Lossless Data Compression for Time-Series Sensor Data Based on Dynamic Bit Packing
Abstract
:1. Introduction
- We propose a time-series data compression technique based on bit packing by dynamically determining the size of the bit pack based on the pattern of the bit depth level of the sensor data.
- Our proposal effectively addresses the spatial inefficiency caused by unpredictable outliers during time-series data compression, and BDC offers high compression efficiency, allowing for storage space savings and optimizing network bandwidth utilization while transmitting large volumes of data.
2. Background and Related Literature
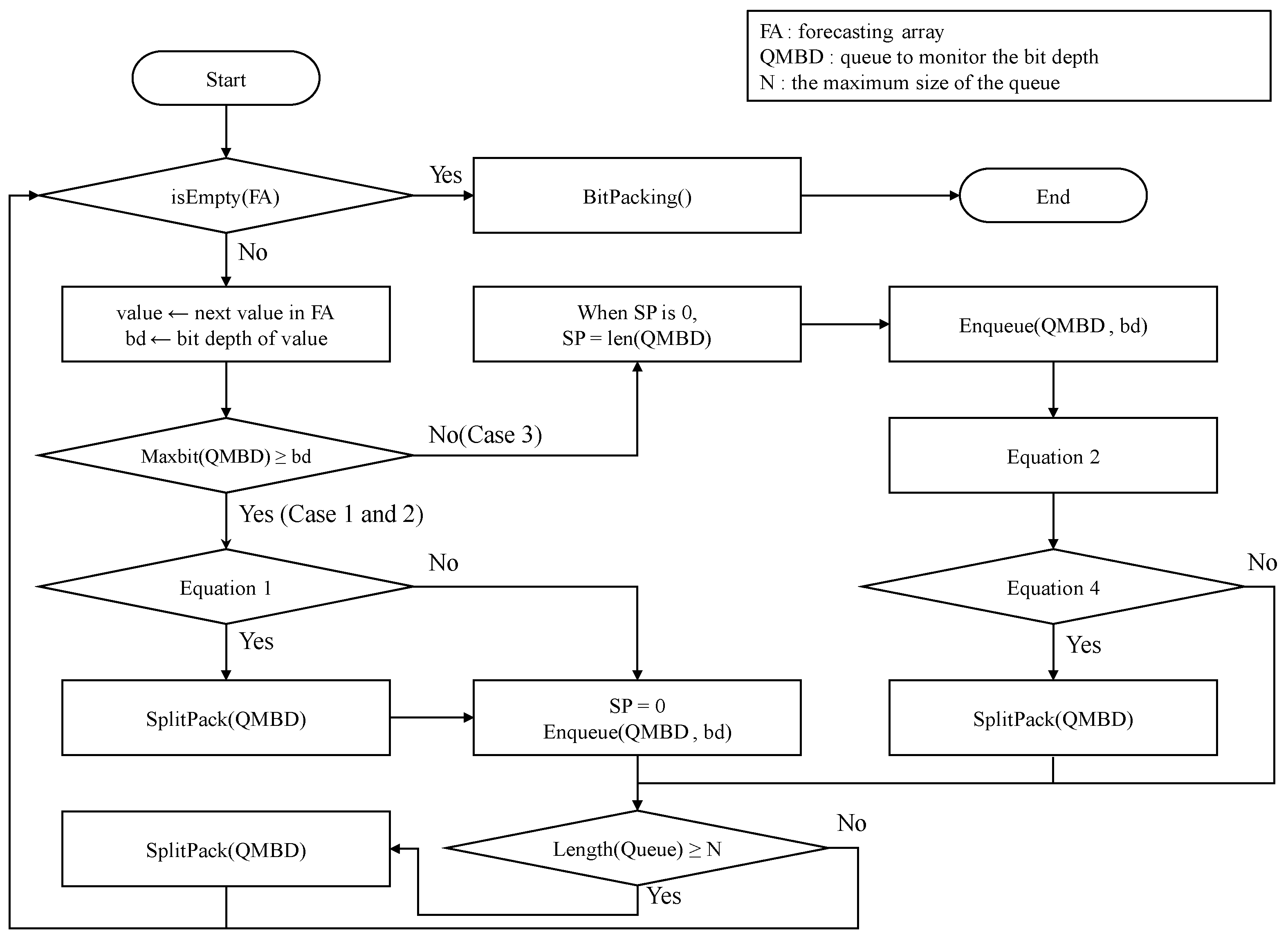
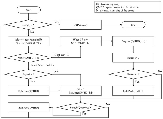
3. Data Compression Technique Based on Dynamic Bit Packing Using Bit Depth
3.1. Structure of BDC
3.2. Procedure of the BDC
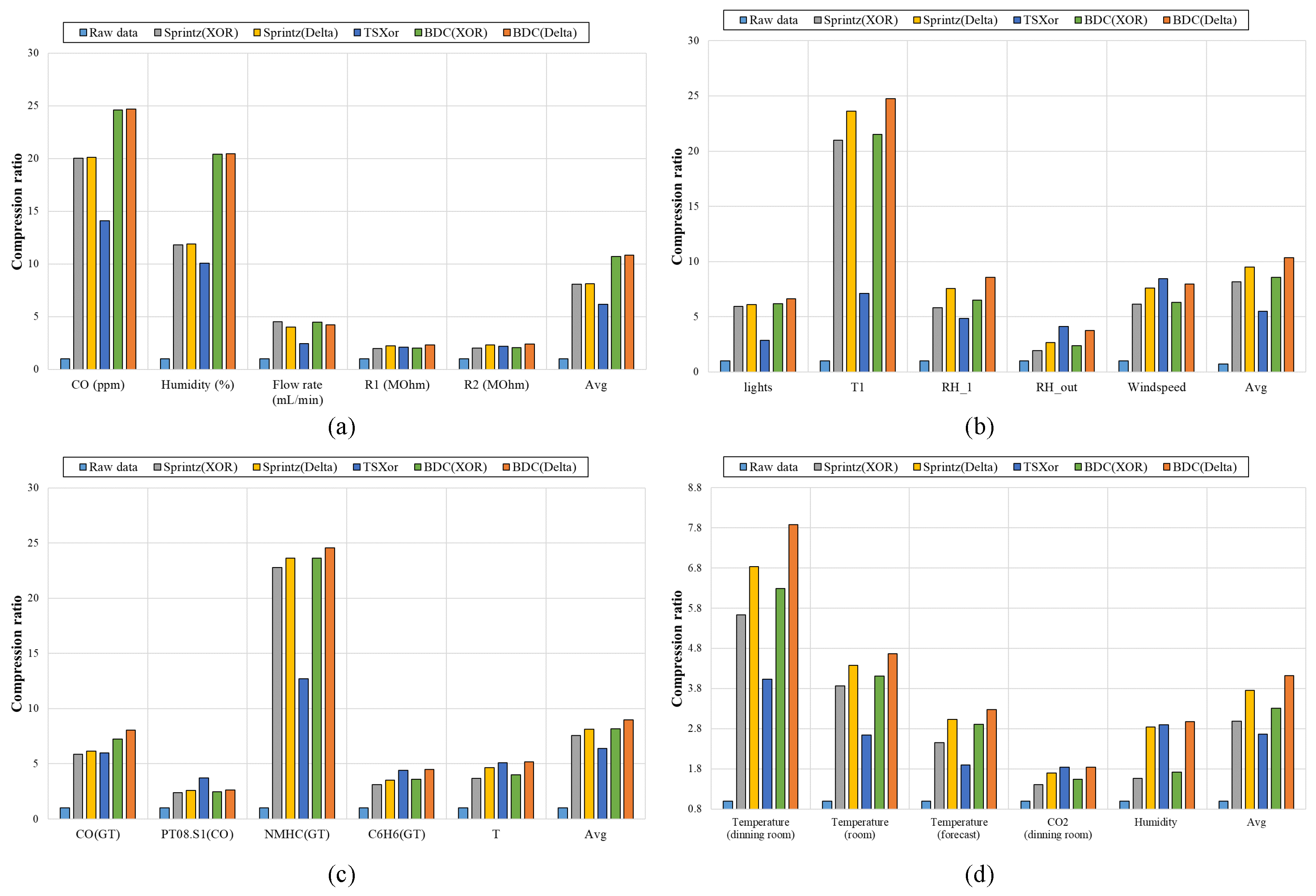
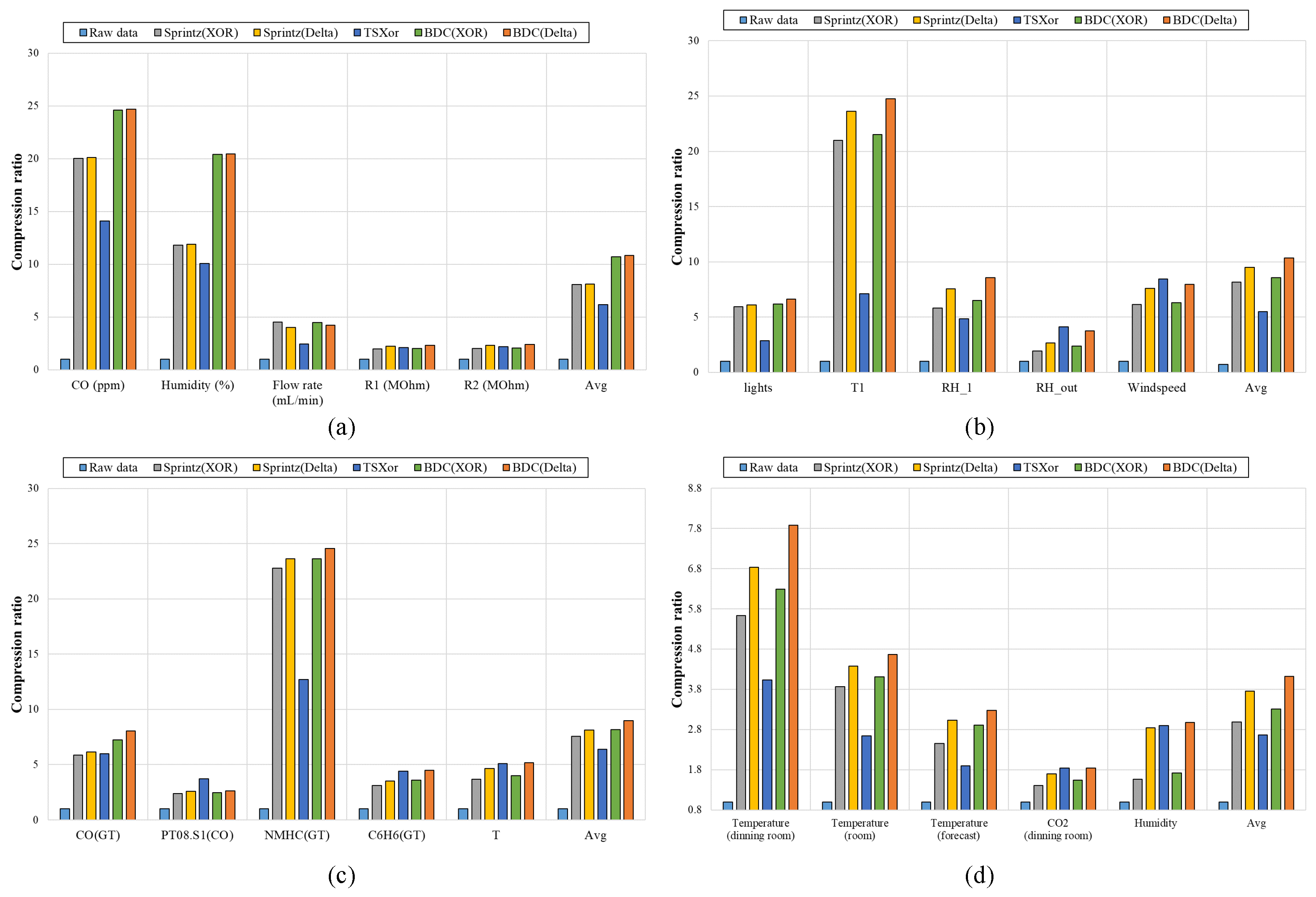
4. Performance Evaluation
4.1. Datasets
4.2. Experimental Results and Discussion
5. Conclusions
Author Contributions
Funding
Institutional Review Board Statement
Informed Consent Statement
Data Availability Statement
Conflicts of Interest
References
- Chowdhury, M.R.; Tripathi, S.; De, S. Adaptive multivariate data compression in smart metering Internet of Things. IEEE Trans. Ind. Inform. 2020, 17, 1287–1297. [Google Scholar] [CrossRef]
- Jensen, S.K.; Pedersen, T.B.; Thomsen, C. Time series management systems: A survey. IEEE Trans. Knowl. Data Eng. 2017, 29, 2581–2600. [Google Scholar] [CrossRef]
- Biagetti, G.; Crippa, P.; Falaschetti, L.; Mansour, A.; Turchetti, C. Energy and Performance Analysis of Lossless Compression Algorithms for Wireless EMG Sensors. Sensors 2021, 21, 5160. [Google Scholar] [CrossRef] [PubMed]
- Chirikhin, K.; Ryabko, B. Compression-Based Methods of Time Series Forecasting. Mathematics 2021, 9, 284. [Google Scholar] [CrossRef]
- Gartner Report: Leading the IoT. Gartner. 2017. Available online: https://www.gartner.com/en/documents/4004741 (accessed on 19 July 2023).
- Mahmood, N.H.; Böcker, S.; Munari, A.; Clazzer, F.; Moerman, I.; Mikhaylov, K.; Lopez, O.; Park, O.S.; Mercier, E.; Bartz, H.; et al. White paper on critical and massive machine type communication towards 6G. arXiv 2020, arXiv:2004.14146. [Google Scholar]
- y Alvarez, G.D.; Favaro, F.; Lecumberry, F.; Martin, A.; Oliver, J.P.; Oreggioni, J.; Ramirez, I.; Seroussi, G.; Steinfeld, L. Wireless EEG system achieving high throughput and reduced energy consumption through lossless and near-lossless compression. IEEE Trans. Biomed. Circuits Syst. 2018, 12, 231–241. [Google Scholar] [CrossRef]
- Deepu, C.J.; Heng, C.H.; Lian, Y. A hybrid data compression scheme for power reduction in wireless sensors for IoT. IEEE Trans. Biomed. Circuits Syst. 2016, 11, 245–254. [Google Scholar] [CrossRef]
- Chandak, S.; Tatwawadi, K.; Wen, C.; Wang, L.; Ojea, J.A.; Weissman, T. LFZip: Lossy compression of multivariate floating-point time series data via improved prediction. In Proceedings of the 2020 Data Compression Conference (DCC), Snowbird, UT, USA, 24–27 March 2020. [Google Scholar]
- Marisa, T.; Niederhauser, T.; Haeberlin, A.; Wildhaber, R.A.; Vogel, R.; Jacomet, M.; Goette, J. Bufferless compression of asynchronously sampled ECG signals in cubic Hermitian vector space. IEEE Trans. Biomed. Eng. 2015, 62, 2878–2887. [Google Scholar] [CrossRef]
- Tao, D.; Di, S.; Chen, Z.; Cappello, F. Exploration of pattern-matching techniques for lossy compression on cosmology simulation data sets. In Proceedings of the International Conference on High Performance Computing, Frankfurt, Germany, 18–22 June 2017; Springer: Cham, Switzerland, 2017. [Google Scholar]
- Azar, J.; Makhoul, A.; Barhamgi, M.; Couturier, R. An energy efficient IoT data compression approach for edge machine learning. Future Gener. Comput. Syst. 2019, 96, 168–175. [Google Scholar] [CrossRef]
- Sun, J.; Yan, T.; Sun, H.; Lin, H.; Sun, G. Lossy Compression of Communication Traces Using Recurrent Neural Networks. IEEE Trans. Parallel Distrib. Syst. 2021, 33, 3106–3116. [Google Scholar] [CrossRef]
- Zheng, Z.; Zhang, Z. A temporal convolutional recurrent autoencoder based framework for compressing time series data. Appl. Soft Comput. 2023, 147, 110797. [Google Scholar] [CrossRef]
- Yan, L.; Han, J.; Xu, R.; Li, Z. Model-Free Lossless Data Compression for Real-Time Low-Latency Transmission in Smart Grids. IEEE Trans. Smart Grid 2021, 12, 2601–2610. [Google Scholar] [CrossRef]
- Huffman, D.A. A Method for the Construction of Minimum-Redundancy Codes. Proc. Inst. Radio Eng. 1952, 40, 1098–1101. [Google Scholar] [CrossRef]
- Golomb, S. Run-length encodings. IEEE Trans. Inf. Theory 1966, 12, 399–401. [Google Scholar] [CrossRef]
- Brockwell, P.J.; Davis, R.A.; Calder, M.V. Introduction to Time Series and Forecasting; Springer: New York, NY, USA, 2002; Volume 2. [Google Scholar]
- Ratanaworabhan, P.; Ke, J.; Burtscher, M. Fast Lossless Compression of Scientific Floating-Point Data. IEEE Comput. Soc. 2006, 10, 133–142. [Google Scholar]
- Pelkonen, T.; Franklin, S.; Teller, J.; Cavallaro, P.; Huang, Q.; Meza, J.; Veeraraghavan, K. Gorilla: A Fast, Scalable, In-Memory Time Series Database. Proc. VLDB Endow. 2015, 8, 1816–1827. [Google Scholar] [CrossRef]
- Holloway, A.L.; Raman, V.; Swart, G.; DeWitt, D.J. How to barter bits for chronons: Compression and bandwidth trade offs for database scans. In Proceedings of the 2007 ACM SIGMOD International Conference on Management of Data, Beijing, China, 11–14 June 2007; pp. 389–400. [Google Scholar]
- Blalock, D.; Madden, S.; Guttag, J. Sprintz: Time series compression for the internet of things. Proc. ACM Interact. Mob. Wearable Ubiquitous Technol. 2018, 2, 1–23. [Google Scholar] [CrossRef]
- Idrees, A.K.; Idrees, S.K.; Couturier, R.; Ali-Yahiya, T. An edge-fog computing-enabled lossless EEG data compression with epileptic seizure detection in IoMT networks. IEEE Internet Things J. 2022, 9, 13327–13337. [Google Scholar] [CrossRef]
- Idrees, A.K.; Khlief, M.S. Lossless EEG data compression using clustering and encoding for fog computing based IoMT networks. Int. J. Comput. Appl. Technol. 2023, 72, 77–83. [Google Scholar] [CrossRef]
- Barbarioli, B.; Mersy, G.; Sintos, S.; Krishnan, S. Hierarchical Residual Encoding for Multiresolution Time Series Compression. Proc. ACM Manag. Data 2023, 1, 1–26. [Google Scholar] [CrossRef]
- Jeong, H.; Seo, G.; Hwang, E. Lossless Data Compression with Bit-back Coding on Massive Smart Meter Data. In Proceedings of the 2022 IEEE International Conference on Big Data (Big Data), Osaka, Japan, 17–20 December 2022; pp. 6667–6669. [Google Scholar]
- Azar, J.; Tayeh, G.B.; Makhoul, A.; Couturier, R. Efficient Lossy Compression for IoT Using SZ and Reconstruction with 1D U-Net. Mob. Netw. Appl. 2022, 27, 984–996. [Google Scholar] [CrossRef]
- Campobello, G.; Segreto, A.; Zanafi, S.; Serrano, S. RAKE: A simple and efficient lossless compression algorithm for the internet of things. In Proceedings of the 2017 25th European Signal Processing Conference (EUSIPCO), Kos, Greece, 28 August–2 September 2017; pp. 2581–2585. [Google Scholar]
- Nasif, A.; Othman, Z.A.; Sani, N.S. The deep learning solutions on lossless compression methods for alleviating data load on IoT nodes in smart cities. Sensors 2021, 21, 4223. [Google Scholar] [CrossRef] [PubMed]
- Xiao, J.; Huang, Y.; Hu, C.; Song, S.; Huang, X.; Wang, J. Time series data encoding for efficient storage: A comparative analysis in apache iotdb. Proc. VLDB Endow. 2022, 15, 2148–2160. [Google Scholar] [CrossRef]
- Ribeiro Junior, F.M.; Bianchi, R.A.; Prati, R.C.; Kolehmainen, K.; Soininen, J.P.; Kamienski, C.A. Data reduction based on machine learning algorithms for fog computing in IoT smart agriculture. Biosyst. Eng. 2022, 223, 142–158. [Google Scholar] [CrossRef]
- Sadri, A.A.; Rahmani, A.M.; Saberikamarposhti, M.; Hosseinzadeh, M. Data reduction in fog computing and internet of things: A systematic literature survey. Internet Things 2022, 20, 100629. [Google Scholar] [CrossRef]
- de Oliveira, M.A.; da Rocha, A.M.; Puntel, F.E.; Cavalheiro, G.G.H. Time Series Compression for IoT: A Systematic Literature Review. Wirel. Commun. Mob. Comput. 2023, 2023, 5025255. [Google Scholar] [CrossRef]
- Jagdale, B.N.; Sugave, S.R.; Kulkarni, Y.R. Optimal Cluster-Based Topology and Deep LSTM-Based Prediction Method for Data Reduction in IoT. J. Uncertain Syst. 2023, 2023, 2350004. [Google Scholar] [CrossRef]
- Chiarot, G.; Silvestri, C. Time series compression survey. J. Uncertain Syst. 2023, 55, 1–32. [Google Scholar] [CrossRef]
- Candanedo, L.M.; Feldheim, V.; Deramaix, D. Data driven prediction models of energy use of appliances in a low-energy house. Energy Build. 2017, 140, 81–97. [Google Scholar] [CrossRef]
- De Vito, S.; Massera, E.; Piga, M.; Martinotto, L.; Di Francia, G. On field calibration of an electronic nose for benzene esti-mation in an urban pollution monitoring scenario. Sens. Actuators B Chem. 2008, 129, 750–757. [Google Scholar] [CrossRef]
- Burgués, J.; Jiménez-Soto, J.M.; Marco, S. Estimation of the limit of detection in semiconductor gas sensors through linearized calibration models. Anal. Chim. Acta 2018, 1013, 13–25. [Google Scholar] [CrossRef] [PubMed]
- Zamora-Martinez, F.; Romeu, P.; Botella-Rocamora, P.; Pardo, J. On-line learning of indoor temperature forecasting models towards energy efficiency. Energy Build. 2014, 83, 162–172. [Google Scholar] [CrossRef]
- Bruno, A.; Nardini, F.M.; Pibiri, G.E.; Trani, R.; Venturini, R. Tsxor: A simple time series compression algorithm. In Proceedings of the SPIRE 2021: String Processing and Information Retrieval, Lille, France, 4–6 October 2021; Volume 28, pp. 217–223. [Google Scholar]
- SensorTag cc2650. Available online: http://www.ti.com/sitesearch/docs/universalsearch.tsp?searchTerm=cc2650&linkld=10&src\=top&m=dd#linkld=3 (accessed on 1 March 2023).
- Lindh, J.; Lee, C.; Hernes, M.; Johnsrud, S. Measuring CC13xx and CC26xx Current Consumption; Texas Instrument, Application Report; Texas Instruments: Dallas, TX, USA, 2019. [Google Scholar]











| Symbol | Description |
|---|---|
| N(Data) | The number of sensor data |
| N() | The number of sub-bit packs of ith data in header |
| The bit depth of jth sub bit pack in ith data | |
| Len() | The payload length of jth sub bit pack in ith data |
| Test Conditions | Typical | Unit |
|---|---|---|
| Core Frequency | Up to 48 | MHz |
| Operation Voltage | 1.8 to 3.8 | C |
| Input Voltage () | 3.0 | V |
| Standby Current | 1 | µA |
| Shutdown Current | 100 | nA |
| Active-Mode RX | 5.9 | mA |
| Active-Mode TX at 0 dBm | 6.1 | mA |
| Active-Mode TX at +5 dBm | 9.1 | mA |
| Active-Mode MCU | 61 | µA/MHz |
| Active-Mode Sensor Controller | 8.2 | µA/MHz |
| Parameter | Test Conditions | Typical | Unit |
|---|---|---|---|
| Input voltage, respectively () | - | 3.0 | V |
| In-system programmable flash size | - | 128 | KB |
| Flash page/sector size | - | 4 | KB |
| Flash page/sector erase current | Average delta current | 12.6 | mA |
| Flash write current | Average delta current, 4 bytes at a time | 8.15 | mA |
| Flash page/sector erase time | - | 8 | ms |
| Flash write time | 4 bytes at a time | 8 | µs |
| State | Time [µs] | Current [mA] | Time × Current |
|---|---|---|---|
| Wake Up and Pre-processing | 1283.89 | 3.10 | 3981.68 |
| Preparation for Receive | 394.22 | 3.58 | 1409.55 |
| Receive (RX) | 461.33 | 6.69 | 3085.90 |
| RX to TX transition | 109.22 | 5.21 | 568.97 |
| Transmit (TX) | 1998.47 | 7.34 | 14,669.14 |
| Post-Processing | 853.44 | 2.62 | 2239.63 |
| Average Value of Connection | 850.095 | 4.7567 | 4325.247 |
| Total Value of Connection | 5100.57 | 28.54 | 25954.9 |
Disclaimer/Publisher’s Note: The statements, opinions and data contained in all publications are solely those of the individual author(s) and contributor(s) and not of MDPI and/or the editor(s). MDPI and/or the editor(s) disclaim responsibility for any injury to people or property resulting from any ideas, methods, instructions or products referred to in the content. |
© 2023 by the authors. Licensee MDPI, Basel, Switzerland. This article is an open access article distributed under the terms and conditions of the Creative Commons Attribution (CC BY) license (https://creativecommons.org/licenses/by/4.0/).
Share and Cite
Hwang, S.-H.; Kim, K.-M.; Kim, S.; Kwak, J.W. Lossless Data Compression for Time-Series Sensor Data Based on Dynamic Bit Packing. Sensors 2023, 23, 8575. https://doi.org/10.3390/s23208575
Hwang S-H, Kim K-M, Kim S, Kwak JW. Lossless Data Compression for Time-Series Sensor Data Based on Dynamic Bit Packing. Sensors. 2023; 23(20):8575. https://doi.org/10.3390/s23208575
Chicago/Turabian StyleHwang, Sang-Ho, Kyung-Min Kim, Sungho Kim, and Jong Wook Kwak. 2023. "Lossless Data Compression for Time-Series Sensor Data Based on Dynamic Bit Packing" Sensors 23, no. 20: 8575. https://doi.org/10.3390/s23208575
APA StyleHwang, S.-H., Kim, K.-M., Kim, S., & Kwak, J. W. (2023). Lossless Data Compression for Time-Series Sensor Data Based on Dynamic Bit Packing. Sensors, 23(20), 8575. https://doi.org/10.3390/s23208575

