Transcranial Ultrasonic Focusing by a Phased Array Based on Micro-CT Images
Abstract
:1. Introduction
2. Modeling Methods and Calculation Results
2.1. Establishment of the Transcranial Model
2.2. Calculation of the Ultrasonic Field
2.3. Influence of Microstructure of Trabecular Bone on Ultrasonic Loss Calculations
2.4. Characterization of the Transmitted Skull Ultrasound Signal
3. Application of Pulse Compression in Transcranial Phased Array Focusing
3.1. The Principle of Pulse Compression
3.2. Design of the Linear Frequency Modulation Barker (LFMB) Code
3.3. Transcranial Ultrasound Phased Array Focusing Based on the Pulse Compression Method
4. Simulation Results
4.1. Comparison of Time Delay Calculations
4.2. Phased Array Focusing with Different Time Delays
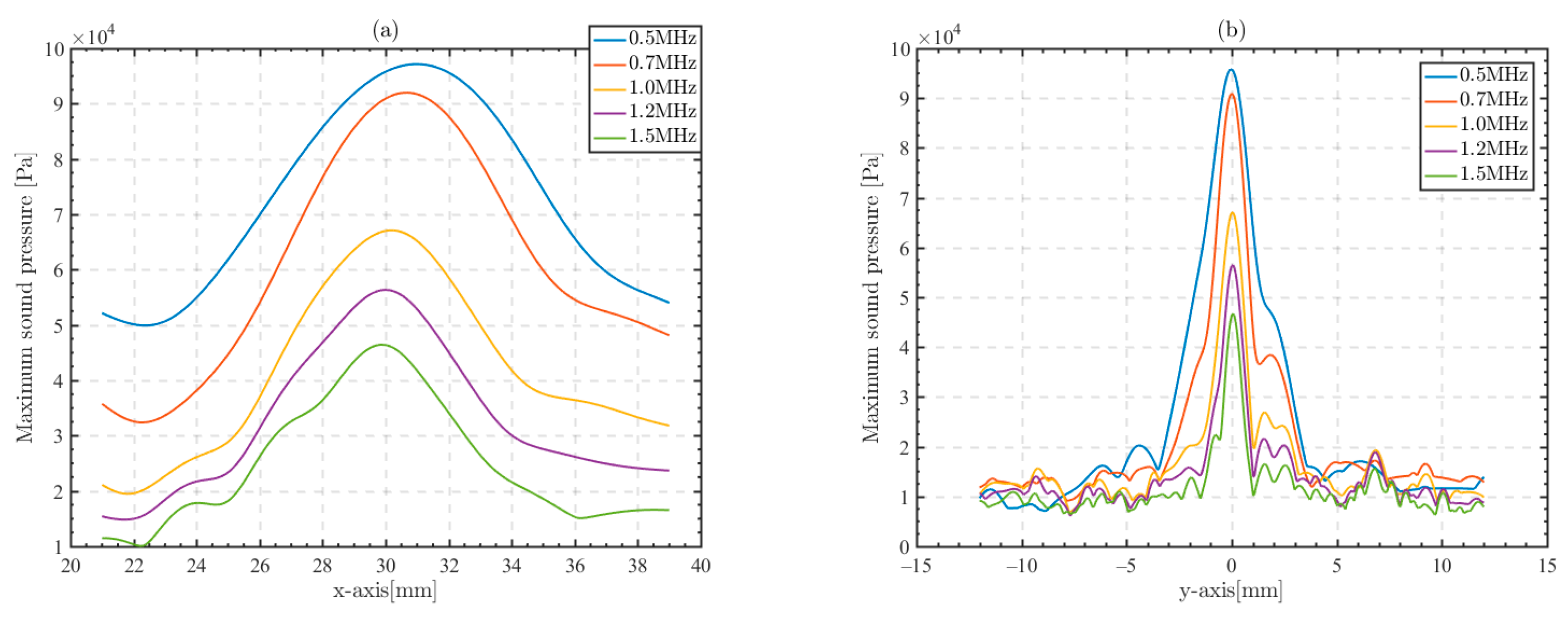
4.3. Effect of Signal Frequency on Focusing
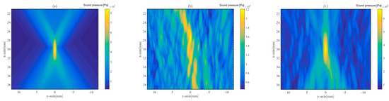
4.4. Focus Depth Modulation and Beam Deflection
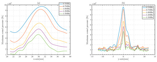
4.5. Effect of Amplitude Regulation
5. Preliminary Experimental Verification
6. Conclusions
Author Contributions
Funding
Institutional Review Board Statement
Informed Consent Statement
Data Availability Statement
Conflicts of Interest
References
- Wang, T.R.; Dallapiazza, R.; Elias, W.J. Neurological applications of transcranial high intensity focused ultrasound. Int. J. Hyperth. 2015, 31, 285–291. [Google Scholar] [CrossRef]
- Coluccia, D.; Fandino, J.; Schwyzer, L.; O’Gorman, R.; Remonda, L.; Anon, J.; Martin, E.; Werner, B. First noninvasive thermal ablation of a brain tumor with MR-guided focused ultrasound. J. Ther. Ultrasound 2014, 2, 17. [Google Scholar] [CrossRef]
- Ghanouni, P.; Pauly, K.B.; Elias, W.J.; Henderson, J.; Sheehan, J.; Monteith, S.; Wintermark, M. Transcranial MRI-Guided Focused Ultrasound: A Review of the Technologic and Neurologic Applications. AJR Am. J. Roentgenol. 2015, 205, 150–159. [Google Scholar] [CrossRef]
- Martin, E.; Jeanmonod, D.; Morel, A.; Zadicario, E.; Werner, B. High-intensity focused ultrasound for noninvasive functional neurosurgery. Ann. Neurol. 2009, 66, 858–861. [Google Scholar] [CrossRef]
- Legon, W.; Sato, T.F.; Opitz, A.; Mueller, J.; Barbour, A.; Williams, A.; Tyler, W.J. Transcranial focused ultrasound modulates the activity of primary somatosensory cortex in humans. Nat. Neurosci. 2014, 17, 322–329. [Google Scholar] [CrossRef]
- Leinenga, G.; Langton, C.; Nisbet, R.; Götz, J. Ultrasound treatment of neurological diseases—Current and emerging applications. Nat. Rev. Neurol. 2016, 12, 161–174. [Google Scholar] [CrossRef] [PubMed]
- Meng, Y.; Volpini, M.; Black, S.; Lozano, A.M.; Hynynen, K.; Lipsman, N. Focused ultrasound as a novel strategy for Alzheimer disease therapeutics. Ann. Neurol. 2017, 81, 611–617. [Google Scholar] [CrossRef]
- Hynynen, K.; Jolesz, F.A. Demonstration of potential noninvasive ultrasound brain therapy through an intact skull. Ultrasound Med. Biol. 1998, 24, 275–283. [Google Scholar] [CrossRef]
- Thomas, J.L.; Fink, M.A. Ultrasonic beam focusing through tissue inhomogeneities with a time reversal mirror: Application to transskull therapy. IEEE Trans. Ultrason. Ferroelectr. Freq. Control 1996, 43, 1122–1129. [Google Scholar] [CrossRef]
- Tanter, M.; Thomas, J.L.; Fink, M. Focusing and steering through absorbing and aberrating layers: Application to ultrasonic propagation through the skull. J. Acoust. Soc. Am. 1998, 103, 2403–2410. [Google Scholar] [CrossRef]
- Clement, G.T.; Hynynen, K. Micro-receiver guided transcranial beam steering. IEEE Trans. Ultrason. Ferroelectr. Freq. Control 2002, 49, 447–453. [Google Scholar] [CrossRef] [PubMed]
- Seip, R.; Vanbaren, P.; Ebbini, E.S. Dynamic focusing in ultrasound hyperthermia treatments using implantable hydrophone arrays. IEEE Trans. Ultrason. Ferroelectr. Freq. Control 1994, 41, 706–713. [Google Scholar] [CrossRef] [PubMed]
- Clement, G.T.; Sun, J.; Giesecke, T.; Hynynen, K. A hemisphere array for non-invasive ultrasound brain therapy and surgery. Phys. Med. Biol. 2000, 45, 3707–3719. [Google Scholar] [CrossRef]
- Aubry, J.F.; Tanter, M.; Pernot, M.; Thomas, J.L.; Fink, M. Experimental demonstration of noninvasive transskull adaptive focusing based on prior computed tomography scans. J. Acoust. Soc. Am. 2003, 113, 84–93. [Google Scholar] [CrossRef] [PubMed]
- Clement, G.T.; Hynynen, K. A non-invasive method for focusing ultrasound through the human skull. Phys. Med. Biol. 2002, 47, 1219–1236. [Google Scholar] [CrossRef] [PubMed]
- Narumi, R.; Matsuki, K.; Mitarai, S.; Azuma, T.; Okita, K.; Sasaki, A.; Yoshinaka, K.; Takagi, S.; Matsumoto, Y. Focus control aided by numerical simulation in heterogeneous media for high-intensity focused ultrasound treatment. Jpn. J. Appl. Phys. 2013, 52, 1044–1055. [Google Scholar] [CrossRef]
- Marquet, F.; Pernot, M.; Aubry, J.F.; Montaldo, G.; Marsac, L.; Tanter, M.; Fink, M. Non-invasive transcranial ultrasound therapy based on a 3D CT scan: Protocol validation and in vitro results. Phys. Med. Biol. 2009, 54, 2597–2613. [Google Scholar] [CrossRef]
- Jing, Y.; Meral, F.C.; Clement, G.T. Time-reversal transcranial ultrasound beam focusing using a k-space method. Phys. Med. Biol. 2012, 57, 901–917. [Google Scholar] [CrossRef]
- Jiang, C.; Li, D.; Xu, F.; Li, Y.; Liu, C.; Ta, D. Numerical evaluation of the influence of skull heterogeneity on transcranial ultrasonic focusing. Front. Neurosci. 2020, 14, 317. [Google Scholar] [CrossRef]
- Clement, G.T.; Hynynen, K. Correlation of ultrasound phase with physical skull properties. Ultrasound Med. Biol. 2002, 28, 617–624. [Google Scholar] [CrossRef]
- Lillie, E.M.; Urban, J.E.; Weaver, A.A.; Powers, A.K.; Stitzel, J.D. Estimation of skull table thickness with clinical CT and validation with micro CT. J. Anat. 2015, 226, 73–80. [Google Scholar] [CrossRef] [PubMed]
- Chaffai, S.; Peyrin, F.; Nuzzo, S.; Porcher, R.; Berger, G.; Laugier, P. Ultrasonic characterization of human cancellous bone using transmission and backscatter measurements: Relationships to density and microstructure. Bone 2002, 30, 229–237. [Google Scholar] [CrossRef] [PubMed]
- Bossy, E.; Laugier, P.; Peyrin, F.; Padilla, F. Attenuation in trabecular bone: A comparison between numerical simulation and experimental results in human femur. J. Acoust. Soc. Am. 2007, 122, 2469–2475. [Google Scholar] [CrossRef] [PubMed]
- Pinton, G.; Aubry, J.F.; Bossy, E.; Muller, M.; Pernot, M.; Tanter, M. Attenuation, scattering, and absorption of ultrasound in the skull bone. Med. Phys. 2012, 39, 299–307. [Google Scholar] [CrossRef]
- Robertson, J.; Urban, J.; Stitzel, J.; Treeby, B.E. The effects of image homogenisation on simulated transcranial ultrasound propagation. Phys. Med. Biol. 2018, 63, 145014. [Google Scholar] [CrossRef] [PubMed]
- Mi, Y.; Kaldun, A.; Meyer, K.; Pfeifer, T. Time-domain pulse compression by interfering time-delay operations. Phys. Rev. A 2013, 88, 053824. [Google Scholar] [CrossRef]
- Yin, Y.; Yan, S.; Huang, J.; Zhang, B. Research on focusing methods and sound field characteristics of transcranial ultrasound focusing. Chin. J. Acoust. 2023, 48, 162–172. [Google Scholar]
- Montanaro, H.; Pasquinelli, C.; Lee, H.J.; Kim, H.; Siebner, H.R.; Kuster, N.; Thielscher, A.; Neufeld, E. The impact of CT image parameters and skull heterogeneity modeling on the accuracy of transcranial focused ultrasound simulations. J. Neural. Eng. 2021, 18, 046041. [Google Scholar] [CrossRef]
- Treeby, B.E.; Cox, B.T. k-Wave: MATLAB toolbox for the simulation and reconstruction of photoacoustic wave fields. J. Biomed. Opt. 2010, 15, 021314. [Google Scholar] [CrossRef]
- Treeby, B.E.; Jaros, J.; Rendell, A.P.; Cox, B.T. Modeling nonlinear ultrasound propagation in heterogeneous media with power law absorption using a k-space pseudospectral method. J. Acoust. Soc. Am. 2012, 131, 4324–4336. [Google Scholar] [CrossRef]
- Pinton, G.F.; Dahl, J.; Rosenzweig, S.; Trahey, G.E. A heterogeneous nonlinear attenuating full-wave model of ultrasound. IEEE Trans. Ultrason. Ferroelectr. Freq. Control 2009, 56, 474–488. [Google Scholar] [CrossRef] [PubMed]
- Almquist, S.; Parker, D.L.; Christensen, D.A. Rapid full-wave phase aberration correction method for transcranial high-intensity focused ultrasound therapies. J. Ther. Ultrasound 2016, 4, 30. [Google Scholar] [CrossRef] [PubMed]
- Aubry, J.F.; Bates, O.; Boehm, C.; Pauly, K.B.; Christensen, D.; Cueto, C.; Gélat, P.; Guasch, L.; Jaros, J.; Jing, Y.; et al. Benchmark problems for transcranial ultrasound simulation: Intercomparison of compressional wave models. J. Acoust. Soc. Am. 2022, 152, 1003. [Google Scholar] [CrossRef]
- Treeby, B.E.; Cox, B.T. Modeling power law absorption and dispersion for acoustic propagation using the fractional Laplacian. J. Acoust. Soc. Am. 2010, 127, 2741–2748. [Google Scholar] [CrossRef] [PubMed]
- Hoffmeister, B.K.; Main, E.N.; Newman, W.R.; Ebron, S.C.; Huang, J. Frequency dependence of the ultrasonic power reflected from the water-tissue interface of human cancellous bone in vitro. J. Acoust. Soc. Am. 2022, 152, 2082. [Google Scholar] [CrossRef] [PubMed]
- Treeby, B.E.; Tumen, M.; Cox, B.T. Time domain simulation of harmonic ultrasound images and beam patterns in 3D using the k-space pseudospectral method. Med. Image Comput. Comput. Assist. Interv. 2011, 14 Pt 1, 363–370. [Google Scholar] [PubMed]
- Tillett, J.C.; Daoud, M.I.; Lacefield, J.C.; Waag, R.C. A k-space method for acoustic propagation using coupled first-order equations in three dimensions. J. Acoust. Soc. Am. 2009, 126, 1231–1244. [Google Scholar] [CrossRef] [PubMed]
- Wang, X.; Lin, W.; Su, C.; Wang, X. Influence of mode conversions in the skull on transcranial focused ultrasound and temperature fields utilizing the wave field separation method: A numerical study. Chin. Phys. B 2018, 27, 024302. [Google Scholar] [CrossRef]
- Su, C.; Cui, H.Y.; Wang, X.D.; Lin, W.J. Numerical simulations and experiments of transcranial ultrasound focusing through a monkey skull. In Proceedings of the 25th International Congress on Sound and Vibration, Hiroshima, Japan, 8–12 July 2018. [Google Scholar]
- Wang, X.; Su, C.; Lin, W.; Wang, X. Influence of shear waves on transcranial focused ultrasound usingtime-reversal-based phase modulations. J. Appl. Acoust. 2018, 37, 315–323. [Google Scholar]
- Dai, Y.; Yan, S.; Zhang, B. Ultrasonic beam focusing characteristics of shear-vertical waves for contact-type linear phased array in solid. Chin. Phys. B 2020, 29, 034304. [Google Scholar] [CrossRef]
- White, P.J.; Clement, G.T.; Hynynen, K. Longitudinal and shear mode ultrasound propagation in human skull bone. Ultrasound Med. Biol. 2006, 32, 1085–1096. [Google Scholar] [CrossRef] [PubMed]
- Clement, G.T.; White, P.J.; Hynynen, K. Enhanced ultrasound transmission through the human skull using shear mode conversion. J. Acoust. Soc. Am. 2004, 115, 1356–1364. [Google Scholar] [CrossRef] [PubMed]
- Jing, B.; Strassle Rojas, S.; Lindsey, B.D. Effect of skull porosity on ultrasound transmission and wave mode conversion at large incidence angles. Med. Phys. 2023, 50, 3092–3102. [Google Scholar] [CrossRef] [PubMed]
- Pinton, G.; Aubry, J.F.; Fink, M.; Tanter, M. Effects of nonlinear ultrasound propagation on high intensity brain therapy. Med. Phys. 2011, 38, 1207–1216. [Google Scholar] [CrossRef] [PubMed]
- Marsac, L.; Chauvet, D.; La Greca, R.; Boch, A.-L.; Chaumoitre, K.; Tanter, M.; Aubry, J.-F. Ex vivo optimisation of a heterogeneous speed of sound model of the human skull for non-invasive transcranial focused ultrasound at 1 MHz. Int. J. Hyperth. 2017, 33, 635–645. [Google Scholar] [CrossRef] [PubMed]
- Hosokawa, A. Ultrasonic pulse waves in cancellous bone analyzed by finite-difference time-domain methods. Ultrasonics 2006, 44 (Suppl. S1), e227–e231. [Google Scholar] [CrossRef] [PubMed]
- Bossy, E.; Padilla, F.; Peyrin, F.; Laugier, P. Three-dimensional simulation of ultrasound propagation through trabecular bone structures measured by synchrotron microtomography. Phys. Med. Biol. 2005, 50, 5545–5556. [Google Scholar] [CrossRef]
- Zhang, B.; Zhang, P.; Yan, S.; Huang, J. Research progress of ultrasonic imaging detection. J. Shaanxi Norm. Univ. (Nat. Sci. Ed.) 2022, 50, 1–16. [Google Scholar]
- Guo, Z.; Yan, S.; Zhang, B. Simulation of acoustic fields generated by ultrasonic phased array in multilayered medium. J. Appl. Acoust. 2019, 38, 788–794. [Google Scholar]
- Cai, M.; Shi, F.; Zhang, B. Multi-frequency pulse compression method based on ultrasonic array. Chin. J. Acoust. 2017, 42, 186–194. [Google Scholar]
- Zhang, B.; Cai, M.; Shi, F.; Kong, C. High precision phased transmission of commonly used excitation waveforms in ultrasonic testing. J. Appl. Acoust. 2015, 34, 526–532. [Google Scholar]
- Li, C.; Zhang, B.; Shi, F.; Xie, F. Research on the imaging of concrete defect based on the pulse compression technique. Appl. Geophys. 2013, 10, 337–348. [Google Scholar] [CrossRef]
- Li, C.; Zhang, B.; Shi, F. Elastic wave velocity inspection for rocks by pulse compression method. Rock Soil Mech. 2013, 34, 1815–1821. [Google Scholar]
- Misaridis, T.; Jensen, J.A. Use of modulated excitation signals in medical ultrasound. Part I: Basic concepts and expected benefits. IEEE Trans. Ultrason. Ferroelectr. Freq. Control 2005, 52, 177–191. [Google Scholar] [CrossRef]
- Misaridis, A.; Jensen, J.A. Ultrasound Imaging Using Coded Signals; Department of Electrical Engineering, Technical University of Denmark: Kongens Lyngby, Denmark, 2001. [Google Scholar]
- Fu, J.; Wei, G.; Huang, Q.; Ji, F.; Feng, Y. Barker coded excitation with linear frequency modulated carrier for ultrasonic imaging. Biomed. Signal Process. Control 2014, 13, 306–312. [Google Scholar] [CrossRef]
- Ding, X.; Wang, Y.; Zhang, Q.; Zhou, W.; Wang, P.; Luo, M.; Jian, X. Modulation of transcranial focusing thermal deposition in nonlinear HIFU brain surgery by numerical simulation. Phys. Med. Biol. 2015, 60, 3975–3998. [Google Scholar] [CrossRef]
















Disclaimer/Publisher’s Note: The statements, opinions and data contained in all publications are solely those of the individual author(s) and contributor(s) and not of MDPI and/or the editor(s). MDPI and/or the editor(s) disclaim responsibility for any injury to people or property resulting from any ideas, methods, instructions or products referred to in the content. |
© 2023 by the authors. Licensee MDPI, Basel, Switzerland. This article is an open access article distributed under the terms and conditions of the Creative Commons Attribution (CC BY) license (https://creativecommons.org/licenses/by/4.0/).
Share and Cite
Yin, Y.; Yan, S.; Huang, J.; Zhang, B. Transcranial Ultrasonic Focusing by a Phased Array Based on Micro-CT Images. Sensors 2023, 23, 9702. https://doi.org/10.3390/s23249702
Yin Y, Yan S, Huang J, Zhang B. Transcranial Ultrasonic Focusing by a Phased Array Based on Micro-CT Images. Sensors. 2023; 23(24):9702. https://doi.org/10.3390/s23249702
Chicago/Turabian StyleYin, Yuxin, Shouguo Yan, Juan Huang, and Bixing Zhang. 2023. "Transcranial Ultrasonic Focusing by a Phased Array Based on Micro-CT Images" Sensors 23, no. 24: 9702. https://doi.org/10.3390/s23249702
APA StyleYin, Y., Yan, S., Huang, J., & Zhang, B. (2023). Transcranial Ultrasonic Focusing by a Phased Array Based on Micro-CT Images. Sensors, 23(24), 9702. https://doi.org/10.3390/s23249702
