Designing a Compact Dual-Band, Dual-Polarized Antenna for Biotelemetry Communications Using the Characteristic Mode Method
Abstract
:1. Introduction
2. Antenna Design and Optimization
2.1. Antenna Geometry
2.2. Evolution of Antenna Geometry
- (1)
 - Because of the slots, the dimensions of the antenna are reduced for equal operating frequencies.
 - (2)
 - Two operating bands can be produced by cutting I-shaped grooves into the right side of the rectangular radiation patch.
 - (3)
 - The cross grooves cut on the GND allow for better tuning of the resonant frequency and CP performance.
 
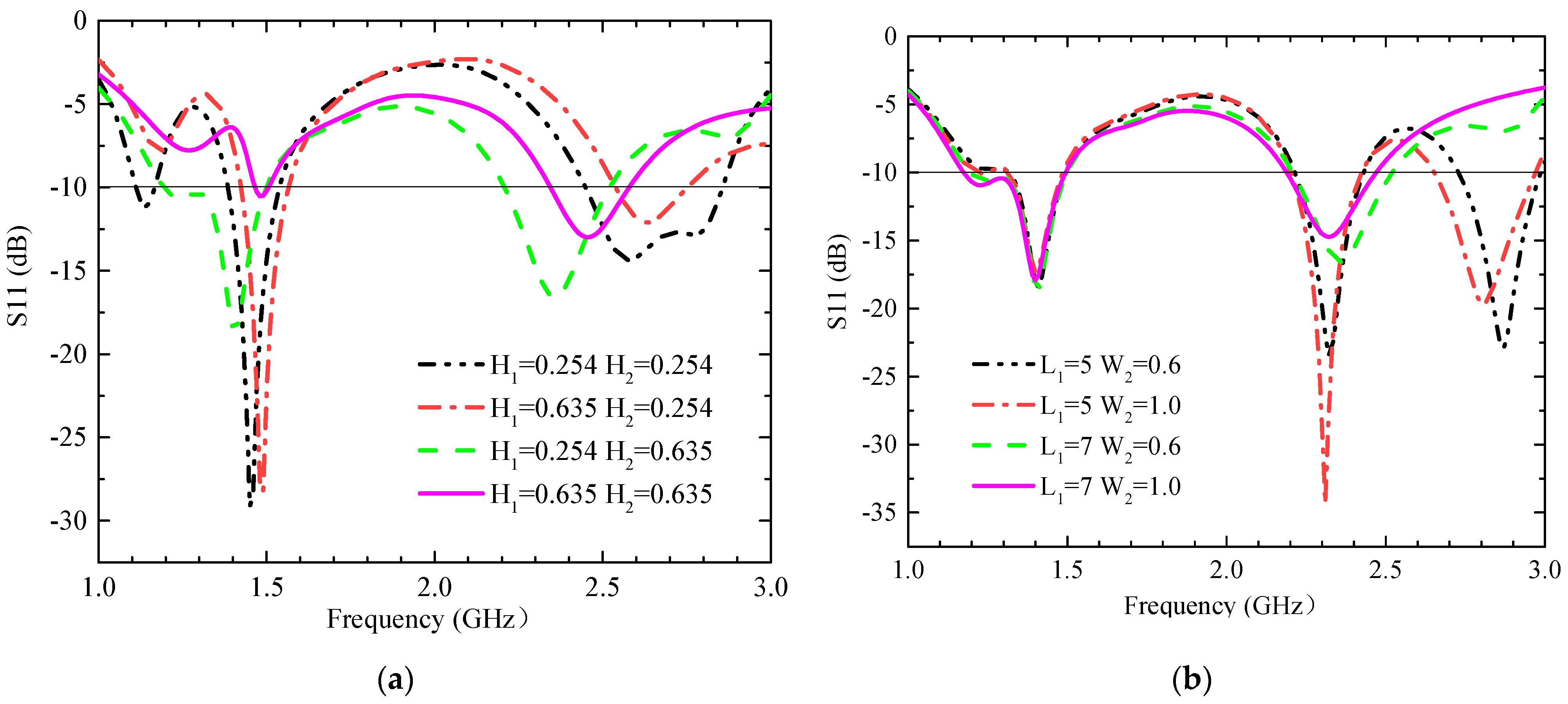
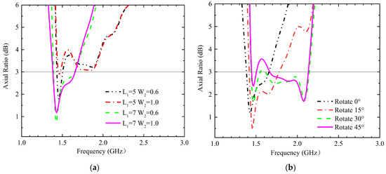
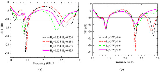
2.3. Parameter Optimization
3. Analysis of Simulation Results
3.1. Working Mechanism of the Antenna
3.2. Radiation Pattern and SAR
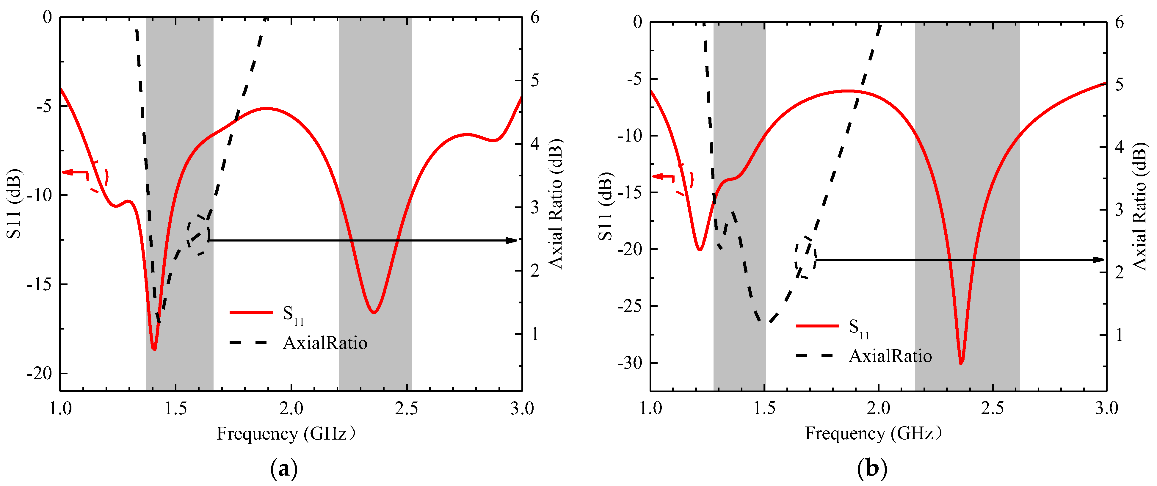
4. Measurement Results Analysis
5. Link Budget
6. Conclusions
Author Contributions
Funding
Institutional Review Board Statement
Informed Consent Statement
Data Availability Statement
Acknowledgments
Conflicts of Interest
References
- Yang, C.-L.; Tsai, C.-L.; Cheng, K.-T.; Chen, S.-H. Low-Invasive Implantable Devices of Low-Power Consumption Using High-Efficiency Antennas for Cloud Health Care. IEEE J. Emerg. Sel. Top. Circuits Syst. 2012, 2, 14–23. [Google Scholar] [CrossRef]
 - Hassan, R.S.; Lee, J.; Kim, S. A minimally invasive implantable sensor for continuous wireless glucose monitoring based on a passive resonator. IEEE Antennas Wirel. Propag. Lett. 2020, 19, 124–128. [Google Scholar] [CrossRef]
 - Karacolak, T.; Hood, A.Z.; Topsakal, E. Design of a dual-band implantable antenna and development of skin mimicking gels for continuous glucose monitoring. IEEE Trans. Microw. Theory Tech. 2008, 56, 1001–1008. [Google Scholar] [CrossRef]
 - Zou, L.; McLeod, C.; Bahmanyar, M.R. Wireless interrogation of implantable SAW sensors. IEEE Trans. Biomed. Eng. 2020, 67, 1409–1417. [Google Scholar] [CrossRef]
 - Kiourti, A.; Nikita, K.S. A review of implantable patch antennas for biomedical telemetry: Challenges and solutions. IEEE Antennas Propag. Mag. 2012, 54, 210–228. [Google Scholar] [CrossRef]
 - Li, R.; Guo, Y.-X.; Zhang, B.; Du, G. A Miniaturized Circularly Polarized Implantable Annular-Ring Antenna. IEEE Antennas Wirel. Propag. Lett. 2017, 16, 2566–2569. [Google Scholar] [CrossRef]
 - Liu, C.; Guo, Y.-X.; Xiao, S. A Hybrid Patch/Slot Implantable Antenna for Biotelemetry Devices. IEEE Antennas Wirel. Propag. Lett. 2012, 11, 1646–1649. [Google Scholar] [CrossRef]
 - Faisal, F.; Zada, M.; Yoo, H.; Mabrouk, I.B.; Chaker, M.; Djerafi, T. An Ultra-Miniaturized Antenna with Ultra-Wide Bandwidth for Future Cardiac Leadless Pacemaker. IEEE Trans. Antennas Propag. 2022, 70, 5923–5928. [Google Scholar] [CrossRef]
 - Cui, W.; Liu, R.; Wang, L.; Wang, M.; Zheng, H.; Li, E. Design of Wideband Implantable Antenna for Wireless Capsule Endoscope System. IEEE Antennas Wirel. Propag. Lett. 2019, 18, 2706–2710. [Google Scholar] [CrossRef]
 - Zhang, Y.; Liu, C.; Liu, X.; Zhang, K.; Yang, X. A Wideband Circularly Polarized Implantable Antenna for 915 MHz ISM-Band Biotelemetry Devices. IEEE Antennas Wirel. Propag. Lett. 2018, 17, 1473–1477. [Google Scholar] [CrossRef]
 - Shah, S.A.A.; Yoo, H. Scalp-Implantable Antenna Systems for Intracranial Pressure Monitoring. IEEE Trans. Antennas Propag. 2018, 66, 2170–2173. [Google Scholar] [CrossRef]
 - Liu, C.; Guo, Y.X.; Jegadeesan, R.; Xiao, S. In Vivo Testing of Circularly Polarized Implantable Antennas in Rats. IEEE Antennas Wirel. Propag. Lett. 2015, 14, 783–786. [Google Scholar] [CrossRef]
 - Samanta, G.; Mitra, D. Dual-band circular polarized flexible implantable antenna using reactive impedance substrate. IEEE Trans. Antennas Propag. 2019, 67, 4218–4223. [Google Scholar] [CrossRef]
 - Ta, S.X.; Nguyen, T.K. AR bandwidth and gain enhancements of patch antenna using single dielectric superstrate. Electron. Lett. 2017, 53, 1015–1017. [Google Scholar] [CrossRef]
 - Yamac, Y.E.; Ciflik, M.; Basaran, S.C. Miniaturized multiband implantable antenna designs for in-body compact medical devices. Int. J. RF Microw. Comput. Aided Eng. 2022, 32, e23335. [Google Scholar] [CrossRef]
 - Xu, L.J.; Chu, Z.J.; Zhu, L.; Xu, J.P.; Duan, Z. Design and Analysis of Dual-Band Implantable Antennas Based on Effective Relative Permittivity Calculation. IEEE Trans. Antennas Propag. 2021, 69, 2463–2472. [Google Scholar] [CrossRef]
 - Kangeyan, R.; Karthikeyan, M. Miniaturized meander-line dual-band implantable antenna for biotelemetry applications. ETRI J. 2023. [Google Scholar] [CrossRef]
 - Ganeshwaran, N.; Jeyaprakash, J.; Alsath, M.; Sathyanarayanan, V. Design of a dual-band circular implantable antenna for biomedical applications. IEEE Antennas Wirel. Propag. Lett. 2020, 19, 119–123. [Google Scholar] [CrossRef]
 - Valanarasi, A.; Dhanasekaran, R. Optimum Band ε Shaped Miniature Implantable Antennas for Telemetry Applications. IEEE Trans. Antennas Propag. 2021, 69, 55–63. [Google Scholar] [CrossRef]
 - Green, R.B.; Hays, M.; Mangino, M.; Topsakal, E. An Anatomical Model for the Simulation and Development of Subcutaneous Implantable Wireless Devices. IEEE Trans. Antennas Propag. 2020, 68, 7170–7178. [Google Scholar] [CrossRef]
 - Kangeyan, R.; Karthikeyan, M. Implantable dual band semi-circular slotted patch with DGS antenna for biotelemetry applications. Microw. Opt. Technol. Lett. 2023, 65, 225–230. [Google Scholar] [CrossRef]
 - Tung, L.V.; Seo, C. A miniaturized implantable antenna for wireless power transfer and communication in biomedical applications. J. Electromagn. Eng. Sci. 2022, 22, 440–446. [Google Scholar] [CrossRef]
 - Li, H.; Guo, Y.X.; Xiao, S.Q. Broadband circularly polarized implantable antenna for biomedical applications. Electron. Lett. 2016, 52, 504–506. [Google Scholar] [CrossRef]
 - Yang, Z.J.; Xiao, S.Q.; Zhu, L.; Wang, B.Z.; Tu, H.L. A circularly polarized implantable antenna for 2.4-GHz ISM band biomedical applications. IEEE Antennas Wirel. Propag. Lett. 2017, 16, 2554–2557. [Google Scholar] [CrossRef]
 - Liu, C.; Zhang, Y.D.; Liu, X.G. Circularly polarized implantable antenna for 915 MHz ISM-band far-field wireless power transmission. IEEE Antennas Wireless Propag. Lett. 2018, 17, 373–376. [Google Scholar] [CrossRef]
 - Liu, R.; Zhang, K.; Li, Z.; Cui, W.; Liang, W.; Wang, M.; Fan, C.; Zheng, H.; Li, E. A wideband circular polarization implantable antenna for health monitor microsystem. IEEE Antennas Wirel. Propag. Lett. 2021, 20, 848–852. [Google Scholar] [CrossRef]
 - Liu, X.Y.; Wu, Z.T.; Fan, Y.; Tentzeris, E.M. A Miniaturized CSRR Loaded Wide-Beamwidth Circularly Polarized Implantable Antenna for Subcutaneous Real-Time Glucose Monitoring. IEEE Antennas Wirel. Propag. Lett. 2017, 16, 577–580. [Google Scholar] [CrossRef]
 - Gabriel, S.; Lau, R.; Gabriel, C. The dielectric properties of biological tissues. Phys. Med. Biol. 1996, 41, 2231–2293. [Google Scholar] [CrossRef]
 - Liu, Z.; Hall, P.S.; Wake, D. Dual-frequency planar inverted-F antenna. IEEE Trans. Antennas Propag. 1997, 45, 1451–1458. [Google Scholar]
 - IEEE Standard C95.1; IEEE Standard for Safety Levels with Respect to Human Exposure to Radio Frequency Electromagnetic Fields, 3 KHz to 300 GHz. IEEE: Piscataway, NJ, USA, 1999.
 - Liu, K.; Liu, R.; Cui, W.; Zhang, K.; Wang, M.; Fan, C.; Zheng, H.; Li, E. Design of conformal spiral dual-band antenna for wireless capsule system. IEEE Access 2021, 9, 117349–117357. [Google Scholar] [CrossRef]
 













| Ref. | Vol. (mm3)  | Freq. (GHz)  | Bandwidth (MHz)  | Gain (dBi) | SAR (1-g) | CP | 
|---|---|---|---|---|---|---|
| [6] | 120.69 | 2.45 | 203 | −22.7 | 733.5 | Yes | 
| [15] | 102.87 | 104 2.45  | 150 158  | −29.98 −33.07  | 507 436  | No No  | 
| [16] | 103.7 | 1.4 2.45  | 150 540  | −32 −31.6  | 702 781  | Yes No  | 
| [17] | 127 | 1.4 2.45  | 50 153  | −37 −21  | 215 565  | No No  | 
| [19] | 154.88 | 1.4 2.45  | 45 60.7  | −25.7 −39.9  | N/A N/A  | No No  | 
| [20] | 614.4 | 1.4 2.45  | 37 100  | −13.25 −11.3  | N/A N/A  | No No  | 
| [21] | 91.4 | 1.4 2.45  | 190 370  | −29.4 −21.2  | 500 686  | No No  | 
| This Work  | 47.4 | 1.4 2.45  | 310 310  | −24.6 −23.8  | 452 358  | Yes No  | 
| Parameter | Value | Parameter | Value | Parameter | Value | 
|---|---|---|---|---|---|
| W | 7.2 | L | 7.4 | W1 | 7 | 
| W2 | 0.6 | W3 | 0.7 | W4 | 2.25 | 
| W5 | 3.05 | W6 | 3.9 | W7 | 4.85 | 
| W8 | 4.2 | W9 | 4.1 | W10 | 0.4 | 
| L1 | 7 | L2 | 6 | L3 | 5.6 | 
| L4 | 7.1 | L5 | 7.2 | L6 | 5 | 
| H1 | 0.635 | H2 | 0.254 | 
| Tissue\Frequency | 1.4 GHz | 2.45 GHz | ||
|---|---|---|---|---|
| εr | σ (s/m) | εr | σ (s/m) | |
| Skin | 39.66 | 1.036 | 38.0 | 1.464 | 
| Fat | 5.56 | 0.041 | 5.28 | 0.104 | 
| Muscle | 54.1 | 1.14 | 52.729 | 1.73 | 
| Case | (1) | (2) | (3) | 
|---|---|---|---|
| Top View | ![]()  | ![]()  | ![]()  | 
| Bottom View | ![]()  | ![]()  | ![]()  | 
| Transmitter | ||
|---|---|---|
| Operating frequency | 1.4 GHz | 2.45 GHz | 
| Tx power Pt (dBm) | 4.24 | 5.02 | 
| Tx antenna gain Gt (dBi) | −18.8 | −19.1 | 
| Receiver | ||
| Rx antenna Gain Gr (dBi) | 2.15 | 2.15 | 
| Polarization | CP | CP | 
| Ambient temperature T0 (K) | 293 | 293 | 
| Receiver noise figure NF (dB) | 3.5 | 3.5 | 
| Boltzmann constant k | 1.38 × 10−23 | 1.38 × 10−23 | 
| Noise power density (dB/Hz) | −199.95 | −199.95 | 
| Signal Quality | ||
| Bite rate Br (Mb/s) | 1 | 1 | 
| Bite error rate | 1.0 × 10−5 | 1.0 × 10−5 | 
| Eb/N0 (ideal BPSK) (dB) | 9.6 | 9.6 | 
| Coding gain (dB) | 0 | 0 | 
| Fixing deterioration Gd (dB) | 2.5 | 2.5 | 
Disclaimer/Publisher’s Note: The statements, opinions and data contained in all publications are solely those of the individual author(s) and contributor(s) and not of MDPI and/or the editor(s). MDPI and/or the editor(s) disclaim responsibility for any injury to people or property resulting from any ideas, methods, instructions or products referred to in the content.  | 
© 2023 by the authors. Licensee MDPI, Basel, Switzerland. This article is an open access article distributed under the terms and conditions of the Creative Commons Attribution (CC BY) license (https://creativecommons.org/licenses/by/4.0/).
Share and Cite
Xu, X.; Song, Z.; Wang, Y. Designing a Compact Dual-Band, Dual-Polarized Antenna for Biotelemetry Communications Using the Characteristic Mode Method. Sensors 2023, 23, 9094. https://doi.org/10.3390/s23229094
Xu X, Song Z, Wang Y. Designing a Compact Dual-Band, Dual-Polarized Antenna for Biotelemetry Communications Using the Characteristic Mode Method. Sensors. 2023; 23(22):9094. https://doi.org/10.3390/s23229094
Chicago/Turabian StyleXu, Xiaoming, Zhiwei Song, and Yuchao Wang. 2023. "Designing a Compact Dual-Band, Dual-Polarized Antenna for Biotelemetry Communications Using the Characteristic Mode Method" Sensors 23, no. 22: 9094. https://doi.org/10.3390/s23229094
APA StyleXu, X., Song, Z., & Wang, Y. (2023). Designing a Compact Dual-Band, Dual-Polarized Antenna for Biotelemetry Communications Using the Characteristic Mode Method. Sensors, 23(22), 9094. https://doi.org/10.3390/s23229094
        

       




