2009, 21, 3542–3548. [Google Scholar] [CrossRef]
- Leng, W.; Yasseri, A.A.; Sharma, S.; Li, Z.; Woo, H.Y.; Vak, D.; Bazan, G.C.; Kelley, A.M. Silver Nanocrystal-Modified Silicon Nanowires as Substrates for Surface-Enhanced Raman and Hyper-Raman Scattering. Anal. Chem. 2006, 78, 6279–6282. [Google Scholar] [CrossRef] [PubMed]
- Lin, H.; Mock, J.; Smith, D.; Gao, T.; Sailor, M.J. Surface-Enhanced Raman Scattering from Silver-Plated Porous Silicon. J. Phys. Chem. B 2004, 108, 11654–11659. [Google Scholar] [CrossRef]
- Kartashova, A.D.; Gonchar, K.A.; Chermoshentsev, D.A.; Alekseeva, E.A.; Gongalsky, M.B.; Bozhev, I.V.; Eliseev, A.A.; Dyakov, S.A.; Samsonova, J.V.; Osminkina, L.A. Surface-Enhanced Raman Scattering-Active Gold-Decorated Silicon Nanowire Substrates for Label-Free Detection of Bilirubin. ACS Biomater. Sci. Eng. 2022, 8, 4175–4184. [Google Scholar] [CrossRef]
- Stefancu, A.; Moisoiu, V.; Couti, R.; Andras, I.; Rahota, R.; Crisan, D.; E Pavel, I.; Socaciu, C.; Leopold, N.; Crisan, N. Combining SERS analysis of serum with PSA levels for improving the detection of prostate cancer. Nanomedicine 2018, 13, 2455–2467. [Google Scholar] [CrossRef] [PubMed]
- Cervo, S.; Mansutti, E.; Del Mistro, G.; Spizzo, R.; Colombatti, A.; Steffan, A.; Sergo, V.; Bonifacio, A. SERS analysis of serum for detection of early and locally advanced breast cancer. Anal. Bioanal. Chem. 2015, 407, 7503–7509. [Google Scholar] [CrossRef] [PubMed]
- Moisoiu, V.; Socaciu, A.; Stefancu, A.; Iancu, S.D.; Boros, I.; Alecsa, C.D.; Rachieriu, C.; Chiorean, A.R.; Eniu, D.; Leopold, N.; et al. Breast Cancer Diagnosis by Surface-Enhanced Raman Scattering (SERS) of Urine. Appl. Sci. 2019, 9, 806. [Google Scholar] [CrossRef]
- Mukanova, Z.; Gudun, K.; Elemessova, Z.; Khamkhash, L.; Ralchenko, E.; Bukasov, R. Detection of Paracetamol in Water and Urea in Artificial Urine with Gold Nanoparticle@Al Foil Cost-efficient SERS Substrate. Anal. Sci. 2018, 34, 183–187. [Google Scholar] [CrossRef]
- Radzol, A.R.M.; Lee, K.Y.; Mansor, W.; Azman, A. Optimization of Savitzky-Golay smoothing filter for salivary surface enhanced Raman spectra of non structural protein 1’. In Proceedings of the TENCON 2014-2014 IEEE Region 10 Conference, Bangkok, Thailand, 22–25 October 2014; pp. 1–6. [Google Scholar] [CrossRef]
- Filchakova, O.; Dossym, D.; Ilyas, A.; Kuanysheva, T.; Abdizhamil, A.; Bukasov, R. Review of COVID-19 testing and diagnostic methods. Talanta 2022, 244, 123409. [Google Scholar] [CrossRef]
- Szekeres, G.P.; Kneipp, J. SERS Probing of Proteins in Gold Nanoparticle Agglomerates. Front. Chem. 2019, 7, 30. [Google Scholar] [CrossRef] [PubMed]
- Bonyár, A.; Zangana, S.; Lednický, T.; Rigó, I.; Csarnovics, I.; Veres, M. Application of gold nanoparticles–epoxy surface nanocomposites for controlling hotspot density on a large surface area for SERS applications. Nano-Struct. Nano-Objects 2021, 28, 100787. [Google Scholar] [CrossRef]
- Seki, T.; Chiang, K.-Y.; Yu, C.-C.; Yu, X.; Okuno, M.; Hunger, J.; Nagata, Y.; Bonn, M. The Bending Mode of Water: A Powerful Probe for Hydrogen Bond Structure of Aqueous Systems. J. Phys. Chem. Lett. 2020, 11, 8459–8469. [Google Scholar] [CrossRef] [PubMed]
- De Gelder, J.; De Gussem, K.; Vandenabeele, P.; Moens, L. Reference database of Raman spectra of biological molecules. J. Raman Spectrosc. 2007, 38, 1133–1147. [Google Scholar] [CrossRef]
- Keuleers, R.; Desseyn, H.O.; Rousseau, B.; Van Alsenoy, C. Vibrational Analysis of Urea. J. Phys. Chem. A 1999, 103, 4621–4630. [Google Scholar] [CrossRef]
- Gulyamov, S.; Shamshiddinova, M.; Bae, W.; Park, Y.C.; Kim, H.J.; Cho, W.; Lee, Y. Identification of biomarkers on kidney failure by Raman spectroscopy. J. Raman Spectrosc. 2021, 52, 1712–1721. [Google Scholar] [CrossRef]
- Koch, H.; Polepil, S.; Eisen, K.; Will, S. Raman microspectroscopy and multivariate data analysis: Optical differentiation of aqueous D- and L-tryptophan solutions. Phys. Chem. Chem. Phys. 2017, 19, 30533–30539. [Google Scholar] [CrossRef]
- Flores-Guerrero, J.L.; Muñoz-Morales, A.; Narea-Jimenez, F.; Perez-Fuentes, R.; Torres-Rasgado, E.; Ruiz-Vivanco, G.; Gonzalez-Viveros, N.; Castro-Ramos, J. Novel Assessment of Urinary Albumin Excretion in Type 2 Diabetes Patients by Raman Spectroscopy. Diagnostics 2020, 10, 141. [Google Scholar] [CrossRef]
- Zong, M.; Zhou, L.; Guan, Q.; Lin, D.; Zhao, J.; Qi, H.; Harriman, D.; Fan, L.; Zeng, H.; Du, C. Comparison of Surface-Enhanced Raman Scattering Properties of Serum and Urine for the Detection of Chronic Kidney Disease in Patients. Appl. Spectrosc. 2020, 75, 412–421. [Google Scholar] [CrossRef]
- Chen, C.; Yang, L.; Li, H.; Chen, F.; Gao, R.; Lv, X.; Tang, J. Raman spectroscopy combined with multiple algorithms for analysis and rapid screening of chronic renal failure. Photodiagnosis Photodyn. Ther. 2020, 30, 101792. [Google Scholar] [CrossRef]
- Florkowski, C.M. Sensitivity, Specificity, Receiver-Operating Characteristic (ROC) Curves and Likelihood Ratios: Communicating the Performance of Diagnostic Tests. Clin. Biochem. Rev. 2008, 29 (Suppl. 1), S83–S87. [Google Scholar] [PubMed]
- Hajian-Tilaki, K. Receiver Operating Characteristic (ROC) Curve Analysis for Medical Diagnostic Test Evaluation. Casp. J Intern. Med. 2013, 4, 627–635. [Google Scholar]
- Barratt, J.; Topham, P. Urine proteomics: The present and future of measuring urinary protein components in disease. Can. Med Assoc. J. 2007, 177, 361–368. [Google Scholar] [CrossRef] [PubMed]
- Lamb, E.J.; MacKenzie, F.; Stevens, P.E. How should proteinuria be detected and measured? Ann. Clin. Biochem. 2009, 46, 205–217. [Google Scholar] [CrossRef] [PubMed]
- Pozzobon, V.; Levasseur, W.; Do, K.-V.; Palpant, B.; Perré, P. Household aluminum foil matte and bright side reflectivity measurements: Application to a photobioreactor light concentrator design. Biotechnol. Rep. 2020, 25, e00399. [Google Scholar] [CrossRef]
- Tu, X.; Li, Z.; Lu, J.; Zhang, Y.; Yin, G.; Wang, W.; He, D. In situ preparation of Ag nanoparticles on silicon wafer as highly sensitive SERS substrate. RSC Adv. 2018, 8, 2887–2891. [Google Scholar] [CrossRef] [PubMed]
- Bär, J.; de Barros, A.; de Camargo, D.H.S.; Pereira, M.P.; Merces, L.; Shimizu, F.M.; Sigoli, F.A.; Bufon, C.C.B.; Mazali, I.O. Silicon Microchannel-Driven Raman Scattering Enhancement to Improve Gold Nanorod Functions as a SERS Substrate toward Single-Molecule Detection. ACS Appl. Mater. Interfaces 2021, 13, 36482–36491. [Google Scholar] [CrossRef]
- Panarin, A.Y.; Terekhov, S.N.; Kholostov, K.I.; Bondarenko, V.P. SERS-active substrates based on n-type porous silicon. Appl. Surf. Sci. 2010, 256, 6969–6976. [Google Scholar] [CrossRef]
- Pakiari, A.H.; Jamshidi, Z. Nature and Strength of M−S Bonds (M = Au, Ag, and Cu) in Binary Alloy Gold Clusters. J. Phys. Chem. A 2010, 114, 9212–9221. [Google Scholar] [CrossRef]
- Rizk, D.E.E.; Agarwal, M.M.; Pathan, J.Y.; Obineche, E.N. Predicting proteinuria in hypertensive pregnancies with urinary protein-creatinine or calcium-creatinine ratio. J. Perinatol. 2007, 27, 272–277. [Google Scholar] [CrossRef]
- Chock, V.Y.; Frymoyer, A.; Yeh, C.G.; Meurs, K.P.V. Renal Saturation and Acute Kidney Injury in Neonates with Hypoxic Ischemic Encephalopathy Undergoing Therapeutic Hypothermia. J. Pediatr. 2018, 200, 232–239. [Google Scholar] [CrossRef] [PubMed]
- de Souza Vieira, E.E.; Bispo, J.A.M.; Silveira, L.; Fernandes, A.B. Discrimination model applied to urinalysis of patients with diabetes and hypertension aiming at diagnosis of chronic kidney disease by Raman spectroscopy. Lasers Med. Sci. 2017, 32, 1605–1613. [Google Scholar] [CrossRef]
- Chen, C.; Yang, L.; Zhao, J.; Yuan, Y.; Tang, J.; Yang, H.; Yan, Z.; Wang, H.; Lv, X. Urine Raman spectroscopy for rapid and inexpensive diagnosis of chronic renal failure (CRF) using multiple classification algorithms. Optik 2019, 203, 164043. [Google Scholar] [CrossRef]
- Chen, Y.-T.; Chen, H.-W.; Domanski, D.; Smith, D.S.; Liang, K.-H.; Wu, C.-C.; Chen, C.-L.; Chung, T.; Chen, M.-C.; Chang, Y.-S.; et al. Multiplexed quantification of 63 proteins in human urine by multiple reaction monitoring-based mass spectrometry for discovery of potential bladder cancer biomarkers. J. Proteom. 2012, 75, 3529–3545. [Google Scholar] [CrossRef] [PubMed]
- Satirapoj, B.; Dispan, R.; Radinahamed, P.; Kitiyakara, C. Urinary epidermal growth factor, monocyte chemoattractant protein-1 or their ratio as predictors for rapid loss of renal function in type 2 diabetic patients with diabetic kidney disease. BMC Nephrol. 2018, 19, 246. [Google Scholar] [CrossRef]
- Nielsen, C.B.; Birn, H.; Brandt, F.; Kampmann, J.D. Urinary Dipstick Is Not Reliable as a Screening Tool for Albuminuria in the Emergency Department—A Prospective Cohort Study. Diagnostics 2022, 12, 457. [Google Scholar] [CrossRef]
- McFarland, A.D.; Young, M.A.; Dieringer, J.A.; Van Duyne, R.P. Wavelength-Scanned Surface-Enhanced Raman Excitation Spectroscopy. J. Phys. Chem. B 2005, 109, 11279–11285. [Google Scholar] [CrossRef]






| PC Components | Total Variance Explained, % | Sensitivity | Specificity | Accuracy | AUC | AUC One-Leave-Out | AUC Sum | TP | TN | FP | FN | No |
|---|---|---|---|---|---|---|---|---|---|---|---|---|
| 5 | 79.977 | 0.8136 | 0.6923 | 0.7568 | 0.7973 | 0.7448 | 1.5420 | 48 | 36 | 16 | 11 | 111 |
| 7 | 85.430 | 0.6102 | 0.9231 | 0.7568 | 0.8067 | 0.7422 | 1.5489 | 36 | 48 | 4 | 23 | 111 |
| 9 | 88.336 | 0.7797 | 0.8654 | 0.8198 | 0.8638 | 0.7937 | 1.6574 | 46 | 45 | 7 | 13 | 111 |
| 11 | 90.423 | 0.7627 | 0.8654 | 0.8108 | 0.8651 | 0.7839 | 1.6490 | 45 | 45 | 7 | 14 | 111 |
| 13 | 91.933 | 0.9322 | 0.7500 | 0.8468 | 0.8973 | 0.7940 | 1.6913 | 55 | 39 | 13 | 4 | 111 |
| 15 | 93.078 | 0.8136 | 0.8654 | 0.8378 | 0.8996 | 0.7859 | 1.6855 | 48 | 45 | 7 | 11 | 111 |
| 17 | 94.007 | 0.7627 | 0.9231 | 0.8378 | 0.8999 | 0.7686 | 1.6685 | 45 | 48 | 4 | 14 | 111 |
| 19 | 94.784 | 0.8475 | 0.9038 | 0.8739 | 0.9113 | 0.7647 | 1.6760 | 50 | 47 | 5 | 9 | 111 |
| 21 | 95.394 | 0.8475 | 0.8846 | 0.8649 | 0.9087 | 0.7500 | 1.6587 | 50 | 46 | 6 | 9 | 111 |
| 23 | 95.930 | 0.8305 | 0.9038 | 0.8649 | 0.9094 | 0.7317 | 1.6411 | 49 | 47 | 5 | 10 | 111 |
| 25 | 96.398 | 0.8814 | 0.8269 | 0.8559 | 0.9156 | 0.7076 | 1.6232 | 52 | 43 | 9 | 7 | 111 |
| PC Components | Au_100nm_AuNPs | Au_60nm_AuNPs | Ag_100nm_AuNPs | Ag_100nm_AgNPs | Al_tape_100nm_AuNPs | Al_tape_60 nm_ AuNPs | Si_60nm_AuNPs |
|---|---|---|---|---|---|---|---|
| 5 | 0.7710 | 0.7112 | 0.7649 | 0.6423 | 0.5150 | 0.6315 | 0.6202 |
| 7 | 0.7744 | 0.6952 | 0.7928 | 0.6859 | 0.5623 | 0.6506 | 0.6912 |
| 9 | 0.8287 | 0.7016 | 0.8612 | 0.7338 | 0.5924 | 0.7181 | 0.6805 |
| 11 | 0.8245 | 0.7236 | 0.8693 | 0.7375 | 0.5891 | 0.7091 | 0.7128 |
| 13 | 0.8457 | 0.7518 | 0.8643 | 0.7373 | 0.7004 | 0.7062 | 0.7818 |
| 15 | 0.8427 | 0.7516 | 0.8641 | 0.7273 | 0.6889 | 0.6957 | 0.7863 |
| 17 | 0.8343 | 0.7555 | 0.8687 | 0.7336 | 0.6982 | 0.6866 | 0.7836 |
| 19 | 0.8380 | 0.7686 | 0.8587 | 0.7703 | 0.7208 | 0.6734 | 0.7720 |
| 21 | 0.8294 | 0.7795 | 0.8746 | 0.7610 | 0.7164 | 0.6701 | 0.7912 |
| 23 | 0.8206 | 0.8049 | 0.8648 | 0.7606 | 0.7232 | 0.6729 | 0.7826 |
| 25 | 0.8116 | 0.7999 | 0.8580 | 0.7593 | 0.7295 | 0.6871 | 0.7796 |
| max | 0.8457 | 0.8049 | 0.8746 | 0.7703 | 0.7295 | 0.7181 | 0.7912 |
| relative performance | 118 | 112 | 122 | 107 | 102 | 100 | 110 |
Disclaimer/Publisher’s Note: The statements, opinions and data contained in all publications are solely those of the individual author(s) and contributor(s) and not of MDPI and/or the editor(s). MDPI and/or the editor(s) disclaim responsibility for any injury to people or property resulting from any ideas, methods, instructions or products referred to in the content. |
© 2023 by the authors. Licensee MDPI, Basel, Switzerland. This article is an open access article distributed under the terms and conditions of the Creative Commons Attribution (CC BY) license (https://creativecommons.org/licenses/by/4.0/).
Share and Cite
Aitekenov, S.; Sultangaziyev, A.; Boranova, A.; Dyussupova, A.; Ilyas, A.; Gaipov, A.; Bukasov, R. SERS for Detection of Proteinuria: A Comparison of Gold, Silver, Al Tape, and Silicon Substrates for Identification of Elevated Protein Concentration in Urine. Sensors 2023, 23, 1605. https://doi.org/10.3390/s23031605
Aitekenov S, Sultangaziyev A, Boranova A, Dyussupova A, Ilyas A, Gaipov A, Bukasov R. SERS for Detection of Proteinuria: A Comparison of Gold, Silver, Al Tape, and Silicon Substrates for Identification of Elevated Protein Concentration in Urine. Sensors. 2023; 23(3):1605. https://doi.org/10.3390/s23031605
Chicago/Turabian StyleAitekenov, Sultan, Alisher Sultangaziyev, Aigerim Boranova, Aigerim Dyussupova, Aisha Ilyas, Abduzhappar Gaipov, and Rostislav Bukasov. 2023. "SERS for Detection of Proteinuria: A Comparison of Gold, Silver, Al Tape, and Silicon Substrates for Identification of Elevated Protein Concentration in Urine" Sensors 23, no. 3: 1605. https://doi.org/10.3390/s23031605
APA StyleAitekenov, S., Sultangaziyev, A., Boranova, A., Dyussupova, A., Ilyas, A., Gaipov, A., & Bukasov, R. (2023). SERS for Detection of Proteinuria: A Comparison of Gold, Silver, Al Tape, and Silicon Substrates for Identification of Elevated Protein Concentration in Urine. Sensors, 23(3), 1605. https://doi.org/10.3390/s23031605

