Investigation of the Influence of Infrared Illumination on the Pulse Shapes of Output Signals of CdZnTe Detectors
Abstract
:1. Introduction
2. Experiment
3. Results and Discussion
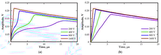
3.1. Planar Detector
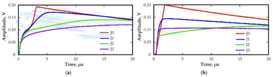
3.2. Quasi-Hemispherical Detector
3.3. Measurements over a Temperature Range
4. Conclusions
- Two CZT planar detectors of dimensions 20 × 20 × 10 mm and two detectors of dimensions 15 × 15 × 7.5 mm were inspected with IR transmission microscopy and by the surface scanning of detectors with alpha particles. Irradiation with alpha particles was carried out from the cathode, which ensured the formation of output pulses owing to the collection of electrons. The inspection with IR microscopy did not reveal the presence of large inclusions or clusters of small inhomogeneities along the grain boundaries. The scanning of the surface of one of the planar detectors showed the presence of a noticeable nonuniformity in a certain region. Complex shapes of the rising edge in the pulses and reduced charge-collection efficiency from this region were discovered. Pulses from all other regions of this detector surface had linear rising edges, which indicated a uniform distribution of the electric field. IR illumination did not improve charge collection in all planar detectors. Analysis of the output signal waveforms allowed us to conclude that the space charge region was formed at their cathodes under the influence of the used IR illumination with wavelengths of 940 nm and 1050 nm.
 - The tested planar detectors were used to manufacture quasi-hemispherical detectors. Alpha spectra for different regions on the larger side of the cathode were measured using a digitizer. Amplitude to transit time distributions, amplitude spectra and transit time distributions for the different regions of the detector surface were obtained. All tested detectors exhibited poor charge collection from the peripheral regions of the detector, primarily from the corners. The output pulses from these regions had very long rising edges and reduced amplitudes compared to the pulses from the central region. A long rising edge is determined by a significantly lower electric field in the corner regions. In the detector, in the planar form of which the region of reduced charge-collection efficiency had been detected, the pulses from this and adjacent regions also had rather long rising edges.
 - IR illumination of the detectors with a wavelength of 940 nm at room temperature significantly improved charge collection from the peripheral regions. The rising edge of the output pulse became significantly shorter, and the amplitude increased noticeably. This result could be due to the redistribution of the electric field, an increase in the corner regions and a decrease in the center region. This redistribution, in turn, could be caused by the formation of a positive space charge near the cathode. If, in a planar detector, the formation of a space charge at the cathode did not lead to improved charge collection, then in a quasi-hemispherical detector, this effect gave a significant positive result. Improvement in characteristics when collecting charges from the central region also occurred, but noticeably less.
 - The behavior of the quasi-hemispherical detector with dimensions of 15 × 15 × 7.5 mm in the temperature range from −30 °C to +50 °C was studied. The amplitude spectra and the transit time distributions at the registration of alpha particles were obtained. The influence of IR illumination of different wavelengths on the detector parameters was studied. Charge collection from two regions in a corner and in the center of the detector surface was studied. In the corner region, polarization was discovered at a temperature of −30 °C, which was manifested by a significant deterioration in charge collection over time, i.e., the amplitude was decreasing, and the transit time was increasing. At higher temperatures, the detector performance remained stable over time. The use of IR illumination with a wavelength of 1050 nm caused depolarization, restoring the characteristics of the detector operating at −30 °C; no changes were observed over time at constant levels of illumination. With increasing temperature, the effect of IR illumination decreased and completely disappeared at temperatures above +40 °C. Conversely, the positive effect of IR illumination at a wavelength of 940 nm at a temperature of −30 °C was short-lived and only immediately after turning on the illumination. Over time, polarization appeared and manifested in a significant increase in transit time. With increasing temperature, the efficiency of the IR illumination increased, achieving a stable positive result in the temperature range from +10 °C to +50 °C. When collecting charges from the central region, the behavior of the detector was different. No polarization was observed either at −30 °C or at other temperatures; the obtained waveforms of output pulses, calculated amplitude spectra and transit time distributions did not change over time. IR illumination with both wavelengths of 940 and 1050 nm also did not have noticeable impacts on the waveforms and amplitudes of output pulses. Application of IR illumination at a wavelength of 1050 nm slightly decreased the transit time at −30 °C.
 
Author Contributions
Funding
Institutional Review Board Statement
Informed Consent Statement
Data Availability Statement
Conflicts of Interest
References
- McCoy, J.J.; Kakkireni, S.; Gilvey, Z.H.; Swain, S.K.; Bolotnikov, A.E.; Lynn, K.G. Overcoming mobility lifetime product limitations in vertical Bridgman production of cadmium zinc telluride detectors. J. Electron. Mater. 2019, 48, 4226–4234. [Google Scholar] [CrossRef]
 - Zanio, K. Use of various device geometries to improve the performance of CdTe detectors. Rev. Phys. Appl. 1977, 12, 343–347. [Google Scholar] [CrossRef]
 - Luke, P.N. Electrode configuration and energy resolution in gamma-ray detectors. Nucl. Instrum. Methods Phys. Res. A 1996, 380, 232–237. [Google Scholar] [CrossRef]
 - Zhang, Q.; Zhang, C.; Lu, Y.; Yang, K.; Ren, Q. Progress in the development of CdZnTe unipolar detectors for different anode geometries and data corrections. Sensors 2013, 13, 2447. [Google Scholar] [CrossRef] [PubMed]
 - He, Z.; Knoll, G.F.; Wehe, D.K.; Du, Y.F. Coplanar grid patterns and their effect on energy resolution of CdZnTe detectors. Nucl. Instrum. Methods Phys. Res. A 1998, 411, 107–113. [Google Scholar] [CrossRef]
 - Bolotnikov, A.E.; Boggs, S.E.; Chen, C.M.H.; Cook, W.R.; Harrison, F.A.; Schindler, S.M. Optimal contact geometry for CdZnTe pixel detectors. Proc. SPIE 2000, 4141, 243–252. [Google Scholar] [CrossRef]
 - Bolotnikov, A.E.; MacKenzie, J.; Chen, E. Performance of 8 × 8 × 32 and 10 × 10 × 32 mm3 CdZnTe position-sensitive virtual Frisch-grid detectors for high-energy gamma ray cameras. Nucl. Instrum. Methods Phys. Res. A 2020, 969, 164005. [Google Scholar] [CrossRef]
 - den Hartog, R.; Owens, A.; Kozorezov, A.G.; Wigmore, J.K.; Gostilo, V.; Loupilov, A.; Kondratjev, V.; Webb, M.A.; Welter, E. The CZT Ring-drift detector: A novel concept for hard X-ray detection. In Proceedings of the 2007 IEEE Nuclear Science Symposium Conference Record, Honolulu, HI, USA, 26 October–3 November 2007; pp. 1500–1506. [Google Scholar] [CrossRef]
 - Abbene, L.; Gerardi, G.; Principato, F.; Buttacavoli, A.; Altieri, S.; Protti, N.; Tomarchio, E.; Del Sordo, S.; Auricchio, N.; Bettelli, M.; et al. Recent advances in the development of high-resolution 3D cadmium–zinc–telluride drift strip detectors. J. Synchrotron Rad. 2020, 27, 1564–1576. [Google Scholar] [CrossRef]
 - Alekseeva, L.A.; Dorogov, P.G.; Ivanov, V.I.; Khusainov, A.K. Cadmium telluride gamma radiation detectors with a high energy resolution. Instrum. Exp. Tech. 1985, 28, 54–58. [Google Scholar]
 - Szeles, C.; Bale, D.; Grosholz, J.; Smith, G.L.; Blostein, M.; Eger, J. Fabrication of high performance CdZnTe quasi-hemispherical gamma-ray CAPture plus detectors. In Proceedings of the Hard X-Ray and Gamma-Ray Detector Physics and Penetrating Radiation Systems VIII, San Diego, CA, USA, 14–17 August 2006; Volume 6319. [Google Scholar] [CrossRef]
 - Ivanov, V.; Dorogov, P.; Luchanskii, A.; Aleksejeva, L. CZT quasi-hemispherical detectors with improved spectrometric characteristics. In Proceedings of the IEEE NSS-MIC Conference Record, Orlando, FL, USA, 25–31 October 2009. [Google Scholar] [CrossRef]
 - Bao, L.; Zha, G.; Li, J.; Guo, L.; Dong, J.; Jie, W. CdZnTe quasi-hemispherical detector for gamma–neutron detection. J. Nucl. Sci. Technol. 2019, 56, 454–460. [Google Scholar] [CrossRef]
 - Vicini, V.; Zanettini, S.; Sarzi Amad’e, N.; Grill, R.; Zambelli, N.; Calestani, D.; Zappettini, A.; Abbene, L.; Bettelli, M. Optimization of quasi-hemispherical CdZnTe detectors by means of first principles simulation. Sci. Rep. 2023, 13, 3212. [Google Scholar] [CrossRef] [PubMed]
 - Abbene, L.; Buttacavoli, A.; Principato, F.; Gerardi, G.; Bettelli, M.; Zappettini, A.; Bazzi, M.; Bragadireanu, M.; Cargnelli, M.; Carminati, M. Potentialities of CdZnTe quasi-hemispherical detectors for hard X-ray spectroscopy of Kaonic Atoms at the DAFNE collider. Sensors 2023, 23, 7328. [Google Scholar] [CrossRef]
 - Park, S.H.; Ha, J.H.; Lee, J.H.; Kim, H.S.; Cho, Y.H.; Cheon, S.D.; Hong, D.G. Effect of temperature on the performance of a CZT radiation detector. J. Korean Phys. Soc. 2010, 56, 1079–1082. [Google Scholar] [CrossRef]
 - Sturm, B.W.; He, Z.; Zurbuchen, T.H.; Koehn, P.L. Investigation of the Asymmetric Characteristics and Temperature Effects of CdZnTe Detectors. IEEE Trans. Nucl. Sci. 2005, 52, 2068–2075. [Google Scholar] [CrossRef]
 - Murray, W.; Krueger, K.; Rawool-Sullivan, M.W.; Ussery, L.; Whitley, C. Temperature effects on CdZnTe detector performance. In Proceedings of the IEEE Nuclear Science Symposium Conference Record, Toronto, ON, Canada, 8–14 November 1998; Volume 1, pp. 643–645. [Google Scholar] [CrossRef]
 - Bale, D.S.; Szeles, C. Nature of polarization in wide-bandgap semiconductor detectors under high-flux irradiation: Application to semi-insulating Cd1-xZnxTe. Phys. Rev. B 2008, 77, 035205. [Google Scholar] [CrossRef]
 - Strassburg, M.; Schroeter, C.; Hackenschmied, P. CdTe/CZT under high flux irradiation. J. Instrum. 2011, 6, C01055. [Google Scholar] [CrossRef]
 - Kondrik, A.I. Degradation Mechanisms of the Detector Properties of CdTe and CdZnTe Under the Influence of Gamma Irradiation. East Eur. J. Phys. 2021, 3, 116–123. [Google Scholar] [CrossRef]
 - Franc, J.; Dědič, V.; Rejhon, M.; Zázvorka, J.; Praus, P.; Touš, J.; Sellin, P.J. Control of electric field in CdZnTe radiation detectors by above-bandgap light. J. Appl. Phys. 2015, 117, 165702. [Google Scholar] [CrossRef]
 - Washington, A.L.; Teague, L.C.; Duff, M.C.; Burger, A.; Groza, M.; Buliga, V. Response of the Internal Electric Field in CdZnTe to Illumination at Multiple Optical Powers. J. Electron. Mater. 2012, 41, 2874–2879. [Google Scholar] [CrossRef]
 - Prokesch, M.; Bale, D.S.; Szeles, C. Fast high-flux response of CdZnTe X-ray detectors by optical manipulation of deep level defect occupations. IEEE Trans. Nucl. Sci. 2010, 57, 2397–2399. [Google Scholar] [CrossRef]
 - Ivanov, V.; Dorogov, P.; Loutchanski, A.; Grigorjeva, L.; Millers, D. Improving the performance of quasi-hemispherical CdZnTe detectors using infrared stimulation. IEEE Trans. Nucl. Sci. 2012, 59, 2375–2382. [Google Scholar] [CrossRef]
 - Xu, L.; Jie, W.; Zha, G.; Feng, T.; Wang, N.; Xi, S.; Fu, X.; Zhang, W.; Xu, Y.; Wang, T. Effects of sub-bandgap illumination on electrical properties and detector performances of CdZnTe:In. Appl. Phys. Lett. 2014, 104, 232109. [Google Scholar] [CrossRef]
 - Yang, G.; Xiao, S.; Ma, Y.; Zhang, L. Investigation of the spectral improvement of a capacitive Frisch-grid CdZnTe detector by using infrared stimulation. J. Korean Phys. Soc. 2014, 65, 441–444. [Google Scholar] [CrossRef]
 - Dorogov, P.; Ivanov, V.; Fjodorovs, V.; Hinoverov, S.; Loutchanski, A. Influence of infrared stimulation on spectroscopy characteristics of different CdZnTe detectors. In Proceedings of the 2015 IEEE Nuclear Science Symposium and Medical Imaging Conference (NSS/MIC), San Diego, CA, USA, 31 October–7 November 2015; pp. 1–2. [Google Scholar] [CrossRef]
 - Duff, M.C.; Washington, A.L., II; Teague, L.C.; Wright, J.S.; Burger, A.; Groza, M.; Buliga, V. Use of sub-bandgap illumination to improve radiation detector resolution of CdZnTe. J. Electron. Mater. 2015, 44, 3207–3213. [Google Scholar] [CrossRef]
 - Washington, A.L., II; Teague, L.C.; Duff, M.C.; Burger, A.; Groza, M.; Buliga, V. Effect of sub-bandgap illumination on the internal electric field of CdZnTe. J. Appl. Phys. 2011, 110, 073708. [Google Scholar] [CrossRef]
 - Pekárek, J.; Dědič, V.; Franc, J.; Belas, E.; Rejhon, M.; Moravec, P.; Touš, J.; Voltr, J. Infrared LED enhanced spectroscopic CdZnTe detector working under high fluxes of X-rays. Phys. Mater. Sci. Sens. 2016, 16, 1591. [Google Scholar] [CrossRef] [PubMed]
 - Mao, Y.; Zhang, J.; Lin, L.; Lai, J.; Min, J.; Liang, X.; Huang, J.; Tang, K.; Wangt, L. Study on the mechanism of using IR illumination to improve the carrier transport performance of CdZnTe detector. Semicond. Sci. Technol. 2018, 33, 045002. [Google Scholar] [CrossRef]
 - Luo, X.; Zha, G.; Xu, L.; Jie, W. Improvement to the carrier transport properties of CdZnTe detector using sub-band-gap light radiation. Sensors 2019, 19, 600. [Google Scholar] [CrossRef]
 - Chen, X.; Song, Z.H.; Lu, Y.; Ma, Y.; Hou, L.; Han, H.T. Improvement on the temporal response of CZT γ-ray detector by infrared illumination. IEEE Trans. Nucl. Sci. 2021, 68, 2533–2538. [Google Scholar] [CrossRef]
 - Guo, R.; Lin, J.; Liu, L.; Li, S.; Wang, C.; Xiong, F.; Lin, H. Influence of sub-bandgap illumination on space charge distribution in CdZnTe detector. Chin. Phys. B 2021, 30, 036101. [Google Scholar] [CrossRef]
 - Ivanov, V.; Fjodorovs, V.; Loutchanski, A.; Ogorodniks, V. Application of CdZnTe quasi-hemispherical detectors in strong gamma-radiation fields. EPJ Web Conf. 2020, 225, 07004. [Google Scholar] [CrossRef]
 - Ivanov, V.; Fjodorovs, V.; Loutchanski, A.; Piskunovs, M.; Ivanovs, V. Use of CdZnTe quasi-hemispherical detectors under the impact of low temperatures and high-gamma radiation fluxes. Sensors 2023, 23, 8378. [Google Scholar] [CrossRef] [PubMed]
 - Praus, P.; Belas, E.; Franc, J.; Grill, R.; Höschl, P.; Pekárek, J. Electronic pulse shape formation in transient charge and transient current detection approach in (CdZn)Te detectors. IEEE Trans. Nucl. Sci. 2014, 61, 2333–2337. [Google Scholar] [CrossRef]
 - Cho, H.Y.; Lee, J.H.; Kwon, Y.K.; Moon, J.Y.; Lee, C.S. Measurement of the drift mobilities and the mobility-lifetime products of charge carriers in a CdZnTe crystal by using a transient pulse technique. J. Instrum. 2011, 6, C01025. [Google Scholar] [CrossRef]
 - Uxa, Š.; Belas, E.; Grill, R.; Praus, P.; James, R.B. Determination of electric-field profile in CdTe and CdZnTe detectors using transient-current technique. IEEE Trans. Nucl. Sci. 2012, 59, 2402–2408. [Google Scholar] [CrossRef]
 - Amman, M.S.; Lee, J.S.; Luke, P.N. Alpha particle response characterization of CdZnTe. In Hard X-ray and Gamma-ray Detector Physics III; SPIE: Bellingham, WA, USA, 2001; Volume 4507. [Google Scholar] [CrossRef]
 - Bolotnikov, A.E.; Butcher, J.; Hamade, M.; Petryk, M.; Camarda, G.; Cui, Y.; Hossain, A.; Kim, K.; Yang, G.; James, R. Drift time variations in CdZnTe detectors measured with alpha particles and gamma rays: Their correlation with detector response. IEEE Trans. Nucl. Sci. 2013, 60, 1189–1196. [Google Scholar] [CrossRef]
 - Malm, H.L.; Litchinsky, D.; Canali, C. Single carrier charge collection in semiconductor nuclear detectors. Rev. Phys. Appl. 1977, 12, 303–310. [Google Scholar] [CrossRef]
 - Loo, B.W.; Goulding, F.S.; Gao, D. Ballistic deficits in pulse shaping amplifiers. IEEE Trans. Nucl. Sci. 1988, 35, 114–118. [Google Scholar] [CrossRef]
 - Hecht, K. Zum mechanismus des lichtelektrischen primärstromes in isolierenden kristallen. Z. Phys. 1932, 77, 235–245. [Google Scholar] [CrossRef]
 - Yang, G.; Bolotnikov, A.E.; Fochuk, P.M.; Kopach, O.; Franc, J.; Belas, E.; Kim, K.H.; Camarda, G.S.; Hossain, A.; Cui, Y.; et al. Post-growth thermal annealing study of CdZnTe for developing room-temperature X-ray and gamma-ray detectors. J. Cryst. Growth 2013, 379, 16–20. [Google Scholar] [CrossRef]
 - Awadalla, S.A.; Mackenzie, J.; Chen, H.; Redden, B.; Bindley, G.; Duff, M.C.; Burger, A.; Groza, M.; Buliga, V.; Bradley, J.P.; et al. Characterization of detector-grade CdZnTe crystals grown by traveling heater method (THM). J. Cryst. Growth 2010, 312, 507–513. [Google Scholar] [CrossRef]
 - Wilson, M.D.; Seller, P.; Veale, M.C.; Sellin, P.J. Investigation of the small pixel effect in CdZnTe detectors. In Proceedings of the 2007 IEEE Nuclear Science Symposium Conference Record, Honolulu, HI, USA, 26 October–3 November 2007; pp. 1255–1259. [Google Scholar] [CrossRef]
 - µSPEC4000, RITEC Data Sheets. Available online: www.ritec.lv (accessed on 15 December 2023).
 














| Region No. | 1 | 2 | 3 | 4 | 5 | 6 | 7 | 8 | 9 | 10 | 11 | 12 | 13 | 
|---|---|---|---|---|---|---|---|---|---|---|---|---|---|
| Amplitude peak maximum, V | 0.14 | 0.16 | 0.16 | 0.16 | 0.15 | 0.15 | 0.16 | 0.15 | 0.08 | 0.15 | 0.15 | 0.14 | 0.14 | 
| Transit time distribution maximum, µs | 7.4 | 3.0 | 2.5 | 2.4 | 2.4 | 3.0 | 2.9 | 4.4 | 8.0 | 2.8 | 3.0 | 3.3 | 3.4 | 
| Region No. | 1 | 2 | 3 | 4 | 5 | 6 | 7 | 8 | 9 | 10 | 11 | 12 | 13 | 
|---|---|---|---|---|---|---|---|---|---|---|---|---|---|
| Amplitude peak maximum without IR  illumination, V  | 0.08 | 0.13 | 0.11 | 0.14 | 0.11 | 0.14 | 0.01 | 0.11 | 0.09 | 0.15 | 0.15 | 0.14 | 0.15 | 
| Amplitude peak maximum with IR  illumination, V  | 0.09 | 0.16 | 0.16 | 0.17 | 0.17 | 0.16 | 0.16 | 0.12 | 0.09 | 0.17 | 0.17 | 0.16 | 0.17 | 
| Transit time distribution maximum  without IR illumination, µs  | 2.75 | 1.35 | 2.6 | 1.15 | 3 | 0.75 | 4.05 | 1.25 | 1.35 | 0.45 | 0.55 | 0.75 | 0.95 | 
| Transit time distribution maximum  with IR illumination, µs  | 2.45 | 0.45 | 0.45 | 0.35 | 0.45 | 0.45 | 0.75 | 1.85 | 1.85 | 0.35 | 0.45 | 0.55 | 0.25 | 
| Region No. | 1 | 2 | 3 | 4 | 5 | 6 | 7 | 8 | 9 | 10 | 11 | 12 | 13 | 
|---|---|---|---|---|---|---|---|---|---|---|---|---|---|
| Amplitude peak maximum without IR illumination, V  | 0.08 | 0.13 | 0.08 | 0.13 | 0.08 | 0.13 | 0.10 | 0.14 | 0.12 | 0.13 | 0.14 | 0.15 | 0.16 | 
| Amplitude peak maximum  with IR illumination, V  | 0.15 | 0.16 | 0.16 | 0.16 | 0.16 | 0.16 | 0.15 | 0.16 | 0.16 | 0.16 | 0.16 | 0.16 | 0.16 | 
| Transit time distribution maximum  without IR illumination, µs  | 0.81 | 0.39 | 1.29 | 0.45 | 0.93 | 0.45 | 0.65 | 0.33 | 0.39 | 0.39 | 0.39 | 0.35 | 0.35 | 
| Transit time distribution maximum  with IR illumination, µs  | 0.45 | 0.39 | 0.39 | 0.45 | 0.45 | 0.39 | 0.45 | 0.45 | 0.39 | 0.39 | 0.39 | 0.34 | 0.34 | 
Disclaimer/Publisher’s Note: The statements, opinions and data contained in all publications are solely those of the individual author(s) and contributor(s) and not of MDPI and/or the editor(s). MDPI and/or the editor(s) disclaim responsibility for any injury to people or property resulting from any ideas, methods, instructions or products referred to in the content.  | 
© 2023 by the authors. Licensee MDPI, Basel, Switzerland. This article is an open access article distributed under the terms and conditions of the Creative Commons Attribution (CC BY) license (https://creativecommons.org/licenses/by/4.0/).
Share and Cite
Ivanov, V.; Fjodorovs, V.; Hinoverovs, S.; Loutchanski, A.; Ogorodniks, V.; Vidinejevs, S. Investigation of the Influence of Infrared Illumination on the Pulse Shapes of Output Signals of CdZnTe Detectors. Sensors 2023, 23, 9863. https://doi.org/10.3390/s23249863
Ivanov V, Fjodorovs V, Hinoverovs S, Loutchanski A, Ogorodniks V, Vidinejevs S. Investigation of the Influence of Infrared Illumination on the Pulse Shapes of Output Signals of CdZnTe Detectors. Sensors. 2023; 23(24):9863. https://doi.org/10.3390/s23249863
Chicago/Turabian StyleIvanov, Victor, Viktors Fjodorovs, Sergejs Hinoverovs, Anatoli Loutchanski, Vadims Ogorodniks, and Sergejs Vidinejevs. 2023. "Investigation of the Influence of Infrared Illumination on the Pulse Shapes of Output Signals of CdZnTe Detectors" Sensors 23, no. 24: 9863. https://doi.org/10.3390/s23249863
APA StyleIvanov, V., Fjodorovs, V., Hinoverovs, S., Loutchanski, A., Ogorodniks, V., & Vidinejevs, S. (2023). Investigation of the Influence of Infrared Illumination on the Pulse Shapes of Output Signals of CdZnTe Detectors. Sensors, 23(24), 9863. https://doi.org/10.3390/s23249863
        
