Rotating Lorentz Force Magnetic Bearings’ Dynamics Modeling and Adaptive Controller Design
Abstract
:1. Introduction
2. Design of Lorentz Force Universal Magnetic Levitation Configuration
2.1. Seven-Degree-of-Freedom Universal Suspension Scheme
2.2. RLFMB Structure and Principle
2.2.1. RLFMB Structural Design
2.2.2. Analysis of the RLFMB Principle
3. RLFMB Rotational Dynamics Modeling
3.1. RLFMB Equivalent Magnetic Circuit Model
3.2. RLFMB Rotor Dynamics Model
4. RLFMB Online Controller Design
4.1. Controller Performance Requirements Analysis
- (1)
- The RLFMB’s internal and exterior magnets are not designed to close, and the rotor swings back and forth within the operating air gap. To prevent rotor and stator collisions, we design the RLFMB’s angular displacement output equation such that the angular velocity at the end point is 0.
- (2)
- RLFMB is oriented steadily to prevent needless shaking of the load compartment and frame compartment. We created an adaptive controller based on an RBF network, and we minimized input signal overshoot and static error. Additionally, the impact of any random system disturbances should be swiftly minimized.
- (3)
- We introduced a current feedback inner loop to improve the system’s response time and control bandwidth while preventing excitation vibration of the input signal.
4.2. Design of Adaptive Control Method Based on RBF Network
4.3. Controller Optimization Based on Current Feedback
5. Simulation Results and Analysis
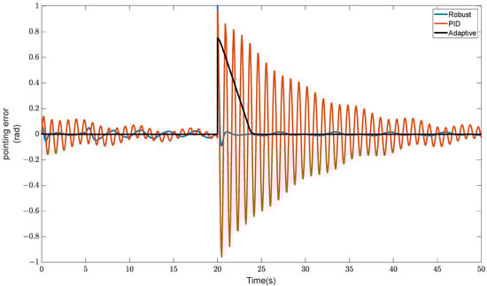
5.1. Angular Displacement Signal Tracking Error Comparison
5.2. Comparison of Rejection Performance of Perturbed Signals
5.3. Tracking Error for Diagonal Velocity
6. Conclusions
Author Contributions
Funding
Institutional Review Board Statement
Informed Consent Statement
Data Availability Statement
Conflicts of Interest
References
- Tan, Z.; Luo, R.; Li, J.; Ling, Q.; Liang, J. Process Analysis and Visual Interpretation Platform Design for Agile Satellite Dynamic Imaging. In Proceedings of the 2018 IEEE 4th Information Technology and Mechatronics Engineering Conference (ITOEC), Chongqing, China, 14–16 December 2018; pp. 1887–1891. [Google Scholar] [CrossRef]
- Qu, Z.; Jia, H.; Xu, K.; He, X.; Yang, F.; Li, F.; Liu, M. Reconfigurability Analysis of Distributed Control Moment Gyro for Jilin-1 Super Agile Satellite. In Proceedings of the 2020 3rd International Conference on Electron Device and Mechanical Engineering (ICEDME), Suzhou, China, 1–3 May 2020; pp. 317–321. [Google Scholar] [CrossRef]
- Wen, W. Research on Attitude Maneuvering Planning Method of Agile Satellite. Ph.D. Thesis, Harbin Engineering University, Harbin, China, 2016. [Google Scholar]
- Li, Y. Study on Key Technology of Image Motion Compensation of Agile Satellite Camera. Ph.D. Thesis, University of Chinese Academy of Sciences, Beijing, China, 2016. [Google Scholar]
- Qu, Z. Research on Attitude Maneuver and Stability Control Algorithm of Hyper-Agile Satellite; Changchun Institute of Optics, Fine Mechanics and Physics, Chinese Academy of Sciences: Changchun, China, 2021. [Google Scholar]
- Deng, R.-Q.; Zhao, Y.; Fang, J.-C. Disturbance Characteristics Analysis of Magnetically Suspended and Mechanical Flywheels. J. Astronaut. 2016, 37, 917–923. [Google Scholar]
- Lyu, Q.-C.; Lyu, D.-Y.; Li, Y.-B.; Liu, P.-F. Energy Consumption Analysis and Optimization of High-speed Magnetically Suspended Flywheel Based on Resistance Moment Measurement Method, Navigation and Control. Navig. Control 2021, 20, 59–65. [Google Scholar]
- Fang, J.C.; Xu, X.B.; Xie, J.J. Active vibration control of rotor imbalance in active magnetic bearing systems. J. Vib. Control 2015, 21, 684–700. [Google Scholar] [CrossRef]
- Fang, J.C.; Li, W.Z.; Li, H.T. Self-Compensation of the Commutation Angle Based on DC-Link Current for High-Speed Brushless DC Motors With Low Inductance. IEEE Trans. Power Electron. 2014, 29, 428–439. [Google Scholar] [CrossRef]
- Hauser, L.T.; Vu, G.N.; Nguyen, B.A.; Dade, E.; Nguyen, H.M.; Nguyen, T.T.Q.; Le, T.Q.; Vu, L.H.; Tong, A.T.H.; Pham, H.V. Uncovering the spatio-temporal dynamics of land cover change and fragmentation of mangroves in the Ca Mau peninsula, Vietnam using multi-temporal SPOT satellite imagery (2004–2013). Appl. Geogr. 2017, 86, 197–207. [Google Scholar] [CrossRef]
- Zhu, Z.; Zhang, W.; Zhu, H. Analysis of Loss and Temperature Field of Axial Permanent Magnet Magnetic Bearingless Flywheel Machine. J. Electr. Eng. 2022, 17, 174–180. [Google Scholar]
- Fang, J.; Wang, P. Identification of magnetic parameters for magnetic bearings in control moment gyroscope (CMG). J. Chin. Inert. Technol. 2007, 15, 221–224. [Google Scholar]
- Shu, S.; Fang, J.; Zhang, W. High-precision attitude control method based on MSCMG for large-scale remote sensing satellite. J. Chin. Inert. Technol. 2017, 25, 421–431. [Google Scholar]
- Li, L.; Ren, Y.; Chen, X.-c. Design of MSCSG control system based on ADRC and RBF neural network. J. Beijing Univ. Aeronaut. Astronaut. 2020, 46, 1966–1972. [Google Scholar]
- Chen, X.; Cai, Y.; Ren, Y. Spacecraft attitude control and vibration suppression integration based on single gimbal magnetically suspended control moment gyroscope pyramid configuration. Proc. Inst. Mech. Eng. Part C J. Mech. Eng. Sci. 2019, 233, 2673–2684. [Google Scholar] [CrossRef]
- Xia, C.-F.; Cai, Y.-W.; Ren, Y. Feedforward decoupling and internal model control for rotor of magnetically suspended control and sensing gyroscope. J. Beijing Univ. Aeronaut. Astronaut. 2018, 44, 480–488. [Google Scholar]
- Li, L.; Ren, Y.; Chen, X.; Wang, W. Spacecraft attitude control and vibration suppression using magnetically suspended control & sensitive gyroscope and radial basis function network adaptive sliding mode control. Proc. Inst. Mech. Eng. Part C J. Mech. Eng. Sci. 2022, 236, 8211–8220. [Google Scholar]
- Feng, J.; Liu, K.; Feng, Y. High-precision torque control for magnetically suspended reaction flywheel. J. Natl. Univ. Def. Technol. 2017, 39, 165–171+178. [Google Scholar]
- Zhao, B.; Liu, K.; Zhang, L. Attitude control of dynamic scanning imaging satellite of control moment gyros. J. Natl. Univ. Def. Technol. 2016, 38, 119–124. [Google Scholar]
- Zhao, T.; Zhang, J.; Wang, Y. Modeling and Decoupling Control Method of Magnetically Levitated Rotary Joints. Aerosp. Control. Appl. 2022, 48, 71–79. [Google Scholar]
- Li, Z.; Zhao, Y.; Yao, C.; Xu, Y.; Xie, J.; Tang, Z. Configuration Design and Simulation of Flexible Cables for Dual-super Satellite Platform. Aerosp. Shanghai 2022, 39, 170–176. [Google Scholar]
- Zhang, W.; Zhao, Y.; Liao, H. Design of an Active-Quiet Isolated and Master-Slave Coordination Controlled Dual-Super Satellite Platform. Aerosp. Shanghai 2014, 31, 7–11+30. [Google Scholar]












| Items | Value |
|---|---|
| 5 | |
| 10 | |
| 0.1 | |
| [–2, –1, 0, 1, 2] | |
| 3.0 | |
| Initial value of the grid weight element | 0.1 |
| 1.0 | |
| 0.1 | |
| 1 |
| Items | Value |
|---|---|
| /(T) | 0.5 |
| /(m) | 4 |
| /(m) | 0.1 |
| /(H) | 0.1 |
| 3.0 | |
| ) | 0.425 |
Disclaimer/Publisher’s Note: The statements, opinions and data contained in all publications are solely those of the individual author(s) and contributor(s) and not of MDPI and/or the editor(s). MDPI and/or the editor(s) disclaim responsibility for any injury to people or property resulting from any ideas, methods, instructions or products referred to in the content. |
© 2023 by the authors. Licensee MDPI, Basel, Switzerland. This article is an open access article distributed under the terms and conditions of the Creative Commons Attribution (CC BY) license (https://creativecommons.org/licenses/by/4.0/).
Share and Cite
Chen, F.; Wang, W.; Wang, S. Rotating Lorentz Force Magnetic Bearings’ Dynamics Modeling and Adaptive Controller Design. Sensors 2023, 23, 8543. https://doi.org/10.3390/s23208543
Chen F, Wang W, Wang S. Rotating Lorentz Force Magnetic Bearings’ Dynamics Modeling and Adaptive Controller Design. Sensors. 2023; 23(20):8543. https://doi.org/10.3390/s23208543
Chicago/Turabian StyleChen, Feiyu, Weijie Wang, and Shengjun Wang. 2023. "Rotating Lorentz Force Magnetic Bearings’ Dynamics Modeling and Adaptive Controller Design" Sensors 23, no. 20: 8543. https://doi.org/10.3390/s23208543
APA StyleChen, F., Wang, W., & Wang, S. (2023). Rotating Lorentz Force Magnetic Bearings’ Dynamics Modeling and Adaptive Controller Design. Sensors, 23(20), 8543. https://doi.org/10.3390/s23208543
